作者:Xinru Ji1,2, Xurong Li1,2, Zheru Qiu1,2, Rui Ning Wang3, Marta Divall1,2,
Andrey Gelash1,2, Grigory Lihachev1,2, and Tobias J. Kippenberg1,2†
单位:Institute of Physics, Swiss Federal Institute of Technology Lausanne (EPFL), CH-1015 Lausanne, Switzerland
2Institute of Electrical and Micro Engineering, Swiss Federal Institute
of Technology Lausanne (EPFL), CH-1015 Lausanne, Switzerland
3Luxtelligence SA, CH-1015 Lausanne, Switzerland
基于微谐振腔(微梳)的芯片级光学频率梳提供了从GHz到THz范围内的重复率、宽带宽、紧凑的外形和与晶圆级制造兼容的光梳。Si₃N₄光子集成电路作为一个领先的平台,提供了低损耗、宽透明窗口、光刻色散工程以及在商业200毫米晶圆厂的可用性。它们已经在几乎所有系统级演示中得到了应用,涵盖了光通信、并行LiDAR、光学频率合成、低噪声微波生成以及并行卷积处理等领域。然而,真正应用于实验室外的实际部署仍面临着确定性孤子微梳生成的困难,主要是由于显著的热不稳定性。为了减轻热效应,已经开发出多种技术,包括脉冲泵浦、快速扫描和辅助激光泵浦。然而,这些技术并不能消除热效应,通常会通过增加额外的复杂性或降低可获取的孤子存在范围来妥协微梳性能。在这里,我们克服了热效应,并在Si₃N₄光子集成电路中演示了确定性孤子生成。我们确定了热效应的来源,原因是波导中意外存在的铜杂质。这些杂质来自CMOS级Si晶圆中的固有残余污染物,它们在制造过程中被捕获到Si₃N₄中。通过开发铜去除技术,我们显著减少了热效应。我们成功演示了带有任意激光扫描轮廓和慢激光扫描的确定性孤子生成。我们的技术可以轻松应用于光子集成电路在晶圆厂的前端加工,消除了孤子微梳技术部署的一个关键障碍。
#离子注入铒代工
#6寸DUV步进式光刻代工,最小线宽180nm,超高性价比,可以只曝光
#快速氮化硅硅光铌酸锂流片 #高性价比 #低成本
#提供8寸 8umSiO2热氧片
室温低损伤@GCIB抛光代工@束斑小(4-5mm)更均匀
#降低硬质材料化合物晶圆等绝大多数材料的表面粗糙度,比如金刚石 ,磷化铟,砷化镓,碳化硅
#提高复合衬底和镀膜膜层的器件层膜厚均匀性,
比如SOI LNOI LTOI SICOI 等 SMARTCUT得到的薄膜
或者镀膜所得到的膜层 ,比如镀了一层氮化硅,但是由于是cvd镀膜所得到的,表面的膜厚精度很差,粗糙度很差,可以通过粗糙度初步降低粗糙度,然后通过GCIB团簇离子束抛光来修整整面的膜厚均匀性 到0.5%以下举例:
未经过Trimming 工艺的 6寸LN/LTOI晶圆 数据:
Range:100-200A
经过Trimming 工艺的 6寸LN/LTOI晶圆 数据:
Range:60A以内
ALOOI晶圆;--氧化铝薄膜晶圆,键合工艺和镀膜工艺
TAOOI晶圆--氧化钽薄膜晶圆,镀膜工艺
SINOI晶圆;--超低损耗氮化硅薄膜晶圆,
SICOI晶圆;新型量子光学平台
6寸LTOI晶圆批量供应;铌酸锂的有力的竞争对手,薄膜钽酸锂晶圆
8寸LNOI晶圆;8寸LNOI助力更大规模薄膜铌酸锂产品量产
LN/LT-SOI/Si/SIN W2W&D2W异质集成
流片: 6寸 氮化硅 铌酸锂 硅光 超高性价比流片, 1个BLOCK的价格买一整片晶圆
划重点--全国产-超高性价比-6 寸硅光-氮化硅-铌酸锂流片白皮书
我们为客户提供晶圆(硅晶圆,玻璃晶圆,SOI晶圆,GaAs,蓝宝石,碳化硅(导电,非绝缘),Ga2O3,金刚石,GaN(外延片/衬底)),镀膜(PVD,cvd,Ald,PLD)和材料(Au Cu Ag Pt Al Cr Ti Ni Sio2 Tio2 Ti3O5,Ta2O5,ZrO2,TiN,ALN,ZnO,HfO2。。更多材料),键合(石英石英键合,蓝宝石蓝宝石键合)光刻,高精度掩模版,外延,掺杂,电子束光刻等产品及加工服务(请找小编领取我们晶圆标品库存列表,为您的科学实验加速。
请联系小编免费获取原文
Kao等人的开创性工作[12]证明了在无杂质的硅光纤玻璃中可以实现超低的光衰减。随后的光纤技术进展通过消除金属杂质(例如,铜、铁)和其他污染物,将衰减减少到亚db/千米(sub-dB/km)级别,并将污染物浓度降低到亚ppb(十亿分之一)级别[13–15],抑制了可见光和红外波长范围内的吸收。这些突破使得高纯度光纤的生产成为可能[16, 17],这些光纤现已成为全球通信网络的骨干,全球已部署了数百万公里的光纤。
类似地,集成光子学中光损失的减少也取得了进展,传统上光损失在db/厘米(dB/cm)级别,这促进了跨学科应用[18–20]。其中,超低损耗的氮化硅(Si₃N₄)光子集成电路(PICs),具有高克尔非线性和宽透明窗口,展现了db/米(dB/m)级的损耗[21–24],并推动了开创性的进展,特别是:高增益连续行波参量放大器[25]、铒掺杂光纤放大器和激光器的集成模拟[26, 27]、具有与光纤激光器相媲美的相位噪声和前所未有的啁啾速率的频率可调激光器[28, 29],以及具有GHz至THz模态间隔的耗散克尔孤子(DKS)芯片级光学频率梳。值得注意的是,DKS已被证明具有特别的多功能性,能够在光通信[2]、并行LiDAR[3]、光学频率合成[4]、低噪声微波生成[5, 30]和并行卷积处理[6]等系统级演示中发挥作用。
尽管取得了这些进展,确定性DKS微梳的生成仍然具有挑战性,主要是由于低损耗Si₃N₄波导中的残余热效应。尽管一旦形成,DKS本身是稳定的,但它需要通过将泵浦激光调谐到腔体共振的红移调谐区来初始化[32]。这个过程受到热效应和非线性动力学的影响[33],其中从调制不稳定性(MI)光梳过渡到孤子时,腔内功率下降,导致热光共振偏移,从而缩小孤子存在范围(图1c-e,补充说明1)。为减轻热效应,已经开发了诸如快速激光调谐[8]、主动反馈[34]、脉冲泵浦[7]、辅助激光泵浦[9, 10]、泵浦激光自注入锁定[11]、泵浦激光调制[35]和双模泵浦[36, 37]等技术。虽然这些方法有助于生成单一孤子,但它们并没有从根本上消除热效应,且引入了额外的复杂性,要求特殊的谐振腔设计,并限制了有效的泵浦去调谐范围。最近,弱约束的Si₃N₄光子集成电路被用于生成互锁开关波,但同样展现了热效应,并且需要快速激光扫描来初始化孤子的形成[38, 39]。因此,实现确定性和稳健的孤子访问仍然是一个未解决的挑战,限制了孤子微梳在实际应用中的可扩展性和实际部署。
在过去十年中,Si₃N₄光子集成电路(PICs)中光损耗的减少取得了显著进展[23]。Si₃N₄光子集成电路中的热吸收主要通过高温退火来消除与氢相关的键(N-H、Si-H、O-H)[21, 22, 24],从而得到改善。然而,残余热损耗的来源仍然未被充分理解。尽管以前的研究发现了Si₃N₄波导中铜(Cu)杂质的存在[40],但铜杂质在Si₃N₄光子集成电路中的来源、影响和去除方法尚未得到探索。在这里,我们识别出铜杂质是Si₃N₄光子集成电路中热吸收的主要来源,追溯其来源,并提出了去除铜杂质的方法。令人惊讶的是,即使使用高纯度电子级硅晶圆(EG-Si,广泛用于CMOS行业)且表面铜含量不可检测,铜污染也会在制造过程中发生。这些杂质源自于大块硅晶圆中的铜,铜通过扩散进入Si₃N₄层,并在高温退火过程中被捕获。通过去除这些杂质,我们实现了无铜光子集成电路,从而在Si₃N₄微谐振腔中实现了确定性孤子的生成,而无需复杂的(快速)激光调谐。我们的发现不仅解决了微梳技术中的一个长期挑战,还为在集成光子学中实现更低损耗铺平了道路。
铜杂质:对Si₃N₄光子集成电路及孤子生成的影响
图l. Si3N4微谐振器中耗散克尔孤子(DKS)产生的热吸收诱导不稳定性。a,DKS产生示意图及其各种应用,包括并行激光雷达、天文光谱仪校准、y校准和量子光学。b,Si3N4微谐振器中具有异常群速度色散的频率孤子微梳态的稳定性图,作为激光失谐和泵浦功率的函数,具有时间和频率方程(LLE)。MI:调制不稳定性。CW:Lugiato-Lefeverc预测的共畴波形,谐振连续波。克尔效应在泵浦激光从蓝光扫描到红光时引起自相位调制倾斜,从而引起倾斜谐振。d,腔谐振移示意图。冷腔谐振腔wo因腔内能量(例如孤子)而热位移至wo。激光器对此位移谐振的有效失谐决定了孤子的性质。e,数值模拟了热效应对孤子产生的影响。f,SiSN4微谐振器中的1,展示了氟化物光纤的不稳定传输损耗谱(以dB/km/ppm原子为单位),显示了各种金属杂质的贡献,其中u离子在1550nm附近表现出最高的吸收率。g,通过二次离子质谱(SIMS)测量的完全SiO2包覆的Si3N4微谐振器中金属杂质的深度分布。氮显示为灰色以便层识别。插图提供了SIMS测量的图形说明。由于电离过程和溅射,原始 Si.N4 波导中的氧化状态可能有所不同
铜(Cu)以及其他过渡金属可以引入显著的光学损耗,这在光纤中已有广泛研究(图1f)[31]。受之前在Si₃N₄光子集成电路(PICs)中观察到铜杂质的启发[40],我们使用二次离子质谱(SIMS)系统地研究金属杂质对Si₃N₄光子集成电路的影响,具有ppb级的灵敏度和深度分辨率。在14种金属杂质中,铜是Si₃N₄波导中的主要污染物(图1g和补充说明2)。
图2. 铜诱导热吸收损耗(TE极化),显示两个同时制备的样品之间的光损耗变化。a, 使用不同供应商的硅晶片制备的样品的固有线宽ko/2元(1260-1630 nm)的直方图。插图:模拟的光学TEoo基模。器件ID:样品1.D163_11_F1_C7;样品2:D163_13_F8_C7。b, 样品1和样品2在1550 nm附近谐振时的克尔归一化热响应测量。彩色区域表示热贡献,其在较低的调制频率下响应。c, 在TE极化中泵浦激光扫描过程中测得的孤子阶跃:样品1与样品2相比表现出更长的孤子阶跃(~ 8.6Iple 1和样品2,通过SIMS监测Cu峰(m/zMHz)测量)。d, 深度分辨的Cu浓度离子束溅射过程中的Sar62.95)的轮廓。部分SiO2包层被移除,以聚焦于SiSN4波导。SIMS结果校正了SiSN4/SiO2波导层。e. 基于混合样品1(晶圆1:Siegert晶圆)和样品2(晶圆2:硅谷微电子)中Si3N4填充率(21.76%),用于制造的Si衬底中的Cu轮廓显示出与Si3N4波导中相当的污染水平,从而确定Si衬底是Cu杂质的来源。测量方法是:在Si晶片上沉积250nm的LPCVD SiSN4,然后在1200℃下退火11小时,以使Si中的稀释Cu浓缩到吸杂SiSN4层中。f. 硅中铜检测方法示意图衬底,包括200纳米SiSn4薄膜的等离子增强化学气相沉积(PECVD)和高温退火(8(oC,10小时))以浓缩Cu离子,用于检测灵敏度极限以上。g,退火过程中Cu的扩散曲线(沉积态、4小时和10小时),显示了从硅衬底到SiSn4层的逐渐迁移。
接下来,我们研究了铜杂质对孤子微梳生成的影响,通过两个典型的Si₃N₄微谐振腔(图2a-d)进行实验。完全SiO₂包覆的Si₃N₄微谐振腔与光子Damascene工艺[23]同时制造,具有2.2 × 0.9 µm²的横截面和100 GHz的自由光谱范围(FSR)。在直方图中,最可能的内在线宽(图2a)表明,样品1的平均损耗为18.74 ± 0.17 MHz(α = 3.57 ± 0.03 dB/m),样品2的平均损耗为21.99 ± 0.13 MHz(α = 4.21 ± 0.02 dB/m)。通过克尔校准的热响应测量,揭示了样品2的热吸收损耗是样品1的1.9倍(图2b,见方法部分),这解释了它们的整体损耗差异(图2a)。样品1表现出较长的孤子“步长”(330 MHz),这使得通过简单的压电调谐实现DKS生成,而样品2则表现出38倍缩短的孤子“步长”(8.6 MHz),导致无法使用相同的方法进入DKS状态(图2c)。即使在高质量因子的微谐振腔中(Q ∼ 25.6 × 10⁶),之前的研究也观察到样品2无法实现DKS[41]。
图2d中的SIMS测量显示了两种样品中的铜浓度深度分布图。经过修正的铜浓度(考虑到Si₃N₄/SiO₂的填充比例)为样品1中的约1 × 10¹⁶原子/cm³(约138 ppba,方法部分)和样品2中的约1 × 10¹⁷原子/cm³(约1380 ppba)。样品2中铜浓度是样品1的十倍,这解释了它的传播损耗、热吸收和孤子抑制的增加。我们注意到,铜在Si₃N₄中引起的损耗约为0.52 ± 0.03 dB/m/ppm,高于氟化物光纤中Cu²⁺的损耗(0.21 dB/m/ppm,图1f),这表明铜与Si₃N₄基质之间存在更强的相互作用(补充说明3)。
在另一项实验中,我们故意通过扩散将铜污染引入Si₃N₄微谐振腔(补充说明4)。原始的620 MHz长孤子“步长”被缩短了62倍,伴随着调制不稳定(MI)区域的扩展和热积累的增加。热吸收损耗也增加了4.4倍。这个实验进一步证明了铜杂质确实引起了热效应,从而阻碍了DKS的生成。
铜杂质的来源:来自硅晶圆
为了了解铜杂质在Si₃N₄波导中的来源,我们在光子Damascene工艺[23]的每个制造步骤后进行了SIMS分析(补充说明5)。我们排除了大多数制造步骤及其相关设备引起的铜污染的可能性,例如反应离子刻蚀(RIE)工具和低压化学气相沉积(LPCVD)炉。然而,在1200°C的退火步骤后,出现了显著的铜污染,这一步骤是为了减少Si-H和N-H键的损耗。在退火炉中没有发现铜的证据(而且图2中的设备间变化与这一假设相矛盾),因此,硅晶圆仍然是唯一可能的污染源。然而,这与制造商规定的低表面污染和商业EG-Si晶圆中的不可检测铜水平相矛盾。
已知Si₃N₄可以从硅晶圆中获取过渡金属,如铁(Fe)和铜(Cu)[42–46],这些杂质在高温下扩散并聚集在Si₃N₄中。另一方面,铜在硅和SiO₂中具有较高的扩散性[47]:它可以在室温下约3小时扩散通过525 µm厚的硅晶圆,或在较高温度(> 900°C)下几分钟内扩散(补充说明2)。在EG-Si晶圆中,铜由于其高扩散性可以避免检测,导致在硅晶圆中均匀稀释,低于SIMS的灵敏度限制。然而,在Si₃N₄光子集成电路制造中的1200°C退火过程中,来自大块硅的稀释铜杂质扩散到Si₃N₄层并被捕获,这解释了通过SIMS检测到的铜浓度。我们注意到,样品1和样品2中观察到的铜浓度实际上与它们各自的硅晶圆中的浓度一致,当使用专门的Si₃N₄去杂质层时(图2e)。
为了进一步证明铜杂质确实来自硅,我们将三片硅晶圆(初始铜含量相同)与200nm等离子体增强化学气相沉积(PECVD)Si₃N₄涂层在800°C下退火(图2f)。铜浓度的深度分布图(图2g)显示了在退火时间为0小时、4小时和10小时的情况下,铜在Si₃N₄中的逐渐积累。关键的是,在沉积后的PECVD Si₃N₄中没有铜杂质,排除了Si₃N₄薄膜作为污染源的可能性。这些发现确认了铜杂质来源于大块硅晶圆,最初在Si/Si₃N₄界面处积累,并在退火过程中扩散进入Si₃N₄,直到达到饱和。晶圆间铜浓度的变化直接影响光子器件的性能,解释了传播损耗、热吸收和孤子生成效率的差异,阐明了我们在之前研究中观察到的孤子生成的一致性[3, 11, 23, 30, 48]。
在将Si₃N₄波导中主要的热效应归因于来自CMOS级硅晶圆的铜杂质后,我们开发了两种方法来生产无铜杂质的基底,以用于超低损耗的Si₃N₄光子集成电路(PICs)。
图3. 无铜杂质PIC的衬底制备技术。a,两种制备方法的示意图。左图展示了硅晶片的直接吸杂纯化方法,其中在不含原生SiO2的硅晶片上沉积一层缺陷的LPCVD或PECVD Si3N4层(约200纳米)。在高温退火(800℃,10小时)过程中,来自硅晶片的Cu杂质扩散到Si3N4层中,随后通过干法和湿法蚀刻去除污染层。右图展示了Cu扩散阻挡层方法,其中在硅晶片上直接沉积一层200纳米的LPCVD Si3N4层,以防止Cu迁移到器件层中。b,直接吸杂工艺前后硅晶片中Cu的深度分布,显示Cu几乎完全去除。 c,具有扩散阻挡层的 Si3N4 器件中的 Cu 深度剖面,显示阻挡层中存在 Cu 峰(约 1016 个原子/cm3),而波导层中的 Cu 仍处于检测极限。
第一种方法(图3a,左侧)使用牺牲Si₃N₄去杂质层,该层通过LPCVD或PECVD沉积(比较见补充说明6)。在Si₃N₄沉积之前,使用HF刻蚀去除本征SiO₂。在随后的高温退火过程中(800°C,10小时),铜杂质迁移到Si₃N₄层,在该层中由于其高溶解度、较低的杂质迁移性和缺陷介导的去杂效应,它们被捕获[42, 45]。冷却速率决定了去杂效果[44]:缓慢冷却(例如,-4°C/min)优化了溶解度梯度和铜的扩散性,从而实现几乎完全的杂质分离(补充说明7)。退火后,富含铜的Si₃N₄被剥离,从而物理去除污染物(表面表征和氧化过程详见补充说明8)。图3b中的SIMS分析确认了在去杂硅晶圆中几乎完全去除铜,证明了去杂过程的有效性。
第二种方法(图3a,右侧)在基底中集成了一层200纳米的Si₃N₄扩散屏障。这一LPCVD沉积的埋藏层在Si₃N₄波导退火过程中同时去除铜杂质,并阻止它们向上扩散进入波导核心。选择LPCVD而不是PECVD是为了避免在高温过程中出现诸如脱气或缺陷形成等问题。图3c中的SIMS深度分析揭示了Si₃N₄波导层中的铜浓度低于检测限,而屏障层则显示出明显的积累峰值(>10¹⁶ cm⁻³)。这种方法确保了铜的扩散最小化进入光学活跃区域,同时保持与多层集成的兼容性。补充说明9显示,使用铜去杂硅晶圆制造的Si₃N₄微谐振腔比未去杂的器件表现出更优异的性能指标:传播损耗减少(1.53 dB/m)、热吸收减弱、完全抑制了铜污染,并延长了孤子步长。这些结果验证了我们的去杂方法在实现超低损耗光子集成电路方面的有效性。
确定性孤子微梳生成
图4. 在采用无铜杂质Si衬底制造的Si3N4微谐振器中生成确定性DKS。DKS生成的装置。ECDL:外腔二极管激光器;AWG:采用光子镶嵌工艺。a. 实验任意波形发生器;FPO:光纤偏振控制器;EDFA:掺铒光纤放大器;FBG:光纤布拉格光栅;ESA:电频谱分析仪;OSC:示波器;OSA:光纤光谱分析仪。b. 来自9次连续测量的单孤子光谱(为清晰起见,红色部分已标注)。设备ID:D163 03 F4_C12。c. 在40 GHz FSR微谐振器中观察到的孤子阶跃,泵浦波长为滤光片。插图放大了反向调谐模式。对微谐振腔进行连续波长扫描,显示从5个孤子到0个孤子的连续跃迁。通过光电探测器和电场记录孤子重复率。四个微谐振腔的FSR分别为50 GHz、150 GHz和200 GHz,在C镀层硅晶片上制造。所有微谐振腔的横截面积均为2.2 x 0.9微米,为清晰起见,均进行了滤波。器件ID:D163 03 F1 C2(50 GHz)、D163 03 F1 C3,并采用TE偏振光泵浦。泵浦波长(100 GHz)、D163_03_F1_C6(150 GHz)和D163_03_F1_C7(200 GHz)。
接下来,我们展示了使用在无铜杂质硅基底上制造的Si₃N₄微谐振腔进行孤子生成。无需使用复杂的DKS稳定技术,如辅助激光、主动反馈或脉冲泵浦,我们成功实现了在所有Si₃N₄微谐振腔芯片上100%的DKS生成成功率。通过简单的压电调谐,可靠地访问了单孤子状态,正如在一个40 GHz自由光谱范围(FSR)微谐振腔中进行的九次连续测量所证明的那样(图4b)。孤子形成的动态过程通过示波器进行监测(图4c)。通过缓慢调节泵浦波长(在频率<100 Hz时,远低于热响应频率kHz到MHz范围),我们反复观察到了DKS形成的不同阶段,包括主梳、调制不稳定(MI)状态和孤子状态。值得注意的是,反向调谐使得确定性孤子状态切换成为可能,减少了孤子的数量【49】。这些动态过程通过重复率测量得到了进一步验证,通过光电二极管和电谱分析仪记录,在DKS形成过程中仅在信号噪声比高的情况下出现信号(图4d)。
我们展示了一系列孤子微梳,重复率范围从50 GHz到200 GHz(图4e)。FSR的下限受我们设计的限制;然而,之前使用标准光子Damascene工艺[30]演示的10 GHz DKS,通过使用无铜杂质工艺,能够以更高的可靠性实现。此外,半微谐振腔的扩展孤子步长使得通过手动调节泵浦激光器的压电驱动器,可以直接访问孤子微梳,消除了对任意波形发生器的需求。这一简化减少了DKS生成设置的复杂性,为孤子微梳的更广泛采用和应用铺平了道路。
总结
我们将铜杂质确定为超低损耗Si₃N₄光子电路中热吸收和孤子无法生成的主要原因。通过系统的SIMS分析和热响应测量,我们展示了一个令人惊讶的发现:铜杂质来源于CMOS级硅晶圆的大块部分,并在高温退火过程中扩散进入Si₃N₄波导,降低了器件性能。通过开发两种稳健的铜去杂技术,一种是直接去杂,另一种是使用扩散屏障,我们减少了热效应并实现了无铜杂质的Si₃N₄光子集成电路,从而使得在传统上具有挑战性的低至40 GHz重复率的确定性DKS生成成为可能。此外,我们的基底制备方法完全兼容商业晶圆厂的工艺,可以立即集成到标准生产流程中。这项工作不仅解决了阻碍微梳技术广泛应用的长期挑战,还为超低损耗光子集成电路在光通信、传感、计算和量子技术中的广泛部署铺平了道路。
方法
从原子/cm³转换为ppba的杂质浓度:
纯Si₃N₄薄膜的总原子密度 NtotalN_{\text{total}}(单位:cm⁻³)通过使用分子密度 ρSi₃N₄\rho_{\text{Si₃N₄}}、摩尔质量 MSi₃N₄M_{\text{Si₃N₄}} 和阿伏伽德罗常数计算得到:
其中:ρSi₃N₄=3.17g/cm3\rho_{\text{Si₃N₄}} = 3.17 \, \text{g/cm}^3(Si₃N₄的密度),NA=6.022×1023atoms/molN_A = 6.022 \times 10^{23} \, \text{atoms/mol}(阿伏伽德罗常数),MSi₃N₄=140.28g/molM_{\text{Si₃N₄}} = 140.28 \, \text{g/mol}(Si₃N₄的摩尔质量)。ppba值通过将杂质浓度 CCuC_{\text{Cu}}(单位:cm³)表示为总原子密度 NtotalN_{\text{total}} 的分数,并乘以 10910^9 进行计算。
例如,Ccu= 1016 原子/cm3 对应的 ppba 值为:
在由例如 21.76% Si3N4 和 78.24%SiO2 组成的混合层中,材料的总原子密度必须计算为 SisN4 和 SiO 原子密度的加权平均值?对于 SiO2,psio,= 2.2 g/cm3,Msio,= 60.08 g/mol:
混合层的总原子密度计算如下:Nixed= Pi;N4'NSisN4+ Psi0,·Nsi0,≈ 7.25 x 1022 原子/cm其中 PsisN=0.2176 和 Psio,=0.7824
Si₃N₄微谐振腔的热响应测量:为了量化Si₃N₄微谐振腔中的热吸收损耗 kabs/2πk_{\text{abs}} / 2\pi,我们通过测量探针模态的共振频率偏移来进行,这一频率偏移是由强度调制泵浦模态引起的。泵浦激光器使用低功率以保持线性操作,调谐到目标共振并从1 kHz调制到200 MHz,同时探针激光器松散地锁定在探针共振上。调制改变了腔内光子的数量,通过热效应和克尔效应引起探针模态的频率偏移。
其中,Xtherm(w)X_{\text{therm}}(w) 和 Xkerr(w)X_{\text{kerr}}(w) 可以清晰分辨,在低频时 Xtherm(w)X_{\text{therm}}(w) 占主导地位,而在高频时 Xkerr(w)X_{\text{kerr}}(w) 占主导地位。使用在直流(w=0w = 0)下拟合的 Xtherm(w)X_{\text{therm}}(w) 和 Xkerr(w)X_{\text{kerr}}(w) 值,吸收率可以计算为:
其中,VV 是光学模态体积,ngn_g 是群折射率,nefn_{\text{ef}} 是有效折射率,dνdPabs\frac{d\nu}{dP_{\text{abs}}} 是泵浦频率 ν\nu 处的光热频移梯度,主要由材料的热光系数决定,并通过模拟计算。响应比率 γ\gamma 是测量响应函数 γ(ω)\gamma(\omega) 在傅里叶域中的直流偏置,并通过拟合测得的响应函数获得。通过评估响应比率 γ=χtherm(ω=0)/χKerr(ω=0)\gamma = \chi_{\text{therm}}(\omega=0) / \chi_{\text{Kerr}}(\omega=0),我们可以推断出不同Si₃N₄微谐振腔的热损耗。
在无杂质的Si₃N₄微谐振腔中生成孤子:ECDL通过EDFA放大并耦合到Si₃N₄微谐振腔芯片。EODL波长通过压电单元调谐,可以手动控制或通过AWG控制。为了生成孤子微梳,泵浦激光器的光学频率逐渐降低,跨越微谐振腔的共振,经过MI状态,最终进入有效红移区的孤子状态。对于具有显著热效应的微谐振腔,MI到孤子的过渡会引起温度下降和共振偏移,如果孤子步长小于有效去调谐,这可能会导致孤子状态不稳定。相比之下,具有小热效应的无杂质Si₃N₄微谐振腔由于孤子步长较长和腔内温度变化较小,表现出确定性孤子生成。为了在稳定降落到多孤子状态后达到单孤子状态,泵浦激光器频率向后调谐,频率逐渐增大,导致腔内孤子依次消失,直到达到单孤子状态【49】。
补充信息:无铜杂质光子集成电路 实现确定性孤子微梳
本稿的补充信息包括:Si₃N₄热效应对孤子生成的数值模拟、Si₃N₄波导中金属杂质的检测、铜扩散在硅中的分析及其在Si₃N₄中的吸收特性、故意铜污染实验及其对孤子生成的影响、铜扩散进入Si₃N₄波导的途径、LPCVD和PECVD Si₃N₄的去杂效率比较、不同去杂方法的讨论、去杂后硅晶圆的表征、从去杂硅晶圆制造的Si₃N₄器件的表征、商业Si₃N₄光子集成电路中铜杂质的分析,以及LNOI/LTOI平台中的分析。
目录
热效应对孤子生成的数值模拟
Si₃N₄光子集成电路中的金属杂质
铜在硅中的扩散及其在Si₃N₄中的吸收特性
在Si₃N₄微谐振腔中故意铜污染:对DKS生成的影响
在制造过程中铜在Si₃N₄波导中的扩散
LPCVD和PECVD Si₃N₄的去杂效率比较
多种去杂方法
去铜处理后纯化硅晶圆的表征
去杂Si₃N₄光子集成电路的表征
商业Si₃N₄光子集成电路中的铜杂质
LNOI/LTOI平台中的铜杂质
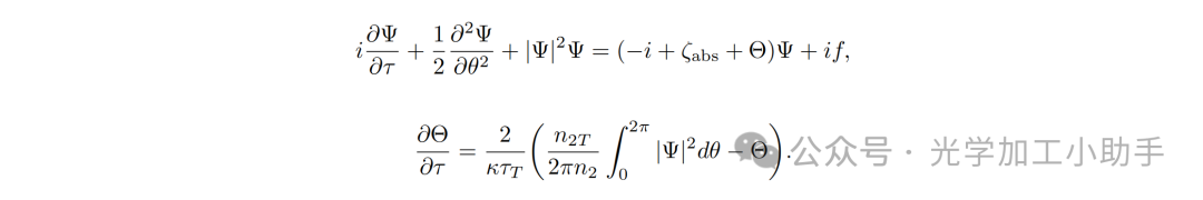
热效应对孤子生成的数值模拟
为了说明热效应在孤子生成中的作用,如主文中所示,我们模拟了标准化的Lugiato Lefever方程(LLE),并将其与腔体温度方程耦合:
在这里,我们使用以下无量纲变量:慢时间 TT、内部腔体坐标 ff、绝对腔体去调谐 Δ\Delta、腔体温度的变化 δ\delta 以及内部腔体场 Ψ(r,t)\Psi(r, t)。此外,热响应由热弛豫时间 TrT_r 和热非线性系数 γtherm\gamma_{\text{therm}} 控制。模拟使用标准的伪谱分步法进行,并采用了来自文献中的参数。
Si₃N₄光子集成电路中的金属杂质

(Cu)通过溅射等离子体中的电子捕获转化为单次带电离子,因此信号反映了总的元素浓度,而不受初始电荷状态的影响【2】。我们研究了金属杂质,包括锂(Li)、硼(B)、钠(Na)、镁(Mg)、铝(Al)、钾(K)、钙(Ca)、钛(Ti)、铬(Cr)、锰(Mn)、铁(Fe)、镍(Ni)、铜(Cu)和锌(Zn)。补充图S1中展示的SIMS深度分布图显示了Si₃N₄芯片上的杂质浓度,背景颜色指示了SiO₂包覆层、Si₃N₄波导核心和硅基底。值得注意的是,只有铜(Cu)在Si₃N₄芯片中被检测到,特别是集中在Si₃N₄波导中,而其他所有金属的浓度都保持在或低于检测限。这一发现确认了铜是Si₃N₄波导中的主要金属杂质
3.铜在硅中的扩散及其在Si₃N₄中的吸收特性
图S2. 铜在掺杂硅晶圆中的扩散。
a. 铜在掺硼(P/B掺杂)硅晶圆中的扩散系数随温度变化的图示,掺硼浓度不同。
b. 铜扩散通过525 µm硅晶圆的时间,随掺硼浓度增加而变化。
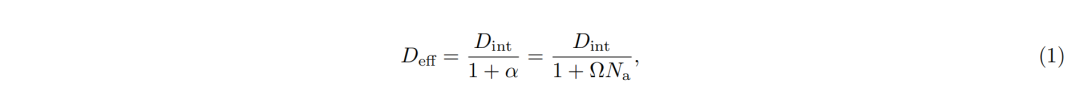
铜在硅(Si)和二氧化硅(SiO₂)等材料中表现出较高的迁移性【5】。它们可以通过基体扩散,并在缺陷位置或界面处被捕获,形成深能级缺陷。铜在硅晶圆中的扩散行为受到掺杂浓度、导电类型和温度的强烈影响。在高掺硼的p型硅晶圆中,铜在较低温度下(<400°C)表现出较低的扩散系数,这归因于铜离子与p型掺杂剂之间的强电静相互作用,显著降低了扩散系数【3, 6】。在较高温度(>900°C)下,随着热能克服吸引势,铜在p型硅晶圆中的扩散系数趋于相同,不再受掺杂浓度的影响(见图S2a)。补充说明中进一步描述了有效扩散系数,公式如下:
其中,NaN_a 是捕获中心的密度,Ω\Omega 是配对常数,代表有效捕获体积。
ΩNa\Omega N_a 量化了固定铜离子(Cu⁺)与可移动铜离子(Cu²⁺)的比例。
从过渡漂移测量中获得的内在扩散系数【4】表示为:
xx 通过公式 AT=Ax′2DAT = \frac{Ax'}{2D} 计算得出。根据公式3,铜在室温下大约需要3小时扩散通过一块0.525 mm厚的本征硅晶圆,或者在大约15小时内扩散通过一块中等掺硼(Na = 10¹⁵ ~ 13.5 Ω·cm)掺杂的硅晶圆(补充图S2b)。因此,对于低温处理应用,由于其对铜相关缺陷和污染的优越控制,掺硼的高掺硼p型硅晶圆被优先考虑。
在光纤中,Cu⁺较为常见,因为光纤通常在富氧环境(例如,硅玻璃,SiO₂)中制造,这有助于稳定Cu⁺。在Si₃N₄光子集成电路(PICs)中,铜主要以离子形式存在,通常是Cu⁺或Cu²⁺,而不是中性铜原子,这与铜与周围基体的化学相互作用倾向有关。
铜的具体电荷状态取决于其所处的化学环境:Cu⁺在缺氧或富氮条件下较为稳定,而Cu²⁺则在电负性或氧化环境中更加稳定。像X射线光电子能谱(XPS)和电子能量损失谱(EELS)等技术可以精确确定铜的氧化态,尽管我们的Si₃N₄样品显示的是亚检测限的浓度。
图 S3. LPCVD Si₃N₄ 薄膜退火前后的 XPS 表面分析。尽管退火在氮气(N₂)气氛中进行,退火后的光谱仍显示出明显的氧掺杂。
铜离子在 Si₃N₄ 中的迁移受到无定形结构的影响。尽管缺乏长程有序结构,硅和氮原子仍形成了一个由封闭环路构成的复杂网络。在该网络中,推测 Cu⁺ 和 Cu²⁺ 离子可在热激发或光激发下通过这些原子环结构之间的稳定间隙位点以“跳跃”机制进行迁移【7】。
Si₃N₄ 中铜离子的存在会通过配体到金属电荷转移(LMCT)过程影响热吸收损耗。在LMCT过程中,电子从基于氮的配体轨道跃迁到铜的轨道,产生激发态,随后非辐射弛豫,将光能转化为热能【8, 9】。这一机制相比于较弱的 d-d 跃迁占主导地位,后者在 Cu²⁺ 中极少见,且在 Cu⁺ 中完全不存在。
在高温处理过程中(例如在 N₂ 中退火),低氧含量和还原性条件强烈促进 Cu⁺ 的形成。因此,在 Si₃N₄ 波导中,铜预计主要以 Cu⁺ 的形式存在,除非引入氧化剂,否则 Cu²⁺ 的比例可以忽略。然而,Si₃N₄ 薄膜在退火前后的 XPS 表面分析(1200°C,11 小时,N₂)显示退火后氧含量显著增加(补充图 S3)。这可能源于在晶圆装载过程中炉管清洁不充分所导致的残余氧。尽管这些氧掺杂主要限制在表面,但在局部仍可能将 Cu⁺ 氧化为 Cu²⁺。为减轻这一现象,可以在成型气体中退火,或在更严格的控氧条件下进行处理,以减少氧的渗入。
故意铜污染对Si₃N₄微谐振腔的影响:对DKS生成的影响
为了进一步证明铜引入额外的热吸收损耗,从而阻止在Si₃N₄微谐振腔中访问DKS,我们故意将铜杂质引入一个易于生成孤子的Si₃N₄微谐振腔,且铜污染水平较低。
图S4. 铜污染对Si₃N₄微谐振腔中热吸收和孤子生成的影响
a. 铜污染实验示意图,其中一个铜涂层的硅晶圆在1000°C下进行4小时的热处理,在N₂气氛中放置在Si₃N₄芯片下方。器件ID:D163_01F2_C3。
b. 铜扩散前后内在损耗率 κ0/2π\kappa_0 / 2\piκ0/2π 的直方图。
c. 在相同共振频率(1550 nm附近,Th偏振)下,铜扩散前后进行的克尔归一化热响应测量。
d. 在TE偏振下测量的孤子步长,显示铜扩散后微谐振腔中的步长变短。
e. SIMS深度分布图揭示了热处理后铜的掺入,进入Si₃N₄波导中。SIMS结果经过混合Si₃N₄/SiO₂波导层中的Si₃N₄填充比校准。
Si₃N₄芯片被放置在一个铜涂层的硅晶圆上,底部的硅基底与铜直接接触(补充图S4a)。在1000°C下,在氮气环境中退火4小时后,铜杂质通过硅基底和SiO₂底部包覆层扩散进入Si₃N₄核心。TE00共振的统计分析显示,铜污染导致最可能的内在损耗率 κ0/2π\kappa_0 / 2\pi 增加了23%(补充图S4b)。我们对1550 nm附近的相同共振频率进行了热吸收对比的频率响应表征,比较了铜污染前后的情况。吸收参数 γ\gamma 从3.5增加到15.2,热吸收损耗率 κabs/2π\kappa_{\text{abs}} / 2\pi 从4.7 MHz增加到20.5 MHz(补充图S4c)。
在孤子生成方面,原始的长孤子步长(620.33 MHz)在铜扩散后缩小到10.23 MHz,伴随着调制不稳定(MI)区域的延长,表明Si₃N₄微腔内存在显著的热积累(补充图S4d)。SIMS测量(补充图S4e)显示Si₃N₄层中的铜杂质浓度增加,确认了通过热扩散引入的污染。观察到的损耗增加(以dB/m/ppm为单位)低于[10]中基于Cu²⁺的预测,因为在惰性退火条件下,铜以较少吸收的状态(Cu⁰ 和 Cu⁺)存在于Si₃N₄中。
这个实验表明,铜杂质是超低损耗Si₃N₄微谐振腔中孤子无法生成的主要原因,突出了在处理超低损耗Si₃N₄光子集成电路时,特别是在DKS生成中,控制铜杂质的必要性。
铜在Si₃N₄波导中的扩散:在制造过程中
图S5. 铜扩散进入Si₃N₄波导的路径:在器件制造过程中的扩散
a. 低损耗Si₃N₄波导制造的光子Damascene工艺示意图,包括预形刻蚀、回流、LPCVD Si₃N₄和SiO₂沉积、平面化和退火。
b-e. 深度分辨的铜浓度分布图:
b. 预形刻蚀和回流后的铜浓度;
c. Si₃N₄沉积和平面化后的铜浓度;
d. Si₃N₄退火(1200°C,11小时)后的铜浓度,显示铜掺入Si₃N₄波导中;
e. SiO₂包覆层沉积和退火后的铜浓度,显示铜局限于Si₃N₄波导核心内。
我们使用光子Damascene工艺制造了Si₃N₄波导,并采用SIMS追踪铜杂质在整个制造步骤中的扩散。目标是识别铜何时进入Si₃N₄波导并确定其来源。补充图S5a展示了制造过程,包括预形刻蚀和回流(1250°C,1小时)、Si₃N₄的低压化学气相沉积(LPCVD)、平面化沉积和最终退火(1200°C,11小时),最后是SiO₂包覆层沉积。补充图S5b中的SIMS深度分布图显示,在预形刻蚀和回流后,未检测到铜。紧接着Si₃N₄沉积和平面化之后,铜的浓度仅在微量可检测水平(补充图S5c)。在退火(1200°C,11小时)后,铜浓度在Si₃N₄波导核心内显著增加(补充图S5d),表明在这一高温步骤中发生了扩散。最后,SiO₂包覆层沉积和退火后的深度分布图确认铜局限于Si₃N₄波导中,周围的SiO₂层中没有可检测到的铜(补充图S5e)。这些结果表明,铜在高温退火过程中扩散进入Si₃N₄波导,可能来源于工艺前或工艺中引入的外部污染。主文中的实验揭示,在不同硅晶圆上同样制造的Si₃N₄微谐振腔表现出不同的孤子生成行为,表明硅基底是铜杂质的来源。尽管SIMS测量是在Damascene工艺样品上进行的,但观察到的行为——铜在Si₃N₄退火后掺入并被捕获在Si₃N₄核心中——也适用于减法加工的样品,这些样品共享不同的制造步骤,但使用相同的制造工具。
LPCVD和PECVD Si₃N₄的去杂效率比较
图S6. SIMS对涂覆LPCVD和PECVD Si₃N₄薄膜的硅晶圆中铜浓度的表征。沉积的Si₃N₄薄膜,LPCVD和PECVD两种方法均为约200纳米厚,在800°C下退火不同时间。SIMS分析显示,与LPCVD薄膜相比,PECVD Si₃N₄薄膜中可检测到更高的铜浓度,表明PECVD薄膜具有更高的去杂效率,原因是PECVD薄膜中铜捕获位点的密度更高。相比之下,LPCVD Si₃N₄薄膜的铜浓度不随退火时间变化,保持恒定。
Si₃N₄薄膜作为有效的去杂层,其性能取决于沉积方法。我们使用SIMS比较了LPCVD和PECVD Si₃N₄薄膜的铜去杂行为。我们通过LPCVD和PECVD技术分别在硅晶圆上沉积了200纳米厚的Si₃N₄薄膜,然后在800°C下退火不同时间(3-40小时)。SIMS深度分布图显示了两种薄膜类型在铜去杂效率上的差异。如补充图S6所示,即使在较短的退火时间内,PECVD生长的薄膜也积累了大约是LPCVD薄膜的10倍的铜浓度。这种增强的去杂能力来自PECVD的特征性高缺陷密度和悬挂键,这些是在其低温沉积过程中生成的,为铜提供了丰富的捕获位点。相比之下,LPCVD薄膜在退火时间上铜浓度变化较小。它们的稳定行为反映了LPCVD的化学计量完美性和高温生长条件,这限制了可用的去杂位点,并导致快速的捕获饱和。
多种去杂方法
除了主文中讨论的去杂方法外,还探索了其他技术,如WOX去杂和背面Si₃N₄去杂。由于铜在硅和二氧化硅中的高扩散系数D,在高温下,Si₃N₄去杂层可以直接沉积在具有湿氧化SiO₂(WOX)的硅晶圆上,以保持表面光滑度。这涉及在硅晶圆上沉积200纳米LPCVD Si₃N₄薄膜,底面有4微米WOX层,之后在1200°C下退火33小时,将铜杂质从硅基底驱动到Si₃N₄波导中。污染层随后通过化学机械抛光(CMP)和刻蚀去除,作为背面的去杂层。背面去杂利用LPCVD Si₃N₄薄膜的残余Si₃N₄层,在Si₃N₄微谐振腔制造过程中,通常需要控制晶圆弯曲以缓解表面应力不平衡,在退火时作为铜杂质的去杂池。
图S7. 不同方法下铜去杂效率的比较分析
a. 采用不同去杂技术处理的Si₃N₄微谐振腔中铜的SIMS深度分布图。
b. 在800°C退火10小时后,对涂覆260纳米PECVD Si₃N₄的Si基底进行慢速冷却(-4°C/min)和快速冷却(~ -240°C/min)的比较分析。
补充图S7a比较了不同去杂方法下Si₃N₄微谐振腔中的铜浓度,背面去杂将铜浓度从>10¹⁷原子/cm³(ppba-1380)降至~4x10¹⁶原子/cm³(ppba-552),相比未去杂的参考样品。尽管这些方法不如直接去杂有效,但它们需要较少的操作步骤,并且仍能显著减少Si₃N₄波导中的铜杂质。
此外,[11]中的研究强调了在铜去杂过程中温度升温的关键作用。该研究表明,在退火后,缓慢冷却(例如,-40°C/min)能够显著增强铜的去杂效率,几乎消除了铜相关的光诱导退化(Cu-LID)。相比之下,快速空气冷却会导致较弱的杂质分离,残留铜在基体中并未能抑制铜-LID。这归因于缓慢冷却过程中发射器和基体之间增强的铜溶解度梯度,这推动了有效的杂质分离。因此,控制冷却速率对优化铜去杂和最小化其对器件性能的负面影响至关重要。
我们研究了在两种冷却模式下(控制冷却(-4°C/min)和快速空气冷却(约-240°C/min)退火后的Si基底铜去杂过程中,PECVD Si₃N₄薄膜中的铜积累。补充图S7b中的SIMS深度分布图显示,逐渐冷却的样品中铜浓度是快速冷却样品的3倍,表明冷却速率控制的去杂效率。
8.铜去杂处理后纯化硅晶圆的表征
图S8. 直接去杂处理后硅晶圆的表征
a. 直接去杂过程示意图:原生SiO₂剥离、前面PECVD Si₃N₄沉积、Si₃N₄去除、干湿刻蚀(HF)和SiO₂的湿氧化。
b. 与a对应的各个阶段的硅晶圆图像
本部分表征了通过直接去杂方法纯化后的硅晶圆的表面粗糙度。补充图S8a展示了直接去杂过程:用HF剥离原生SiO₂,前面PECVD Si₃N₄沉积,Si₃N₄通过干湿刻蚀(HF)去除,以及SiO₂的湿氧化。补充图S8b提供了各个阶段硅晶圆的照片。我们使用原子力显微镜(AFM)监测了整个过程中的表面粗糙度。直接去杂后,硅晶圆表面的均方根(RMS)粗糙度为1.173纳米,经过4微米SiO₂层氧化后,粗糙度降低至0.579纳米(补充图S9c,d)。为了进一步减少与SiO₂表面粗糙度相关的器件损耗,可以应用化学机械抛光(CMP),最终得到0.219纳米的RMS粗糙度(补充图S9e)。为对比,来自同一批次的参考硅晶圆在氧化前后的RMS分别为0.857纳米和0.183纳米(补充图S9a,b),表明其粗糙度略优于直接去杂方法得到的粗糙度。
图S9. 不同去杂阶段的硅晶圆AFM表征,与参考样品的比较
a. 参考硅晶圆。
b. 参考硅晶圆氧化后。
c. 直接去杂后的硅晶圆。
d. 直接去杂和氧化后的硅晶圆。
e. 直接去杂、氧化和抛光后的硅晶圆。
图S10. 采用扩散屏障方法处理的硅晶圆表征
a. 扩散屏障沉积(200 nm LPCVD Si₃N₄)、晶圆键合和基底去除后的硅晶圆正面。
b. 硅晶圆背面。
c. 抛光后的SiO₂表面的AF扫描。
我们还表征了采用扩散屏障方法处理的硅晶圆,以防止铜扩散进入Si₃N₄器件。该过程包括沉积200纳米的LPCVD Si₃N₄,随后通过晶圆键合形成4微米的SiO₂层。补充图S10a,b展示了Si₃N₄沉积后硅晶圆前后两面的图像。补充图S10c中的AFM扫描显示,RMS粗糙度为0.201纳米,证明了适合于器件制造的高质量SiO₂包覆层。
去杂Si₃N₄光子集成电路的表征
为了展示我们去杂方法在减少Si₃N₄微谐振腔中的光学损耗方面的有效性,我们使用来自同一批次的两片硅晶圆制造了器件:一片经过直接去杂处理,另一片未进行去杂处理。
确保初始铜污染水平相同。在制造过程中,两个硅晶圆的处理方式完全相同。
所研究的Si₃N₄微谐振腔的横截面为2.2×0.9 µm²,FSR为50 GHz。
我们对两个器件在1310 nm到1630 nm波长范围内的内在共振线宽(κ0/2π\kappa_0 / 2\pi)进行了表征(补充图S11a,b)。去杂处理后的器件的平均 κ0/2π\kappa_0 / 2\pi 为14.2 MHz,最可能值为11 MHz,而未去杂处理的器件的分别为21.6 MHz和20 MHz,去杂后内在线宽减少了约7-9 MHz。
图S11. 去杂与未去杂Si₃N₄微谐振腔的光学损耗、热吸收和SIMS表征
a. 在1310-1630 nm(TE偏振)范围内的内在共振线宽(κ0/2π\kappa_0 / 2\pi)测量,比较去杂(蓝色)和未去杂(红色,标记为“正常”)器件。样品ID:去杂(D163 03 F1 C7 1 04),未去杂(D163 11 F1 C7 2 04)。
b. 图a中器件的κ0/2π\kappa_0 / 2\pi直方图。
c. 在1520、1530、1550和1560 nm附近的共振点,进行的克尔归一化热响应测量,比较去杂和未去杂器件。彩色区域表示低调制频率下以热效应为主的区域。
d. 泵浦激光扫描过程中的孤子步长形成。
e. 去杂与未去杂器件中的铜污染比较的SIMS深度分布图。
为了进一步评估热效应,我们进行了克尔校准的共振频率响应测量。补充图S11c展示了热(蓝色和红色)和克尔(灰色)贡献的测量响应和拟合。热与克尔的比值 γ=χtherm(0)/χKerr(0)\gamma = \chi_{\text{therm}}(0) / \chi_{\text{Kerr}}(0) 显示去杂器件的热吸收显著低于未去杂器件,未去杂器件的 γ\gamma 值是去杂器件的3到5倍,突出了去杂过程在最小化Si₃N₄微谐振腔中的热损耗方面的有效性。残余热吸收归因于与氢相关的键(例如,1517 nm处的Si-H和1530 nm处的N-H)【12】,可以在1520 nm和1530 nm附近看到增大的 γ\gamma 值。原则上,这种残余吸收可以通过更严格的热处理进一步减少,例如更高温度的退火。
尽管我们的Si₃N₄器件当前受到散射损耗的限制,但去杂处理显著减少热吸收并促进孤子生成,在散射损耗已接近基本限制的应用中,起着至关重要的作用。这突显了我们的方法在推动超低损耗集成光子系统中的广泛适用性。
补充图S11d显示,在泵浦激光扫描过程中,去杂器件的孤子步长显著延长(705 MHz),相比之下,未去杂器件为256 MHz。对于去杂Si₃N₄样品,补充图S11e展示了未经Si₃N₄/SiO₂填充比修正的原始SIMS测量数据。由于在去杂样品中未检测到铜信号,因此不进行修正以免不必要地增加分析的复杂性并且误导铜杂质的不存在。相比之下,未去杂样品显示出可测量的铜污染(5×10¹⁵原子/cm³)。
这些结果展示了去杂的好处:有效抑制杂质,并改善光学性能(减少损耗、抑制热效应和延长孤子步长)。
10.商业Si₃N₄光子集成电路中的铜杂质
图S12. 商业Si₃N₄样品中铜浓度的SIMS表征(Ligentec SA)
a-c. 显微图,指示测量位置。所有样品均在商业铸造厂(X-FAB)中制造。
d-f. 铜浓度的对应深度分布图,Si₃N₄层以灰色突出显示。Si₃N₄层的结构数据由Ligentec SA提供。
我们在商业Si₃N₄样品(Ligentec SA)中检查了铜浓度,这些样品在一个受污染控制的商业铸造厂(X-FAB)中制造,以确认铜在Si₃N₄光子器件中的广泛存在。尽管采用了严格的污染控制协议,补充图S12d-f中的SIMS深度分布图显示,Si₃N₄层内的铜杂质浓度在10¹⁶-10¹⁷原子/cm³级别。这表明,铜污染不仅仅是由作为基底的硅晶圆的外部污染引起的,而是与制造过程中本身密切相关。
11.LNOI/LTOI 平台中的铜杂质
图S13. 本征、B/P掺杂硅晶圆和LNOI/ITOI平台中铜浓度的SIMS深度分布图
a. 本征和B/P掺杂硅晶圆中的铜SIMS深度分布图。
b. 测试的LNOI波导示意图(500纳米核心,100纳米薄片)。
c. LNOI芯片中铜的SIMS深度分布图,显示铜在100纳米薄片中的存在(由于密度低,波导部分省略)。
d. 测试的ITOI波导示意图。
e. ITOI中的铜SIMS深度分布图,检测同样局限于100纳米薄片。
为了将我们对铜杂质的研究扩展到集成光子平台,我们对锂铌酸盐-绝缘体(LNOI)和锂钽酸盐-绝缘体(ITOI)波导进行了SIMS深度分布分析。我们首先评估了在LNOI/ITOI制造中常用的本征硅晶圆(电阻率 >10k Ω·cm)中的铜污染。在本征硅晶圆上沉积了一层薄的Si₃N₄,并在1200°C下氮气气氛中退火11小时,以促进铜在Si₃N₄层中的去杂。补充图S13a比较了来自同一供应商的本征硅晶圆和掺硼p型硅晶圆(5-10 Ω·cm)中的铜浓度。在这两种硅晶圆中观察到了相似的铜浓度,表明商业硅中普遍存在铜污染,即使在高纯度(7N-8N,10-0.1 ppbw)本征基底中也是如此。然而,测得的铜浓度(>10¹⁷原子/cm³,>10⁵⁰ ppba)超过了典型的基体杂质水平,表明存在外部污染,可能是在硅晶圆抛光过程中引入的。
接下来,我们分析了LNOI/ITOI结构中500纳米波导和100纳米薄片高度的铜浓度。补充图S13c和e显示,铜局限于薄片的顶部100纳米区域,SiO₂包覆层中的铜检测量可以忽略不计。这种局限性是因为测量区域主要采样的是薄片区域,因为在图案化芯片中波导的分布稀疏。薄片中的铜浓度与本征硅中的不同,可能是由于基底来源的差异或Si₃N₄与LNOI/LT之间去杂效率的不同。
在LNOI/ITOI平台中检测到铜确认了铜污染在硅基集成光子系统中的普遍性,强调了在硅晶圆抛光、处理和集成过程中需要严格控制,以最小化杂质引起的光子器件损耗。