
#钛酸钡电光调制器 #钛酸钡光波导 #薄膜钛酸钡晶圆
作者:Amogh Raju, Divya Hungund, Dan Krueger, Zuoming Dong, Zarko Sakotic,
Agham B. Posadas, Alexander A. Demkov, and Daniel Wasserman*
单位:The University of Texas at Austin钛酸钡极高的非线性光学响应和CMOS兼容性使其在芯片级光子学应用中,尤其适用于高密度、宽带宽和低功耗的光学元件和器件。然而,如果材料损耗不能大幅降低,钛酸钡不太可能成为集成光子学中现有非线性材料的竞争性替代品。本研究探讨了单片光子结构的损耗机制,该结构采用射频溅射法在绝缘体上硅衬底上外延生长钛酸钡制成。本文采用三种光子结构研究了钛酸钡波导损耗,并证明了其直波导损耗小于0.15 dBcm−1,远低于先前发表的含钛酸钡波导结构的损耗测量结果。此外,本文还展示了高Q值钛酸钡谐振器,其空载品质因数Q ≈ 5 × 105。钛酸钡光子结构的低损耗,加上钛酸钡巨大的非线性光学响应,为高速调制、光学计算和非线性应用提供了紧凑高效的钛酸钡光子器件和结构。
#0:10mm-10mmsto衬底-bto薄膜(300nm厚度可定制)
#1:sto外延片
2寸 外延 sto 2-20nm(可定制)- 2um Sio2(可定制) -Si(可定制)
#2:a向 bto外延片
2寸 外延 a-向 bto(300nm或者500nm,或者定制)-sto 8nm(可定制)- 2um Sio2(可定制) -Si(可定制)
#3:C向 bto外延片
2寸 外延 c-向 bto(150nm或者300nm,或者定制)-sto 8nm(可定制)- 2um Sio2(可定制) -Si(可定制)
#离子注入铒代工
#6寸DUV步进式光刻代工,最小线宽180nm,超高性价比,可以只曝光
#快速氮化硅硅光铌酸锂流片 #高性价比 #低成本
#提供8寸 8umSiO2热氧片
室温低损伤@GCIB抛光代工@束斑小(4-5mm)更均匀
#降低硬质材料化合物晶圆等绝大多数材料的表面粗糙度,比如金刚石 ,磷化铟,砷化镓,碳化硅
#提高复合衬底和镀膜膜层的器件层膜厚均匀性,
比如SOI LNOI LTOI SICOI 等 SMARTCUT得到的薄膜
或者镀膜所得到的膜层 ,比如镀了一层氮化硅,但是由于是cvd镀膜所得到的,表面的膜厚精度很差,粗糙度很差,可以通过粗糙度初步降低粗糙度,然后通过GCIB团簇离子束抛光来修整整面的膜厚均匀性 到0.5%以下举例:
未经过Trimming 工艺的 6寸LN/LTOI晶圆 数据:
Range:100-200A
经过Trimming 工艺的 6寸LN/LTOI晶圆 数据:
Range:60A以内
ALOOI晶圆;--氧化铝薄膜晶圆,键合工艺和镀膜工艺
TAOOI晶圆--氧化钽薄膜晶圆,镀膜工艺
SINOI晶圆;--超低损耗氮化硅薄膜晶圆,
SICOI晶圆;新型量子光学平台
6寸LTOI晶圆批量供应;铌酸锂的有力的竞争对手,薄膜钽酸锂晶
8寸LNOI晶圆;8寸LNOI助力更大规模薄膜铌酸锂产品量产
LN/LT-SOI/Si/SIN W2W&D2W异质集成
流片: 6寸 氮化硅 铌酸锂 硅光 超高性价比流片, 1个BLOCK的价格买一整片晶圆
划重点--全国产-超高性价比-6 寸硅光-氮化硅-铌酸锂流片白皮书
我们为客户提供晶圆(硅晶圆,玻璃晶圆,SOI晶圆,GaAs,蓝宝石,碳化硅(导电,非绝缘),Ga2O3,金刚石,GaN(外延片/衬底)),镀膜(PVD,cvd,Ald,PLD)和材料(Au Cu Ag Pt Al Cr Ti Ni Sio2 Tio2 Ti3O5,Ta2O5,ZrO2,TiN,ALN,ZnO,HfO2。。更多材料),键合(石英石英键合,蓝宝石蓝宝石键合)光刻,高精度掩模版,外延,掺杂,电子束光刻等产品及加工服务(请找小编领取我们晶圆标品库存列表,为您的科学实验加速。
请联系小编免费获取原文
1. 引言
近年来,钛酸钡铁电氧化物(BaTiO3 或 BTO)在集成光子学应用领域引起了人们的广泛关注[1–5]。这在很大程度上是由于 BTO 具有极高的线性电光系数[3,6,7]。具有大电光(普克尔斯)系数的材料有可能实现紧凑高效的移相器,可用于光调制和开关、可调滤波器、光延迟线和光束控制等应用。[8–11] 目前,此类应用的首选材料是铌酸锂(LiNbO3 或 LN),它具有较大的电光系数(r33 = 31.45 pmV−1,r42 = 33.96 pmV−1[12]),并且已被证明在重要的电信波长范围内具有极低的损耗[13–17]。损耗如下:在通过化学机械蚀刻减薄的块体LN中,已实现了低至0.34 dBm−1的损耗[18],而在由薄膜LN集成在硅基衬底上制成的单片器件中,已报道了2.7 dBm−1的直波导损耗[19]。
这些结果不仅可以演示低损耗光路,还可以演示极高Q值(> 108)的LN谐振器[18]。出于这些原因,基于锂氮的集成光子学基础设施在过去十年中以惊人的速度发展,并已展示出一系列应用广泛的器件,这些器件的应用范围广泛,包括高速调制[20,21]、光束控制[22–24]、光学神经网络[25]和非线性光学(用于频率梳生成、波长转换和量子态生成[9,26–31])。
虽然锂氮无疑是目前大规模动态集成光子学的首选材料,但它并非没有缺点。首先,或许也是最重要的一点,锂与典型的硅代工厂不兼容。锂氮的复杂制造工艺会导致氧化锂等挥发性产物的存在,而这些产物在硅制造过程中会造成污染物。因此,大规模集成基于LN的光子结构需要专用的制造设备[32],并需要利用薄膜转移工艺在硅衬底上进行异质集成。[33]虽然此类微印刷工艺已经成熟,但可以直接在硅衬底上生长且与CMOS制造工艺兼容性更高的非线性光学材料可能具有显著的优势。此外,虽然LN的线性电光系数明显大于任何III-V族材料和绝大多数透明氧化物,但仍比BTO小一个数量级以上,而BTO拥有已知的最大普克尔斯系数之一(薄膜中的r42−BTO = 923 pmV−1[]和块体中的r42−BTO > 1000 pmV−1[6,7])。因此,人们对基于BTO的新型集成光子器件和结构的兴趣日益浓厚。绝大多数基于BTO的器件都采用混合波导结构,其中BTO对施加场提供非线性响应,但光学模式由沉积在BTO周围并图案化的高折射率材料引导。这种方法很大程度上是为了应对直接图案化BTO的困难。集成到马赫曾德尔调制器(MZM)中的狭缝波导结构,采用硅包层和BTO芯,已被证明具有较大的有效普克尔斯系数和较低的V𝜋L(在波导中实现𝜋相移所需的长度-电压积的量度)[2]。在BTO薄膜上图案化并被SiO2包裹的氮化硅波导已被制成跑道谐振器(RtR)结构,并已证明可实现单谐振和多谐振的超低功率调谐[34]。相移的额外演示(最常见的是高速调制应用)[35–41]通常使用类似的混合设计架构。
虽然基于BTO的集成光子学基础设施发展迅速,但对混合器件架构的依赖最终成为该领域持续发展的限制因素。BTO的额外处理(氢气暴露、温度循环)可能会在材料中引入缺陷和/或损耗,而且需要将平面BTO与沉积和图案化的高折射率波导材料一起使用,这限制了可用的光子器件架构。最近,已经演示了使用直接沉积在绝缘体上硅(SOI)衬底上的BTO制成的全BTO波导的MZM调制器。[42]这些结构在单臂调制、臂长为750 μm的MZM中表现出具有竞争力的调制效率V𝜋L = 2.32 V ⋅ cm,这表明有机会开发高效的单片BTO相移结构,用于电信波长的一系列应用。
然而,这些结构的波导损耗经测量为3.17 dBcm−1,远高于LN的损耗,这对基于单片BTO的集成光子学的持续发展构成了挑战。
单片BTO波导中损耗的降低将为开发紧凑、高带宽、高效的光子器件打开大门,这些器件可用于一系列重要的应用,并具有更高的CMOS兼容性。
本文,我们研究了硅基BTO波导结构的损耗,并展示了单片BTO波导结构中创纪录的低损耗。我们使用多种方法来测量光损耗。首先,我们采用截断法获得直BTO波导损耗的近似值。随后,我们设计并制作了高质量(Q)因子环形谐振器(RR)结构,并从中提取了与波导损耗和弯曲损耗相结合的相关损耗。最后,我们设计并制作了高Q值跑道谐振器结构,以分离弯曲损耗和直波导损耗。测量得出的直波导损耗远低于0.2 dBcm−1,并且跑道谐振器的总损耗与我们的环形谐振器结构表现出极佳的匹配性。本研究提出的高Q值光子结构能够在高度非线性的BTO材料体系中提取创纪录的低损耗,从而为实现低损耗、高效调制的单片BTO光子结构,使其能够广泛应用于各种集成光子应用。
2. 实验部分
2.1. 生长
BTO 薄膜的生长方式与参考文献 [43] 中描述的生长过程类似。首先,采用分子束外延 (MBE) 技术在绝缘体上硅 (SOI) 晶片上外延生长 5 nm 的 SrTiO3,作为 BTO 生长的缓冲层。在生长 BTO 之前,SOI 晶片的顶层硅层经过仔细氧化,使 MBE 生长的 SrTiO3 与埋置的热氧化物层保持接触。然后采用离轴射频磁控溅射技术生长 BTO,厚度为 300 nm。生长条件为:正向功率为 70 W,氩气中氧气含量为 20%,总气压为 5 mTorr。BTO 的生长速率为3.6 nm min−1。为了提高结晶度,沉积温度设为 750 ◦C,略高于我们之前的研究温度(710 ◦C)。[42] 所得薄膜的原生粗糙度小于 1 nm,X 射线衍射 (XRD) 摇摆曲线半高宽 (FWHM) 为 0.52 ◦。较高的生长温度也使得薄膜获得了完全弛豫的 a 轴取向,其面外晶格常数为 3.989 Å。
2.2. 设计
采用椭圆偏振法测得原生 BTO 层的折射率,在 θ = 1550 nm 处为 n = 2.217。提取的BTO折射率用于设计单片BTO切割、RR和RtR结构的光学元件,包括波导和光栅耦合器,工作波长为θ0 =1550 nm。为了便于设计,我们假设射频溅射BTO的折射率为各向同性。[2] 使用商用有限差分时域(FDTD)软件(Lumerical)优化了脊形波导和光栅耦合器的尺寸。波导的宽度设计为w = 1.2 μm,蚀刻深度为d = 100 nm,以实现基模TE的单模工作。光栅耦合器的光栅蚀刻深度设计为与脊形波导相同,以便光栅耦合器和波导可以在一次光刻和蚀刻工艺中完成。光栅耦合器的尺寸经过优化,假设为一维光栅耦合器(在二维模型中),以实现31%的TE偏振光耦合效率(耦合到波导的入射光比例)。光栅耦合器设计为以8°与法线夹角的方式耦合和耦合光,因此设计的光栅周期为Λ = 954 nm,光栅宽度为494 nm。RR和RtR中波导弯曲半径R = 50 μm,以尽量减小器件占用空间,同时最大限度地降低弯曲损耗。图1a显示了本文所用直波导中基波TE模式的横截面(xz)电场(|E|)模式分布的模拟值。
2.3.制造
切割结构、环形谐振腔和跑道谐振腔均在从原生生长的BTO-on-SiO2层堆叠上切割下来的8 mm × 8 mm样品上制作。光栅耦合器、锥形谐振腔、波导和环形/跑道结构均在未稀释的ZEP520A光刻胶上采用电子束光刻技术(EBL)进行图案化。该光刻胶用作蚀刻掩模,将电子束图案转移到BTO层上。BTO层采用离子铣削,蚀刻速率约为8.6 nm min-1。虽然器件(切割结构、环形谐振腔和跑道谐振腔)是在不同的制造流程中制作的,但所有结构均在同一块BTO-on-SOI晶圆上制作,并具有相同的波导横截面几何形状,以便比较不同横向几何形状但具有相同蚀刻深度和蚀刻轮廓的器件。
制作了用于粗略测量波导损耗的切割结构。这些结构具有相同数量的弯曲段,弯曲半径 R = 75 μm,但直波导长度不同。切割结构的臂长分别为 200、250、400 和 800 μm。由于每个切割结构包含三个直波导段,因此可以获得与 150、600 和 1800 μm 的额外波导长度相关的差分损耗。
图 1b 显示了所制作环形谐振器的示意图。制作了具有相同光栅耦合器、光总线和环几何形状(环半径 R = 50 μm)但耦合间隙不同的环形谐振器结构。仅改变耦合间隙 g 即可实现损耗 (𝛼) 和自耦合 (t) 系数的解耦。制作了耦合间隙为 g = 550 − 1200 nm、步长为 50 nm 的环形谐振器结构。图 1c 显示了代表性环形谐振器的光学显微照片,图 1d 和 e 分别显示了代表性光栅耦合器和环形谐振器的扫描电子显微照片 (SEM)。图 1f 显示了环形谐振器中耦合区域的特写 SEM,显示了未蚀刻波导表面上的 BTO 岛状结构。SEM 表明,离子铣削的 BTO 表面通常比未蚀刻的 BTO 表面更光滑,而未蚀刻的 BTO 表面呈现出纳米级特征,这可能是外延射频溅射工艺的结果。原子力谱 (AFM)对制备样品蚀刻和未蚀刻区域的扫描结果显示,RMS粗糙度分别为0.538和1.63纳米。蚀刻表面RMS粗糙度的降低,正如SEM图像所示,表明离子铣削工艺使BTO表面更加光滑,从而减小了BTO表面岛的尺寸。
此外,还制备了跑道谐振器,包括两个180°圆形弯头(半径与环形谐振器相同,R = 50微米),其波导边为直边(垂直于总线波导)。此处,耦合间隙固定为预测的临界耦合间隙(g = 850纳米),跑道直波导段的长度在L = 100至300微米之间变化(以50微米为增量)。跑道结构的设计是为了能够消除谐振器弯曲损耗和固有(直)波导损耗。
2.4. 实验装置
采用光纤耦合波长可调半导体激光器对所制备的结构进行表征,激光器工作波长为𝜆0 ≈ 1550 nm。激光器的输出光纤与结构的入射耦合光栅对准,入射角为8°,光通过光栅耦合器耦合到绝热锥形结构中,然后经过90°波导弯头(R = 50 μm)后进入总线。
来自器件的发射信号通过第二个90°波导弯头和绝热锥形结构被引导至光栅输出耦合器,并在那里以8°的出射角输出耦合光。输出耦合光由放置在输出耦合光栅上方的第二根光纤收集。然后,发射光聚焦到InGaAs光电二极管上。激光源由函数发生器使用1017 Hz方波进行调制,光电二极管检测到的调制信号被馈入锁相放大器 (LIA)。
LIA解调响应,给出发射信号的相对幅度。优化的光栅耦合器以及总线输入和输出处的两个90°波导弯头确保在这些实验中仅测量基波TE偏振模式(高阶模式的弯曲损耗要高得多,因此波导弯头可作为这些模式的有效滤波器)。
3. 环形谐振腔理论
图1b所示的通用环形谐振腔结构由一个定向耦合到波导的环形谐振腔组成。通过波导传输的光功率在耦合区以衰减的方式耦合到谐振腔腔中。该连接处的功率分配比由波导模式的空间分布和耦合区的特性决定,包括环和波导之间的耦合间隙 (g) 以及它们之间耦合相互作用的有效长度 (Lc)。此配置中重要的参数是自耦合系数 t 和损耗系数 𝛼。
自耦合系数决定了在耦合区通过波导传输的电场幅度的比例,而损耗系数表示电场在环中完整往返一次的幅度传输系数(实际上是衡量环谐振器损耗的指标,包括波导损耗和弯曲损耗)。
交叉耦合系数 𝜅 表示在耦合区耦合到环的电场幅度的比例。假设耦合区无损,进入耦合区的功率与离开该区域的功率相同,因此 |t|2 + |𝜅|2 = 1。环形谐振器的传输线形状为洛伦兹线,其最一般形式如下式所示:[44]
这里,𝛼2表示在环中单次往返传输的光功率分数,因此,实际上表示了光在环中传播的传输率。传播损耗计算为|20 log(𝛼)∕C|,单位为dBcm−1,其中C表示环形腔的总长度(2𝜋R)。环中的往返相位延迟(𝜃)定义为𝜃 = 2𝜋neff C∕𝜆。图1g显示了使用公式(1)模拟的通过环形谐振器结构的传输情况,其中耦合间隙距离发生变化(相当于在公式(1)中调节t)。在这个简单的模型中,我们可以观察到谐振腔 (RR) 的光谱从小耦合间隙(过耦合区)的宽透射谷(消光系数弱)变为临界耦合区的接近 1 的消光系数和减小的线宽,再到欠耦合谐振腔 (g 较大) 的弱而窄的特征。
由于谐振腔的品质因数取决于耦合系数和谐振腔的损耗,因此材料损耗无法简单地从单个谐振器件或透射特征中提取出来。然而,通过改变耦合间隙,从欠耦合区到临界耦合区再到过耦合区,我们可以提取 BTO 波导谐振腔结构中的损耗系数 𝛼。改变耦合间隙 (g) 将调整环和波导之间的功率分配程度。在这种情况下,我们预期 𝛼 将保持不变,但 t 将随着耦合间隙尺寸的变化而变化。我们随后使用相同的方法,通过改变腔体长度来提取跑道谐振器中的损耗,并期望提取出的谐振器损耗系数呈现单调趋势,这将使我们能够分离谐振器弯曲损耗和直波导损耗。
4. 结果与讨论
虽然可以通过直接测量直波导的传输率来提取由于吸收或散射引起的波导损耗[45],但这种方法需要精确估计光进出波导的耦合效率,这并非易事,并且会增加提取出的损耗值的不确定性。为了降低这种不确定性,可以制造具有相同耦合机制和相同数量波导弯曲但直波导段长度不同的多个波导结构,并测量相对传输率与直波导长度的关系。这种方法称为截断法。
研究含BTO波导结构损耗的文献通常表明损耗为2.4 dBcm−1或更高,[1,5,46],而先前对单片BTO波导的研究表明损耗大于3 dBcm−1。[42]
我们设计并制作了截短结构,假设我们的BTO波导的损耗与先前的研究类似。因此,由于芯片面积的限制,截短结构的几何形状与文献[1,46]中的几何形状基本一致。
图 2. a) 使用不同直波导长度的切割结构进行传输实验,用于提取0.7 ± 0.14 dBcm−1 的波导损耗。b) 本文研究的切割结构的光学显微照片,其中直波导长度分别为 200、250、400 和 800 μm,每个结构的弯曲次数相同(弯曲半径相同,R = 75 μm)。
图2a显示了所制作的截短结构测得的传输率与直波导长度的关系。
拟合截短结构传输数据的直线斜率得出的直波导损耗为0.7±0.14 dBcm−1。这一结果标志着单片BTO波导的最低测量损耗,据我们所知,对于任何基于BTO的混合或单片波导结构而言,这一损耗都是最低的。[42,46,47]虽然实验数据与拟合线没有太大差异,但由于制造和测量条件的潜在差异,截短损耗提取方法只能粗略地测量波导损耗。这是因为截断法假设每个器件的传输(以及传输测量)的所有方面都是相同的。制造的纳米级光栅耦合器的几何形状的任何变化,或波导结构上或附近的任何缺陷,都可能对传输产生足够的影响,从而使损耗提取变得不可靠。或者,在不同结构测量之间,输入或输出光纤对准的任何变化,都可能导致传输信号的变化。从我们的单片BTO结构中提取的低损耗,需要更长的截断结构(≈ 10 毫米)才能更准确地测定波导传播损耗,但仍然会受到器件之间制造和实验差异的影响。因此,我们首先使用截断法获得了直BTO波导损耗的近似值,然后探索了更精确的损耗提取替代方法。
法布里-珀罗干涉法已用于拟合低精细度波导法布里-珀罗谐振器,以提取波导中的传播损耗。[48–50] 这是一种可靠的方法,但需要精确估计反射率R,对于端射耦合器件,反射率R可以用菲涅尔方程描述。我们的工作使用光栅耦合波导,估算绝热锥形和基于光栅的自由空间耦合器的三维反射率R的计算成本很高。
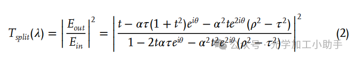
此外,制造相关的偏差可能会导致实际R与模拟R之间出现偏差,从而影响提取的损耗。因此,我们转而使用环形谐振器,以实现更可靠的损耗提取。环形谐振器结构比长切回结构占用的空间要小得多。此外,此类结构不仅有效地提供了一种提取损耗的机制,还直接演示了由我们低损耗材料制备的高Q值单片BTO光子结构。尽管分析过程更加复杂,但从环形谐振器透射光谱中提取损耗是一种更可靠的方法,因为提取的损耗来自单个器件中总线/谐振器系统的光谱特性,而不是制造或实验偏差。光栅耦合器效率的变化(由于缺陷或对准引起)或总线(远离谐振器)中与缺陷相关的损耗,只会改变整体透射强度,而不会显著影响谐振的光谱特性。透射数据是从具有不同耦合间隙(g)的环形谐振器结构中收集的。图3显示了代表性的归一化透射光谱。从实验数据中可以清楚地看出,RR光谱与图1g中的理想(解析)透射光谱不同。在实验透射光谱中观察到明显的分裂,而模型透射光谱中没有出现这种分裂。目前已有多项关于环形谐振器结构中谐振透射特性分裂的研究;这种分裂通常与制造阶段在环形谐振器腔或耦合区域引入(有意或无意的)扰动有关,或者与材料本身的缺陷有关。[51–56] 图1b中的示意图显示了环形谐振器上的一个缺陷(绿点),表示谐振器腔中的缺陷。耦合到环中的光用逆时针传播的电场Eccw表示。当场与扰动相互作用时,波导内的反射会导致顺时针传播模式 Ecw 的产生,从而导致透射光谱中出现第二个谐振特征,当其与原始谐振相结合时,类似于谐振中的分裂。这两个透射特征的分裂程度是由环中两种模式的相互耦合引起的,与环的尺寸和相对大小有关。环上一个或多个扰动的定位,并已进行了深入研究。[57–59] 在我们的透射数据中观察到了类似的分裂,这可能是由于制造过程中无意引入的缺陷、射频溅射材料固有的散射特性,或者更可能是由于与 RR 横向几何形状相关的蚀刻深度变化(例如,在较窄的耦合区域中蚀刻较浅)造成的,这些变化可以充当耦合逆时针和顺时针传播模式的散射机制。用两种模式的线性组合拟合分裂谐振,每种模式都用方程 (1) 表示,是从实验透射光谱中提取损耗和 Q 因子的一种可能解决方案。或者,Goede 等人 [59] 通过改变引入微环的布拉格反射器的反射率来模拟谐振分裂的调整。这里我们使用参考模型。 [59],将布拉格反射器与由于制造缺陷或BTO材料本身固有的原因在环形谐振腔中无意引入的扰动进行了比较。在图3中,我们使用参考文献[59]中的分裂谐振模型拟合了分裂透射特性,其中光谱透射函数为:

其中,𝜌和𝜏分别表示扰动反射和透射的电场幅度分数,假设扰动无损且互易:|𝜌|2 + |𝜏|2 = 1 且𝜌𝜏∗ + 𝜌∗𝜏 = 0。
虽然双洛伦兹拟合可以用来捕捉分裂较大的特征,但对于分裂较弱的谐振,使用上述模型(公式 (2))进行拟合可以更准确地提取𝛼和Q因子。为了保持一致性,我们采用公式 (2) 给出的分裂谐振模型来拟合每个考虑的谐振,无论谐振分裂的强度如何。图 3 显示了 g = 650、750、850 和 1000 nm 的四个环形谐振器的谐振传输特性及其相应的拟合结果(使用公式 (2))。我们清楚地看到,RR 结构的响应从过耦合(左)到欠耦合状态(右)变化,在整个耦合间隙范围内,RR 可被视为临界耦合。
图 3. 四种不同耦合间隙的 RR 的实验透射率和模型拟合:a) g = 650 nm,b) g = 750 nm,c) g = 850 nm 和 d)g = 1000 nm。所示光谱表示从 (a) 过耦合状态到 (d) 欠耦合状态的转变。(b) 和 (c) 中的光谱表示在临界耦合范围内的几何结构。
图 3a 显示了 g = 650 nm 的 RR 结构的传输谐振,其中 t < 𝛼,代表过耦合状态;图 3d 显示了 g = 1000 nm 的器件的传输谐振,其中 t > 𝛼,代表欠耦合状态。我们注意到,观察到的分裂强度因器件而异,并且似乎与器件几何形状(特别是耦合间隙 g)无关,这证实了我们的假设:这种效应是由器件制造过程中的意外缺陷或 BTO 本身的固有缺陷造成的。

图 4. a) 不同耦合间隙下环形谐振腔的 t 和 𝛼 图。b) 分离谐振模型中各个谐振点的消光比(单位:dB)和 Q 因子随间隙变化的曲线。c) 耦合间隙函数下的传输模型,其中分离谐振点由谐振腔扰动引起。此处,我们通过改变自耦合系数 t 来模拟耦合间隙 g,从过耦合(黑线)到临界耦合(青色线)再到欠耦合(深黄色)。我们将临界耦合定义为 t = 𝛼 = 0.9916 的情况。为了清晰起见,谐振点的波长有所偏移。
在图 4a 中,我们绘制了从模型拟合中提取的 𝛼 和 t。预计随着耦合间隙的增加,自耦合系数 t 应该会增加,因为由于总线和谐振器波导模式的空间重叠减少,从总线到谐振器的耦合会变弱。另一方面,𝛼 的值(它纯粹是环本身光学损耗的量度)不会随着耦合间隙 g 的变化而发生显著变化(或根本不变化)。如图 4a 所示,我们观察到 t 值随着耦合间隙从 0.55 μm 增加而明显增加。需要注意的是,我们没有绘制耦合间隙 g > 1000 nm 时提取的 𝛼 或 t 值,因为弱耦合会导致谐振,其消光比接近我们测量的噪底。在同一幅图中,我们观察到,与 t 值的提取值不同,我们提取的 𝛼 值与耦合间隙 g 的关系基本保持恒定,这与预期一致。提取的 𝛼 线与 t 线的交点给出了临界耦合的位置。在我们的案例中,对于处于或接近临界耦合的高 Q 值结构,由于制造工艺导致的样品间差异,导致 g ≈ 750 − 850 nm 的范围,此时器件可被称为临界耦合。图 3b、c 显示了该临界耦合范围内传输谐振的代表性光谱。
图 4b 显示了提取出的消光比(以分贝 (dB) 为单位)以及不同耦合间隙的环形谐振器器件的 Q 因子。我们可以使用 Q = 𝜔o∕Δ𝜔 提取环形谐振器的 Q 因子,其中 𝜔o 是谐振的中心频率,Δ𝜔 是谐振的半高宽 (FWHM)。需要注意的是,对于 Q 因子的提取,我们使用分裂谐振器中单个谐振器的 𝜔o∕Δ𝜔(这可以衡量谐振器的固有 Q 值)。与图 1g 类似,我们观察到随着从过耦合状态过渡到欠耦合状态,Q 因子呈现出预期的上升趋势。对于 g = 850 nm 的临界耦合器件,提取的负载 Q 因子为 105,000,消光比为 5.56 dB。这相当于空载 Q 因子约为 200,000。模拟表明,从各个透射特征提取的 Q 因子与未受干扰的微环谐振器的 Q 因子相似。此处记录的 Q 值是所有基于 BTO 的谐振器结构(混合或单片)中最高的。[3,7,39,60] 从图 4a我们可以估算出本研究中制备的谐振器环的平均损耗。 𝛼曲线上所有点的平均值得出的传播损耗为2.11±0.42 dBcm−1。在未受扰动的环形谐振器中,最高消光比位于临界耦合区及其附近;而在受扰动且存在分裂谐振的系统中,过耦合区显示出更高的消光比,如图4c中的模拟结果所示,这一特性得到了图3中实验结果的支持。值得注意的是,该损耗是我们波导的线性损耗(𝛼直,由于吸收和/或散射)和弯曲环本身的弯曲损耗(𝛼弯曲,由于光从R = 50 μm环中泄漏出来而导致的)的组合。从环形谐振器器件收集的数据来看,没有直接的方法可以区分这两种损耗机制。
由于环形谐振器半径相对较小,弯曲损耗可能会掩盖波导基波 TE 模式相关的线性损耗(这最终是衡量本文研究的 BTO 结构固有损耗基底的最佳指标)。确定直的单片 BTO 波导(直波导)的损耗至关重要,因为此类波导元件是任何光子集成电路的骨干。
图 5. a) BTO 跑道谐振器 (RtR) 的典型光学显微照片。b) RtR 示意图,分别显示了直波导和弯曲波导部分的不同损耗系数 𝛼 和 𝛼 弯。c) L = 100 μm 的跑道谐振器的实验光谱和拟合结果(来自公式 (2))。该器件的 Q 值为94,000。d) 不同直波导比例的跑道谐振器中提取的 t 和 𝛼 曲线图。e) 从 RtR 中提取的损耗,经线性拟合后,分别从 y 轴和 x 轴截距测得波导弯曲损耗 (1.51 dBcm−1) 和直波导损耗 (0.1378 dBcm−1)
为了从谐振器结构的弯曲损耗中提取直波导损耗,我们制作了与环形谐振器具有相同波导几何形状的跑道谐振器。由于跑道谐振器包含弯曲和直波导段的组合,我们可以通过改变不同跑道段的直波导与弯曲波导长度之比来分离这两种损耗机制,从而测量每个器件的总损耗。[19]图 5a 和 5b 分别显示了 RtR 的光学显微照片和示意图。RtR 的耦合间隙固定为 g = 850 nm(在我们 RR 器件的临界耦合范围内),直线段的长度从 L = 100 μm 变化到 L = 300 μm,其中 L 代表轨道两侧直线段的长度。我们使用与 RR 结构相同的拟合过程,其中使用分裂谐振模型拟合 RtR 的分裂谐振,并提取了两个系数 t 和 𝛼。图 5c 显示了 L = 100 μm 的 RtR 器件的拟合结果。从消光比为 10 dB 的实验光谱中提取出的 Q 值为 94,000。虽然该器件的损耗远低于RR,但提取出的t和𝛼表明该器件略微过耦合。在临界耦合下,RtR的Q因子预计会更高。使用Rabiei等人[61]描述的方法,从L = 300 μm的RtR导出的𝛼,提取出5 × 105的空载Q因子。
图 5d 绘制了提取出的 t 和 𝛼 值,它们与所制备的直波导电阻 (RtR) 中直波导比例的关系,其中直波导比例计算为 2L∕(2L + 2𝜋R),R = 50 μm。图 5d 中 t 的变化与制备和样品处理条件有关。图 5e 中,我们绘制了提取出的各 RtR 损耗与直波导比例的关系。这些损耗值的线性拟合叠加在绘制的数据上。将拟合曲线外推至直波导比例为 0% 时的 y 轴截距,可得到 RtR 的弯曲损耗值,而直波导比例为 100% 时的 y 轴截距,可得到 RtR 的纯直波导损耗值。由此,我们计算出0%时弯曲波导损耗为1.51 dBcm−1,100%时直波导损耗为0.1378 dBcm−1。利用原子力显微镜(AFM)扫描提取了制备样品的波导尺寸:深度100 nm,基面宽度1.35 μm,侧壁倾角≈75°。使用这些尺寸和无损材料进行时域有限差分(FDTD)模拟,估计弯曲损耗为1.63 dBcm−1。从RtR提取的弯曲损耗(1.51 dBcm−1)应与从RR结构提取的损耗(2.11 dBcm−1)相当,事实上,我们发现这两个值与模拟损耗非常吻合。
值得注意的是,由于两组结构是在不同的制造流程中,并在原始BTO晶圆的不同位置制造的,因此测得的RR和RtR的弯曲损耗幅度非常接近。根据分裂谐振模型(公式(2))提取的损耗表明,直波导损耗小于0.2 dBcm−1,这是所有基于BTO的架构(无论是单片式还是混合式)中记录到的最低损耗。我们认为,大部分损耗可归因于基波TE模式与蚀刻侧壁的相互作用(图1e)。
使用 SuMMIT 软件包 (EUV Tech) 分析了蚀刻波导的 4 μm × 3 μm SEM 图像,从中提取出 10.82 ± 1.19 nm 的无偏线边缘粗糙度 (LER, 3μm) 和 ≈ 40 nm 的相干长度 (Lc)。
将这些参数输入 FDTD 模型,模拟了通过长度 100 μm 的波导的传输,从中提取出 0.12 dBcm−1 的传播损耗。
该结果与从 RtR 中提取的损耗相符,进一步支持了侧壁散射是测量波导损耗的主要原因。我们的低传播损耗(< 0.2 dBcm−1)和高空载Q值(5 × 105)也与Riedhauser等人[62]报道的最新值高度一致。波导几何形状的改进,包括增大弯曲半径和加宽波导,可以减少基模与蚀刻侧壁的相互作用,从而降低散射损耗。优化基于Ar+的离子铣削工艺也可以使侧壁更光滑、更直,从而有望降低损耗。我们还怀疑,BTO内部的畴边界,由于折射率略有差异,可能会因畴边界散射而造成微小但不可避免的损耗。[63]
5. 结论
我们已证明,在单片BTO RtR结构中,该结构是在绝缘体上硅衬底上生长的射频溅射BTO上制备的,其直波导损耗创历史新低。在本研究中,我们制备了切回结构、环形谐振器和跑道谐振器,以便以多种互补方式提取BTO波导损耗。这三种结构均采用电子束光刻和离子铣削工艺制备,以生成脊形波导、输入/输出耦合光栅和波导锥形区域。通过改变BTO生长条件以及BTO厚度和波导几何形状,与我们之前的研究[42]相比,我们已证明损耗远低于已报道的基于BTO的光子器件(包括单片和混合器件)的损耗值。从切回结构中提取的损耗为0.7 dBcm−1。制作了环形和跑道形谐振器,作为更可靠的损耗提取源。从RR中提取的损耗为2.11 ± 0.42 dBcm−1,我们认为该值主要与R = 50 μm环的弯曲损耗有关。
尽管RR器件的弯曲损耗很大,但我们在环形谐振器结构中实现了负载和空载谐振器Q值分别超过100,000和200,000。跑道形谐振器结构用于分离弯曲损耗和直波导损耗,从中提取的弯曲损耗为1.51 dBcm−1,直波导损耗为0.1378 dBcm−1。我们发现,我们的跑道形谐振器器件也具有很高的品质因数,负载和空载谐振器的Q值分别为Q > 90,000和5 × 105。据我们所知,这些提取出的品质因数(直波导损耗和Q值)是目前基于BTO器件架构中报道的最佳值。与目前有限的单片BTO器件或基于在BTO上生长的SiN/Si波导混合架构或转移到Si/MgO基衬底上的晶圆的报道相比,本文提出的单片BTO器件表现出显著的提升性能。本文报道的品质因数为新型低损耗、高Q值光子器件打开了大门,这些器件具有极大的线性电光系数,并有可能在硅衬底上直接生长。此类器件可以为低损耗、低功耗的集成光子基础设施奠定基础,广泛应用于光学计算和通信、非线性光产生以及量子光学应用。