上海奥麦达微电子有限公司

专业高效
微纳加工公司

离子束溅射氧化钽薄膜--在任意衬底上实现氧化钽光子学的单片三维集成

#氧化钽光波导 #异质集成 #氧化钽和铌酸锂异质集成  #三阶非线性

摘要——光子学领域涵盖了广泛的材料平台,每个平台都针对特定功能进行了优化,但尚无一种平台能够同时满足当前及不断发展的所有光子学应用需求。尽管结合多种集成光子材料能够提升整体性能——例如将非线性光学、低损耗无源器件和电光器件统一起来——但材料与工艺的兼容性仍然是主要挑战。

我们提出了一种在整片晶圆上实现氧化钽(Ta₂O₅,以下简称tantala)光子器件在任意衬底上的单片三维集成方法,并以硅基薄膜铌酸锂(LN)作为探索实例。tantala具有独特的优势,特别是其室温沉积、低温退火工艺,以及在相位匹配优化的厚膜中表现出的低应力特性,使其能够在不损害衬底性能或兼容性的前提下实现单片三维集成。

我们展示了tantala中低损耗、高品质因子的微腔和纳米光子器件,LN波导中稳定的准相位匹配,以及高效的三维层间光路传输。这使得我们能够实现丰富的非线性频率转换过程,包括tantala微腔与光子晶体谐振腔中的χ(³)光学参量振荡(OPO)与孤子微梳生成,周期极化LN中的χ(²)二次谐波产生(SHG),以及二者的组合效应。

通过tantala的单片三维集成,为可扩展的多功能光子系统开辟了一种新范式,使其能够在现有光子基础设施中实现可见光、近红外以及非线性操作。

#2:a向 bto外延片

2寸 外延 a-向 bto(300nm或者500nm,或者定制)-sto 8nm(可定制)- 2um Sio2(可定制) -Si(可定制)

#3:C向 bto外延片

2寸 外延 c-向 bto(150nm或者300nm,或者定制)-sto 8nm(可定制)- 2um Sio2(可定制) -Si(可定制)

#离子注入铒代工

#6寸DUV步进式光刻代工,最小线宽180nm,超高性价比,可以只曝光

#快速氮化硅硅光铌酸锂流片 #高性价比 #低成本

#提供8寸 8umSiO2热氧片,6寸15um热氧片 10um热氧片 8寸10um热氧片

室温低损伤@GCIB抛光代工@束斑小(4-5mm)更均匀

#降低硬质材料化合物晶圆等绝大多数材料的表面粗糙度,比如金刚石 ,磷化铟,砷化镓,碳化硅

#提高复合衬底和镀膜膜层的器件层膜厚均匀性,

比如SOI LNOI  LTOI SICOI 等 SMARTCUT得到的薄膜 

或者镀膜所得到的膜层 ,比如镀了一层氮化硅,但是由于是cvd镀膜所得到的,表面的膜厚精度很差,粗糙度很差,可以通过粗糙度初步降低粗糙度,然后通过GCIB团簇离子束抛光来修整整面的膜厚均匀性 到0.5%以下举例:

未经过Trimming 工艺的 6寸LN/LTOI晶圆 数据:

Range:100-200A

经过Trimming 工艺的 6寸LN/LTOI晶圆 数据:

Range:60A以内

划重点--销售晶圆和加工
SOI晶圆:--220nm薄膜/ 3um厚膜-3umSIO2-675um

ALOOI晶圆;--氧化铝薄膜晶圆,键合工艺和镀膜工艺

TAOOI晶圆--氧化钽薄膜晶圆,离子束溅射镀膜工艺

SINOI晶圆--超低损耗氮化硅薄膜晶圆,210nm-300nm-400nm-800nm

SICOI晶圆;新型量子光学平台500nm-700nm-1um

8寸LTOI晶圆批量供应;铌酸锂的有力的竞争对手,薄膜钽酸锂晶300600

6寸X切Z切掺镁薄膜铌酸锂晶圆 ,厚膜 3um 5um 和 薄膜 100-600nm

8寸LNOI晶圆;8寸LNOI助力更大规模薄膜铌酸锂产品量产

LN/LT-SOI/Si/SIN  W2W&D2W异质集成

流片: 6寸 氮化硅 铌酸锂 硅光 超高性价比流片, 1个BLOCK的价格买一整片晶圆

划重点--全国产-超高性价比-6 寸硅光-氮化硅-铌酸锂流片白皮书

我们为客户提供晶圆(硅晶圆,玻璃晶圆,SOI晶圆,GaAs,蓝宝石,碳化硅(导电,非绝缘),Ga2O3,金刚石,GaN(外延片/衬底)),镀膜(PVD,cvd,Ald,PLD)和材料(Au Cu Ag Pt Al Cr Ti Ni Sio2 Tio2 Ti3O5,Ta2O5,ZrO2,TiN,ALN,ZnO,HfO2。。更多材料),键合(石英石英键合,蓝宝石蓝宝石键合)光刻,高精度掩模版,外延,掺杂,电子束光刻等产品及加工服务(请找小编领取我们晶圆标品库存列表,为您的科学实验加速。

请联系小编免费获取原文

图片


文章名:Monolithic 3D integration of tantalum pentoxide photonics on arbitrary substrates
作者:Grant M. Brodnik1, Grisha Spektor2, Lindell M. Williams1,3, Jizhao Zang1,3, Alexa R. Carollo1, Atasi Dan1,3, Jennifer A. Black1, David R. Carlson2, and Scott B. Papp1,3
单位:

1、Time and Frequency Division, National Institute of Standards and Technology, Boulder, CO USA

2、Octave Photonics, Louisville, CO 80027, USA

3、Department of Physics, University of Colorado, Boulder, CO 80309, USA

†Present address: Micron Technology, Boise, ID

‡Present address: Vescent Technologies, Golden, CO

1 引言

集成光子学的进步有潜力推动多个应用领域的创新,包括计量学 [1]、电信 [2]、可见光消费电子 [3] 和量子技术 [4]。这些应用实例凸显了光子系统所面临的多样化功能需求,需要在单一平台上实现激光源、频率梳、高速调制器和量子光源。为了实现更高性能和满足这些需求的新功能,近年来的研究努力逐渐集中于将非线性光学集成到芯片上。

三阶非线性(χ(3))平台,如氮化硅(SiN)[5]、氧化钽(tantala)[6] 和氮化铝 [7],支持多种高效的非线性现象,包括频率梳生成、超连续谱产生、孤子动力学和宽带波长转换。与此同时,薄膜二阶非线性(χ(2))平台利用铌酸锂(LN)[8–10]、钽酸锂 [11] 和钛酸钡(BTO)[12] 等材料,实现了高带宽电光调制 [13] 和二次谐波产生(SHG),通常通过准相位匹配的周期极化波导实现 [14–17]。尽管在已有和新兴平台方面已取得显著进展,但普遍认为没有一种材料能够满足所有功能需求。因此,当前研究的重点越来越多地转向将高性能非线性材料与集成光子平台结合的策略,特别是那些在可见光和短波红外(SWIR)范围内支持宽带低损耗的材料,以释放集成光子学的潜力。

异质集成已成为结合互补光子材料的一种重要策略。通过键合具有不同光学、电学和结构特性的独立衬底(如将III–V族半导体与低损耗无源及非线性波导集成),这一方法能够实现复杂的多功能光子系统 [18–20]。近期的研究表明,通过将III–V增益介质与非线性波导结合,可以实现集成放大器和可调谐激光器 [21,22],以及由片上激光泵浦的微腔频率梳 [23]。其他研究则利用微转移印刷 [24] 和直接键合 [25–27] 等技术,将薄膜铌酸锂集成到SiN平台中。这些发展在特定材料体系内前景良好,但需要反复定制制造工艺以确保材料与工艺兼容性,这在可扩展性上构成了重大障碍,从而限制了其在光子学中的更广泛应用。

单片集成则提供了一种更简化且可扩展的途径,以在统一的平台和制造工艺中结合多种材料并实现多样化功能。单片集成起源于微电子学,指的是在统一工艺流程下在同一衬底上顺序制造多层器件。这一方法支撑了互补金属氧化物半导体(CMOS)技术的发展,使晶体管、互连和存储器能够在晶圆级实现垂直集成,从而实现高密度、低成本的电路。在光子学领域,早期基于磷化铟(InP)的单片集成工作 [28] 实现了有源与无源器件(如激光器、调制器和探测器)在单芯片上的集成,从而推动了紧凑型光收发器和高带宽通信系统的发展。随后,硅光子学通过在代工规模的工艺中引入垂直堆叠的硅基绝缘体(SOI)波导层,推动了单片策略的进步,提高了光路密度和器件功能 [29]。更近期,单片三维光子集成逐渐兴起,特别是在SOI和SiN平台中,通过堆叠和互连多层光子结构实现更复杂的系统 [30,31]。单片集成允许针对每一层的特定光学特性(如色散、透明范围或非线性响应)进行定制,同时保持光刻对准和低损耗的层间耦合。通过保持晶圆级工艺兼容性并避免中间装配步骤,单片集成为结合高性能非线性功能与互补的有源与无源光子器件提供了统一框架。

在本文中,我们提出了基于tantala的单片三维集成光子技术,可在任意衬底上实现,并兼具超低损耗、覆盖可见光至近红外波段的特性以及非线性与纳米光子学功能。tantala能够直接在晶圆衬底上以厚膜形式溅射沉积,既具备直接沉积的优势,又作为一种宽带、低损耗、适用于可见光和近红外的χ(3)非线性平台展现出高性能特性 [6]。此外,tantala具有低残余应力和低温退火需求,为其与各种光子材料和结构的集成提供了几乎普适的兼容性。

为了验证其无缝集成能力,我们实现了tantala–LN平台,选择硅基薄膜LN作为衬底,其作为χ(2)电光可见光光子学平台的优势在于,当与χ(3) tantala结合时,可以实现新的非线性操作。我们展示了tantala–LN的超低损耗三维集成电路,演示了高效的层间光路传输,使上层tantala光子器件能够有效对接下层LN器件。通过对微腔的测量,我们验证了低损耗波导的制备,其内在品质因子(Qi)超过500万,并对高Q值光子晶体谐振腔(PhCRs)[32–36]进行了表征,显示该平台对纳米光子学设计的良好支持。最后,我们展示了tantala–LN平台在χ(3)与χ(2)非线性操作中的应用,包括上层tantala中的四波混频(FWM)光学参量振荡(OPO)与孤子微梳生成,下层周期极化LN中的二次谐波产生(SHG),以及在串联的χ(3)–χ(2)器件中实现的FWM与SHG的联合操作。

我们的结果表明,基于tantala的单片三维集成为可扩展的多功能光子系统提供了一种全新的范式,使非线性光学能够高效融入现有光子学基础设施。

2 氧化钽的单片三维集成

图1展示了我们提出的在任意衬底上实现氧化钽(tantala)光子器件的单片三维集成方法。该工艺采用室温离子束溅射(IBS)沉积tantala,以充分发挥单片集成的多种能力,例如对tantala薄膜在衬底上的精确控制,以及通过与金属氧化物混合实现可掺杂性,从而调控材料特性[39]。

图1. (a) 通过单片三维工艺将氧化钽(tantala)直接沉积在任意衬底上,使光子平台具备新功能;(b) tantala–LN截面的扫描电子显微镜(SEM)图像;(c) tantala–LN波导结构及金属集成方案;(d) tantala [37] 与铌酸锂 [38] 的体材料和群折射率,标注其从可见光至短波红外(SWIR)的透射窗口;(e) tantala–LN器件组合,包括极化LN波导、高Q值tantala微腔和通过锥形结构实现三维层间耦合的光子晶体谐振腔;(f) tantala谐振腔的SEM图像(左)、tantala与LN之间的层间锥形过渡(右上),以及tantala环形-总线耦合器(右下)。

图1a展示了单片三维集成的灵活性:以薄膜铌酸锂绝缘体(LNOI)为下层衬底,构建tantala–LN平台。该工艺首先对LN层进行图案化处理,随后采用感应耦合等离子体化学气相沉积(ICPCVD)沉积氧化硅并进行平坦化,然后在其上沉积并图案化tantala层。经过平坦化的超薄氧化物层为tantala光子器件与下层衬底之间提供了低损耗界面。

图1b为横截面的扫描电子显微镜(SEM)图像,展示了一个典型结构,其中tantala波导直接位于刻蚀后的LN波导之上。图像中,下层氧化物和LN层属于LNOI晶圆的一部分,而上层氧化物则为平坦化后的界面层。此处LN层经过部分刻蚀以实现特定器件设计,但完全刻蚀也是可行的。SEM中显示的上层tantala波导设计为空气包层,以在可见光波段实现高折射率对比操作。该图像直观评估了单片tantala工艺实现的波导加工质量与对准精度,展示了不同波导层的直接协同集成能力。

在图1c中,我们展示了通过单片三维tantala–LN集成所支持的多种波导设计,包括材料层、包层以及可选的电极金属化,用于周期极化电极、电光调控及加热器等功能。该平台充分利用了tantala与LN的互补光学特性(图1d),尤其是从紫外上边界到SWIR的宽带透明性,以及可比的折射率,这些特性有助于实现高折射率对比波导和高效的模式匹配[37,38]。

这种材料特性与电路布局设计的结合,为进入极其丰富的非线性器件设计空间提供了可能性(图1e)。图1f展示了tantala微腔通过层间渐变锥形结构耦合至下层LN波导的SEM图像。在LN与tantala层中同时采用反锥形过渡,使得该平台能够灵活实现两种材料的任意电路连接。

3 制备与无源特性

图2a概述了tantala–LN晶圆的制备工艺。首先,采用商用的、厚度为300 nm 的氧化镁掺杂X切铌酸锂薄膜,外延在三英寸氧化硅晶圆上。在tantala沉积之前,先在LN层上加工器件,如周期极化二次谐波产生(PPLN)波导。为了实现LN中的周期极化电极,我们使用电子束光刻(EBL)在ZEP520A光刻胶中形成图案,随后通过原子层沉积(ALD)沉积100 nm SiO₂过渡层,再沉积100 nm的金–铬金属层。去除EBL光刻胶后,通过剥离工艺将图案转移到金属层上。我们的电极设计在相邻器件之间实现电连接,以并行化极化过程并提高制备的可扩展性。随后,通过施加超过LN矫顽场强的电压脉冲波形,在LN层中形成极化畴[16,40],并使用双光子显微镜监测畴反转。去除极化电极金属后,对LN波导进行光刻和刻蚀,采用氩离子束部分刻蚀至约150 nm的深度。

图2. (a) 在LNOI衬底上直接实现的单片三维集成tantala光子器件工艺流程;(b) 在tantala–LN平台上制备的微环谐振腔的本征品质因子(Qi)测量结果:上图为宽环宽度(RW=4 μm)、正常色散器件,下图为窄环宽度(RW=890、1040 和1140 μm,分别对应蓝色、绿色和红色)近零色散器件;(c) 层间耦合锥形结构示意图、锥形过渡中不同位置的模拟模式分布,以及显示从上层tantala到下层LN传输的三维电场建模;(d) 实际制备的tantala锥形结构的扫描电子显微镜图像;(e) 锥形过渡测试结构在1550 nm(红色)与780 nm(蓝色)下的损耗测量结果。

在准备tantala沉积的下层衬底表面时,先通过ICPCVD沉积氧化物。由于该氧化物会继承衬底上已有器件与结构的形貌,因此采用化学机械抛光(CMP)对晶圆进行平坦化,为tantala沉积做好准备。经过CMP处理后,从tantala工艺的角度看,该衬底等效于标准的氧化物包覆晶圆,从而无需对既有工艺流程做修改即可进行后续加工。在本研究中,tantala通过室温离子束溅射(IBS)沉积,厚度为570 nm。随后使用EBL在85 nm厚的氧化铝硬掩膜层上定义tantala结构,并在含氟等离子体中刻蚀,最后去除掩膜。为了降低tantala的光折变效应[41],我们通过ALD在tantala层表面沉积20 nm厚的SiO₂覆盖层,并在500 ℃下退火12小时(对于钛掺杂tantala则省略此步骤[39])。最后,通过深反应离子刻蚀(DRIE)将tantala–LN晶圆切割为单个芯片,并可选制备倾斜端面或其他端面几何结构。

我们通过测量波导、谐振腔和三维层间光路,对tantala–LN的无源光学特性进行评估。对于基于微腔的四波混频(FWM),高Q值至关重要,因为阈值功率与加载Q值的平方成反比[42,43],而集成器件的目标是在实用的片上泵浦功率下运行。我们测量了色散工程化的宽环和窄环宽度(RW)微腔的本征Q值,如图2b所示。实验上,我们使用多台外腔可调谐激光器在多个波长下进行微腔光谱测量,并与经标定的光纤马赫–曾德干涉仪(MZI)并行扫描,利用MZI的透射响应作为光学频率校准。所表征的器件均工作于基横电模(TE₀)模式族。在环宽为4 μm的器件中(优化用于200 GHz暗脉冲的正常色散产生),测得在1064–1600 nm波长范围内的本征Q值约为500万;见图2b上图。在窄RW器件中(图2b下图),其设计目标为近零色散宽带OPO,测得本征Q值为:RW=890 nm时约7×10⁵(蓝色),RW=1040 nm时约9×10⁵(绿色),RW=1140 nm时约1×10⁶(红色),波长范围为780–1064 nm。Q值对RW的依赖性表明,光学损耗主要受波导散射限制,这是由于窄波导器件中模式与侧壁的耦合增强所致[44]。

在确认了tantala波导的低损耗性能后,三维tantala–LN电路的下一个关键性能指标是上下层之间的高效光路传输。为实现宽带、低损耗的层间过渡,我们设计了由垂直耦合的共线反锥波导组成的三维结构,使光学模式能够在两层波导之间绝热传输。锥形区域总长为250 μm,tantala与LN波导的宽度均由2 μm线性减小至150 nm。图2c展示了该过渡结构的三维示意图(尺寸被夸大以便展示特征)以及有限差分时域(FDTD)仿真结果。图2d中,通过SEM验证了实际制备晶圆中150 nm锥形尖端的最小特征尺寸,从而确认了设计的保真度。为实验表征层间光路的损耗,我们设计了包含不同数量串联锥形结构的测试器件。测得的单次过渡损耗在1550 nm(红色)处低于约0.2 dB,在780 nm(蓝色)处低于约0.5 dB;见图2e。

4 非线性操作

在本节中,我们探讨tantala–LN器件的设计与运行,展示了完整的高效χ(2) 与 χ(3) 非线性光学及其电路组合。我们首先在χ(2) PPLN波导中研究二次谐波产生(SHG),特别是可见光的产生,并在三维tantala–LN器件中展示光在tantala与LN层间的传输功能,以验证层间集成功能。在χ(3) tantala器件中,我们展示了高效的四波混频(FWM)过程,包括在近零色散微环谐振腔中实现的超宽带光学参量振荡(OPO)[45–47],以及在正常色散光子晶体谐振腔中的暗脉冲产生[33,36,48]。最后,我们展示了级联χ(3)–χ(2)操作:在单个器件中将上层tantala微环谐振腔的OPO与下层极化LN波导相结合,从而实现OPO信号的倍频。

图3. (a) LNOI晶圆与tantala–LN晶圆中的二次谐波测试器件;(b) LN极化电极的结构示意图(上)及显示极化区域畴反转的二次谐波显微图像(下);(c) 极化并刻蚀后的LN波导的扫描电子显微镜图像;(d) 不同Λ条件下器件的归一化SHG增益谱随波长的变化(上),与基于均匀LN厚度的相位匹配模型的比较,以及器件运行时的图像(下);(e) tantala–LN SHG器件的光谱,将970 nm泵浦转换为485 nm信号,直接由多模光纤耦合至输出端面测量;(f) 经校准的片上泵浦功率与片上SHG功率的关系:灰色叉号为LN器件,蓝色圆点为输出SHG波长485 nm的tantala–LN器件,红色圆点为输出SHG波长787 nm的tantala–LN器件。

图3对χ(2) SHG设计进行了表征,其性能依赖于极化质量、准相位匹配(QPM)波长精度以及在tantala–LN三维器件(图3a上图)与LNOI基准器件(图3a下图)中的SHG效率。图3b展示了极化电极的结构示意图,该电极以LN波导为中心布置,并定义了极化周期Λ,其决定了QPM条件与SHG增益波长。在极化过程中,我们通过二次谐波显微镜监测畴反转情况。图3b(下图)中的SH显微图显示:电极作为上下两端的暗条纹,而中间部分则为已反转的畴。各单个畴内的均匀颜色表明极化在LN薄膜中完全穿透,而畴间规则的重复性则表明纵向均匀性良好[16,40]。图3c展示了极化器件在波导刻蚀后的SEM图像,可见残余电极材料仍存在于波导两侧,但距离足够远,不会与光学模式发生相互作用。

我们通过改变Λ,表征了不同器件在可见光波段的波长依赖性相位匹配(图3d)。测试器件来自同一tantala–LN晶圆的两块芯片:第一块芯片包含针对∼920–980 nm泵浦波长极化的器件(蓝色曲线与点),第二块芯片包含针对∼1020–1050 nm泵浦波长极化的器件(绿色曲线与点)。实验上,我们使用点尺寸为2 μm的透镜光纤将泵浦光耦入芯片,并通过多模光纤直接从芯片端面收集SHG输出。通过调谐泵浦激光的波长覆盖设计的QPM目标,并使用带750 nm截止短波滤光的功率计测量SHG功率随波长的变化。图3d上方绘制了不同Λ设计的测得SHG增益谱(实线)以及计算得到的增益质心(虚线);下方绘制了提取的增益质心与理论相位匹配曲线(灰线)的对比结果。可以观察到,两块芯片的SHG相位匹配测量结果与理论曲线之间存在轻微偏移,这表明存在晶圆级折射率偏差。文献表明,这类现象通常源于LN薄膜厚度变化,可在未来制备中通过基于晶圆厚度测量的Λ设计自适应修正来补偿[49,50]。

接下来,我们在高功率泵浦条件下对SHG器件进行表征,以评估其在功率与效率方面的非线性性能。图3e给出了一个目标波长为485 nm的SHG器件的光谱示例。图3f展示了泵浦功率与SHG功率的关系曲线:灰色叉号为设计目标波长为550 nm、器件长度L=2000 μm的LN器件;蓝色圆点为目标波长485 nm、L=1800 μm的tantala–LN器件;红色圆点为目标波长787 nm、L=1800 μm的tantala–LN器件。测量结果表明:在LN器件中,当片上泵浦功率为35 mW时,SHG功率超过6 mW;在485 nm的tantala–LN器件中,当泵浦功率为84 mW时,SHG功率超过5 mW;在787 nm的tantala–LN器件中,当泵浦功率为87 mW时,SHG功率达到11 mW。计算得到的几何归一化转换效率分别为:LN器件13000 %W⁻¹cm⁻²,485 nm tantala–LN器件2200 %W⁻¹cm⁻²,787 nm tantala–LN器件4500 %W⁻¹cm⁻²。

图4 探索了单片集成tantala–LN中的χ(3)器件和级联χ(3)–χ(2)器件,这些设计延续了此前已发展的tantala微腔和光子晶体谐振腔(PhCR)结构 [33,34,35,36,45]。在上层空气包层的tantala χ(3)器件中,我们采用厚度为570 nm的薄膜,以实现强模式约束,从而获得高非线性增益,并通过可设计色散来控制非线性相位匹配。我们通过模拟不同微腔波导几何结构的群速度色散(GVD),来表征几何设计对相位匹配的控制,从而在近红外泵浦激光频率范围内实现正常、近零和反常GVD;见图4a。为将几何色散工程与实际设计相结合,我们标记出各个环宽(RW)对应的近零色散交点(虚线),并指出该工作点可实现基于OPO的超宽带波长转换。

图4. (a) 通过设计波导厚度 t 和环宽 RW 实现的几何色散工程及D₂ GVD参数控制;(b) 光子晶体设计,展示了SEM图像(左)、测得的谐振腔模式分裂γ(中)以及在泵浦模式上引入光子晶体的负D₂器件的积分色散(右);(c) 三维tantala–LN光子学中实现的非线性操作总结:(i) 在近零色散tantala微环光学参量振荡器(OPO)中的宽带波长转换;(ii) 在正常色散tantala光子晶体谐振腔中的暗孤子产生;(iii) 利用极化LN波导在三维tantala–LN中实现的二次谐波产生(SHG);(iv) 在单个tantala–LN器件中实现的级联操作:上层tantala中的χ(3) OPO与下层LN中的χ(2) SHG相结合。

接下来,我们展示了利用纳米级分辨率刻蚀tantala制备的高Q值PhCR的纳米光子学设计 [32,33,51]。这种设计能够控制PhCR带隙模式及其大小,从而实现基于模式可编程的相位匹配控制。图4b展示了一种通过微腔侧壁调制实现的光子晶体设计,其中参数m用于通过布拉格匹配选择模式,参数APhC用于控制带隙大小γ。图4b(左下)给出了实际制备的光子晶体器件的SEM图像,中间图展示了测得的γ,右图展示了积分色散Dint [52]。通过环宽设计实现的正常GVD与泵浦模式带隙设计实现的FWM相位匹配相结合,使得暗孤子微梳的产生成为可能 [51]。

图4c展示了tantala–LN平台上χ(3)与χ(2)非线性光子学的完整实验结果,重点在于探索即使在三英寸晶圆加工规模下也能实现的器件广度。这些实验涵盖了集成非线性光子学近期发展的主要方向,包括孤子微梳、SHG和宽带OPO等新型激光源的产生。我们在图中给出了tantala–LN电路的示意图及其实测光谱。

  • 在通过几何控制实现近零色散的tantala微腔中(图4a),我们展示了超过一个倍频程的波长转换:从968 nm泵浦光到698 nm信号光和1572 nm闲频光(图4c(i))。

  • 在正常色散微腔以及正常色散PhCR中(图4b),我们展示了在974 nm与1535 nm泵浦下的暗脉冲产生(图4c(ii))。

  • 在图4c(iii)中,我们展示了在极化LN波导中实现的1050–525 nm SHG(绿色曲线),以及在tantala–LN器件中实现的970–485 nm SHG(蓝色曲线)。

  • 最后,图4c(iv)展示了单个tantala–LN器件中上层tantala χ(3) OPO耦合至下层LN χ(2)进行SHG的实验结果。此处泵浦激光波长为1076 nm,对应产生的OPO信号光和闲频光分别为1048 nm和1107 nm。整个OPO输出从上层tantala波导传输至下层LN波导,并在524 nm处测得QPM峰值SHG增益。我们观察到1048 nm信号光到524 nm的转换效率最高,因为其与QPM峰值匹配最佳。同时,我们还观察到泵浦1076 nm至538 nm、闲频1107 nm至553 nm的较弱SHG,以及泵浦与信号、泵浦与闲频OPO波的和频产生(SFG)。

5 结论

本文提出了一种单片三维集成方法,将tantala光子器件与任意衬底相结合,并在本研究中以薄膜铌酸锂为例进行了探索。该方法采用室温沉积与低温工艺处理tantala,从而实现了与现有光子材料及代工基础设施的广泛兼容性。我们制备了低损耗的tantala波导,支持高Q值的微腔与纳米光子器件;在LN中通过周期极化实现了高效二次谐波产生(SHG);并开发了低损耗的层间耦合结构,用于连接这两类材料。

在非线性功能方面,我们展示了tantala中的χ(3)四波混频与孤子微梳生成,LN中的χ(2)二次谐波产生,以及在单一器件中实现的级联χ(3)–χ(2)操作。这些结果确立了基于单片三维集成的tantala作为一种可扩展且多功能的平台,在可见光与近红外光子学中,能够结合互补的非线性材料,从而支持紧凑型、多功能且可制造的光子系统。


6 方法

二次谐波的准相位匹配建模

我们通过有限元方法(FEM)模式求解器,首先计算了泵浦波长与SHG波长范围内基模TE模式的波长依赖性有效折射率,并基于此建立了图3d下半部分的准相位匹配(QPM)曲线模型。在材料折射率方面,我们采用了5% MgO掺杂LN的Sellmeier数据 [38] 以及SiO₂的Sellmeier数据 [53]。波导设计为:SiO₂包层,300 nm厚的LN波导层,部分刻蚀150 nm,以形成2 μm宽的脊波导。随后,我们利用FEM得到的波长依赖性有效折射率,将泵浦与SHG的波矢与Λ参数联系起来,并结合准相位匹配关系式进行计算 [54]。

二次谐波转换效率

我们通过测量输出SHG功率与输入泵浦功率的关系来计算SHG转换效率(见图3f)。泵浦光通过HI1060透镜光纤(光斑尺寸2 μm)耦合进入测试器件,SHG光则通过芯径为50 μm的多模光纤直接从输出端面耦合收集。我们使用一条直线型tantala波导测试结构进行光纤到芯片耦合插入损耗的校准,输入与输出均采用相同设计的透镜光纤,并假设端面损耗对称。随后,我们用多模光纤替换输出端光纤,并测量额外损耗以校准输出插入损耗。我们将图3f中的SHG功率与泵浦功率数据拟合为二次曲线,假设无泵浦耗竭,从而计算转换效率(单位:%W⁻¹);随后,再结合文中报告的器件长度,将其归一化为%W⁻¹cm⁻²单位。


Tantala色散设计

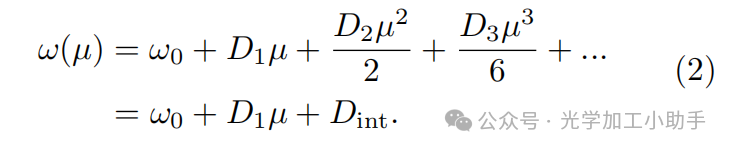
我们通过以下方法建模图4a中的群速度色散(GVD):首先利用有限元方法(FEM)模式求解器,计算TE₀模式的有效折射率随波长的变化。tantala材料的折射率采用此前在tantala光子平台上通过椭偏测量获得的Sellmeier拟合数据[37]。随后,我们利用计算得到的有效折射率,求解在给定微腔环半径下的离散谐振模式频率ω及其对应的整数模式数m。对于选定的泵浦模式m₀,我们进一步计算积分色散,以分析色散特性。

其中,µ 表示相对于泵浦的模式编号(µ = m − m₀)。在该描述中,D₁/2π 表示自由光谱范围(FSR)。Dint 用于表征模式频率相对于以FSR均匀分布的线性频率网格的偏离程度。而D₂/2π 则是群速度色散(GVD)参数,其结果绘制在图4a中。

关于我们:

OMeda成立于2021年,由3名在微纳加工行业拥有超过7年经验的工艺,项目人员创立。目前拥有员工15人,在微纳加工(涂层、光刻、蚀刻、双光子印刷、键合)等领域拥有丰富的经验。 同时,我们支持4/6/8英寸晶圆的纳米加工。 部分设备和工艺支持12英寸晶圆工艺。针对MEMS传感器、柔性传感器、微流控、微纳光学等行业。

中国(上海)自由贸易试验区临港新片区业盛路188号450室 电话:+86 188 233 40140 邮箱:jing.chen@omeda-optics.com

来源:OMeda

关于我们

OMeda(上海奥麦达微)成立于2021年,由3名在微纳加工行业拥有超过7年经验的工艺,项目人员创立。在微纳加工(镀膜、光刻、蚀刻、双光子打印、键合,键合)等工艺拥有丰富的经验。 同时,我们支持4/6/8英寸晶圆的纳米加工。部分设备和工艺支持12英寸晶圆工艺。针对MEMS传感器、柔性传感器、微流控、微纳光学,激光器,光子集成电路,Micro LED,功率器件等行业。

姓名:*
邮件:*
公司名称:
电话:*
您的需求: