摘要:我们报告了利用化学放大光刻胶和优化的干法刻蚀方法,在晶圆级上制造单模低损耗铌酸锂绝缘体波导。所制造的单模波导没有残留物和再沉积,直波导的测量损耗约为 2 dB/m(0.02 dB/cm)。我们提出了一种方法,主要由于其成本效益和更快的写入时间,在大规模生产中具有优势。该工作有望推动集成光子学和光通信技术的发展。
划重点--销售晶圆和加工
ALOOI晶圆;--氧化铝薄膜晶圆,键合工艺和镀膜工艺
TAOOI晶圆--氧化钽薄膜晶圆,镀膜工艺
SINOI晶圆;--超低损耗氮化硅薄膜晶圆,
SICOI晶圆;新型量子光学平台
6寸LTOI晶圆批量供应;铌酸锂的有力的竞争对手,薄膜钽酸锂晶圆
8寸LNOI晶圆;8寸LNOI助力更大规模薄膜铌酸锂产品量产
LN/LT-SOI/Si/SIN W2W&D2W异质集成
EBL和6寸 150nmDUV加工微纳结构
我们为客户提供晶圆(硅晶圆,玻璃晶圆,SOI晶圆,GaAs,蓝宝石,碳化硅(导电,非绝缘),Ga2O3,金刚石,GaN(外延片/衬底)),镀膜方式(PVD,cvd,Ald,PLD)和材料(Au Cu Ag Pt Al Cr Ti Ni Sio2 Tio2 Ti3O5,Ta2O5,ZrO2,TiN,ALN镀膜刻蚀,ZnO,HfO2。al2o3。更多材料),键合(石英石英键合,蓝宝石蓝宝石键合)光刻,高精度掩模版,外延,掺杂,电子束直写等产品及加工服务(请找小编领取我们晶圆标品库存列表,为您的科学实验加速。
请联系小编免费获取原文

引言
铌酸锂绝缘体(LNOI)由于其多功能的性质和较大的折射率对比,广泛用于非线性光学、电光学和声光学等不同应用领域,使其成为光子集成电路(PICs)的有前景平台。这样的 PICs 是实现第二次量子革命的理想候选者,能够在大规模平台上促进量子态的控制。基于 LNOI 的 PICs 除了量子技术外,还在相干通信系统和超快信号处理等领域有应用。为了持续发展 LNOI PICs,需要一种制造方案,以实现以下目标:(i)低损耗波导,确保其在实际应用中的可行性和可扩展性,(ii)成本效益,(iii)在制造不同结构时具有高灵活性,(iv)晶圆级操作。
在各种制造技术中,电子束光刻(EBL)是实现 PICs 的一种常用方法,其中电子束在敏感的电子束(e-beam)光刻胶中定义波导和其他结构的图案,然后通过不同的图案转移工艺刻蚀 LN 层。通过高通量字符投影电子束光刻(CP-EBL)可以实现灵活性,这是一种与半导体设备和材料国际组织(SEMI)工艺兼容的方法。在这种方法中,预定义的单元结构通过电子束投影到基板上,实现了纳米级的精确图案化。此外,由于写入速度比传统的高斯电子束光刻快两个数量级,这提供了成本效益和灵活性之间的良好平衡。
波导损耗来源于铌酸锂(LN)的本征材料吸收和波导的散射。散射由波导的侧壁粗糙度引起。侧壁粗糙度是波导形状中的不完美和不规则性,导致波导的不同导模之间以及导模到辐射模之间的耦合,从而增加了传播损耗。侧壁粗糙度来自制造过程,包括用于刻蚀的掩模形状的缺陷、刻蚀过程中的各向异性以及 LN 材料的质量。控制和减少侧壁粗糙度可以实现高质量的波导和低传播损耗。之前已有多种方法报道用于通过电子束光刻(EBL)实现 LNOI 中的高质量低损耗波导。具有最低传播损耗的主要方法是化学机械抛光和干法刻蚀。对于化学机械抛光技术,所需的结构被图案化为铬(Cr)掩模,放置在 LN 的表面,并使用晶圆抛光机将图案转移到 LNOI 中。这种方法已被用于制造低损耗结构,传播损耗约为 1 dB/m。然而,这种方法与标准制造工艺不兼容,且制造的波导具有较大的侧壁角度,阻碍了高集成密度。
另一种方法是通过利用在 LN 表面上的图案化掩模进行纳米结构化,然后使用干法刻蚀技术将图案转移到 LN 中,这种方法显示出制造高质量 LNOI 波导的潜力。广泛的研究已经采用了各种刻蚀方法和不同的掩模材料。在显著的成就中,张等人通过制造低损耗 LNOI 波导,取得了 2.7 dB/m 的传播损耗的优异结果。在这种成熟的制造方法中,波导是使用厚的氢化硅倍半氧烷(HSQ)光刻胶层制造的,直接作为刻蚀 LN 的掩模。这种光刻胶可以提供高分辨率和厚掩模,具有良好的选择性,并且可以直接刻蚀到 LN 中。尽管 HSQ 提供了非常高的分辨率,但所需的剂量以及图案化光刻胶的写入时间对于晶圆级应用来说是不可行的。这些特性使得 HSQ 在大规模生产中不具备优势。
与 HSQ 相比,化学放大光刻胶(CAR)需要更小的剂量和写入时间,因为它含有光化学酸生成剂(PAG),在曝光过程中充当催化剂,增加了光刻胶的敏感性。许多 CAR 的主要缺点是它们的选择性有限,需要使用中间硬掩模。之前许多不同的研究小组已经发布了他们在使用不同掩模(如二氧化硅(SiO2)和铬(Cr))实现低损耗结构方面的结果。报道的波导损耗范围为 20 dB/m。尽管测量的损耗与报告的最佳损耗相当,但该过程仍可改进,进一步降低波导损耗。在这里,我们改进了这一过程,减少了波导损耗,使其与使用化学机械抛光技术制造的波导损耗相当。
在本文中,我们提出了一种依赖于化学放大光刻胶(CAR)、最小化电子束曝光剂量、中间硬掩模和优化的干法刻蚀工艺的制造方法,用于实现低损耗波导,而不使用 HSQ 光刻胶。首先,详细展示了制造路线,随后展示了来自环形谐振腔的损耗测量结果。在最后一部分,我们通过数值计算计算了直波导的传播损耗。
制造
利用 CAR 和中间硬掩模是一种更适合大规模生产的技术,因为其较低的曝光剂量和写入时间。在不同的 CAR 光刻胶中,我们使用 FEP 171,其剂量值为 10 µC/cm²,相较于图案化 HSQ 光刻胶所需的剂量(约 5000 µC/cm²),要小得多。
我们制造低损耗波导的方法涉及使用中间的 Cr 硬掩模,如图 1 所示。本研究中使用的基板是由 NANOLN 公司提供的 X-cut LNOI,包含一个 600 nm 厚的 LN 层,位于 2 µm 厚的 SiO2 层上,以及一个 525 µm 厚的硅(Si)支撑层。样品制备在 4 英寸晶圆上。最初,我们使用离子束沉积(Oxford Ionfab 300+ LC)将 120 nm 厚的 Cr 层沉积到样品上,随后旋涂 300 nm 厚的 FEP 171 光刻胶层(见图 1(a))。这个光刻胶厚度足以通过 120 nm 的 Cr 层进行刻蚀,将图案转移到硬掩模中。

图 1. 制造步骤。
(a) 沉积 Cr 层和光刻胶;
(b) 图案化光刻胶;
(c) RIE 刻蚀 Cr 层;
(d) ICP-RIE 刻蚀 LN;
(e) 退火并用 SiO2 层包覆结构;
(f) 光刻胶显影后的扫描电子显微镜图像;
(g) Cr 刻蚀步骤后的聚焦离子束横截面图像;
(h) 最终清洗后的扫描电子显微镜图像。
接下来,使用可变形束(VSB)电子束写入机(Vistec SB350 OS)以多次写入模式曝光光刻胶,这可以增强剂量均匀性并最小化接缝误差、电荷效应和热负荷。曝光后,光刻胶被显影(图 1(b)和(f))以定义结构,并通过反应离子刻蚀(Sentech SI-591)将图案转移到硬掩模中(图 1(c))。图 1(g)展示了刻蚀后的 Cr 层横截面图像,顶部残留光刻胶层,显示出大约 100 nm 的下刻蚀,这在样品设计时需要考虑。最后,通过感应耦合等离子体反应离子刻蚀(ICP-RIE)和 CHF3 气体刻蚀 LN 层(图 1(d))。
我们在 LNOI 纳米结构化过程中面临的主要挑战之一是由刻蚀过程中从 LNOI 基板移除的材料重新沉积,形成的非晶层,这些材料附着在制造的纳米结构上。尽管已有化学清洗或离子铣削等方法被引入以去除这些再沉积层,但它们可能无意中增加波导的侧壁粗糙度。解决这一问题的最有效方法是优化制造工艺本身,以防止非晶层的形成。先前的研究表明,在 ICP-RIE 刻蚀中,优化如腔体压力和直流偏压等参数可以控制再沉积层。在我们的制造开发中,我们优化了刻蚀 LN 的条件,以确保生产出高质量的结构,没有任何可见的再沉积物。由于刻蚀 LN 涉及氟化学反应,因此很可能会生成像 LiF 这样的副产品,这可能会对最终结构的质量产生负面影响。我们的实验表明,通过降低 ICP-RIE 过程中基板电极的温度,可以防止结构表面出现残留物。降低温度改变了反应动力学,防止残留物被吸附到 LN 表面,并使它们能够被泵送出腔体。
随后,我们清洁了样品并准备进行测量。为了去除 Cr 层的残留物,我们使用了由铈铵硝酸盐和高氯酸组成的商业刻蚀混合液。另一个清洁步骤是使用磷酸、硝酸和醋酸的刻蚀混合液,在 50°C 的超声浴中清洗一个小时。这个过程有效地去除了结构表面的钝化层,并使侧壁非常光滑。图 1(h)展示了经过刻蚀和清洁过程后的制造结构,表明波导的侧壁上没有残留物或再沉积物。然后,我们在氧气(O2)气氛中以常压对样品进行退火,保持温度为 520°C,持续两小时。此过程通过提高 LN 的结晶性来减少波导中的损耗。最后,我们通过等离子体增强化学气相沉积(PECVD)将 SiO2 包覆层应用于样品,以增强模式场分布并提供额外的保护(见图 1(e))。
讨论与结果
为了测量所制造结构的传播损耗,我们制造了环形谐振腔。我们结构的示意图如图 2 (a) 所示。光通过边缘耦合法耦入波导,随后通过渐逝耦合进入环形谐振腔的间隙区域。传输光通过带透镜的光纤收集,通过光电探测器检测,并用于计算谐振腔中波导的损耗。在我们的结构中,LN 层刻蚀 500 nm,波导和环形谐振腔结构的顶部宽度为 1 µm。我们制造并测试了四个直波导长度(Ls)分别为 100 µm、300 µm、400 µm 和 500 µm 的环形谐振腔。每个谐振腔的弯曲半径为 100 µm,耦合区域中波导与谐振腔之间的间隙为 300 nm。图 2 (b) 展示了使用这些参数制造的波导和谐振腔的扫描电子显微镜图像。

图 2.
(a) 环形谐振腔和波导的示意图。
(b) 制造的直波导和谐振腔的扫描电子显微镜图像。
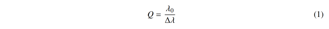
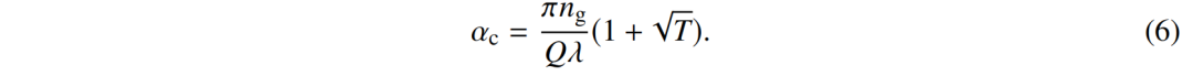
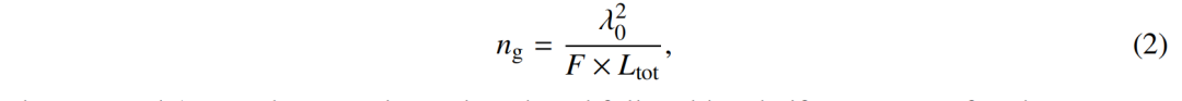
谐振腔的总损耗来源于两种效应:环形谐振腔中的散射和吸收损耗(传播损耗)以及与波导耦合引起的损耗(耦合损耗)。为了估计损耗值,我们对环形谐振腔进行了传输测量。对于直波导长度(Ls)为 400 µm 的谐振腔,1547 到 1553 nm 波长范围内 TE 模式的检测信号如图 3 (a) 所示。在下一步中,光谱中的共振通过洛伦兹函数进行拟合,并且归一化到共振外的传输功率。图 3 (b) 显示了在 1548.818 nm 波长处的一个共振及其拟合。通过对共振的拟合数据,我们计算了每个共振的加载品质因数(Q)和群体折射率(ng)的值。


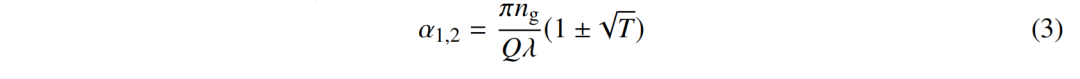
其中 λ0 和 ∆λ 分别是每个共振的中心波长和半高宽(图 3 (b)),F 和 Ltot 分别是共振的自由光谱范围和谐振腔的总长度。这些值使我们能够计算两个损耗系数 α1,2 及其相应的损耗值 l1,2。


其中 T 是归一化拟合的最小传输值(图 3 (b))[29,30]。计算出的一个损耗值与传播损耗相关,另一个与环形谐振腔的耦合损耗相关。如果这两个值相等,则传播损耗和耦合损耗相同,且谐振腔在临界耦合状态下工作,但这并不总是如此。

图 3.
(a) 对应于谐振腔传输信号的测量电压,波长范围为 1547 到 1553 nm。
(b) 1548.818 nm 处的共振(在 (a) 中标记为红色箭头)和洛伦兹拟合函数。图像已归一化为 1。
对于直波导长度(Ls)为 400 µm 的谐振腔,在图 3 (a) 所示的测量波长范围内,平均 Q 为 (0.83 ± 0.15) × 10⁶,群折射率 ng 为 2.32 ± 0.02。相应的损耗值为 l1 = 7.8 ± 2.2 dB/m 和 l2 = 43.7 ± 8.9 dB/m。这些结果表明,我们的谐振腔并未在临界耦合状态下工作。对于其他三个制造的谐振腔,我们进行了类似的测量和计算,所有四个谐振腔的 Q 因子、l1 和 l2 的值如表 1 所示。表格显示,计算出的损耗值在所有谐振腔中一致,表明我们的实验具有良好的重复性。
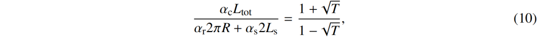
表现最佳的谐振腔是直波导长度为 500 µm 的那个,其中测量得到的 l1 为 4.9 ± 1.4 dB/m,l2 为 26.6 ± 5.3 dB/m。为了确定这两个测量损耗中哪个对应于波导的实际传播损耗,哪个代表耦合损耗,我们使用测量到的环形谐振腔的尺寸进行了仿真。通过仿真得到的耦合损耗为 28.97 dB/m,接近测量值 l2。可以合理假设,l1 是波导的传播损耗,而 l2 代表耦合损耗。换句话说,我们的谐振腔工作在强耦合状态下,波长范围 1447 到 1553 nm 内 TE 模式的传播损耗(lp)和耦合损耗(lc)分别约为 5 dB/m 和 27 dB/m。我们还对谐振腔的 TM 模式进行了类似的测量和分析,TM 模式在相同波长范围内的传播损耗约为 8 dB/m。传播损耗有两个不同的贡献:直波导损耗和弯曲损耗。我们预计直波导的传播损耗将小于整个环形谐振腔的测量值,因此我们进行了以下计算,以找到直波导的实际损耗。

前面计算的传播损耗值是在假设环形谐振腔的直部分和弯曲部分具有相同传播损耗的情况下得出的。这个假设通常不成立,因为未考虑波导弯曲引起的损耗。在这里,我们将这两种损耗分开,并计算直波导的传播损耗。
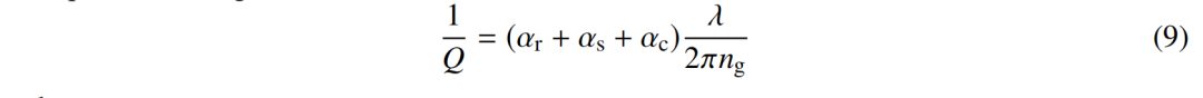
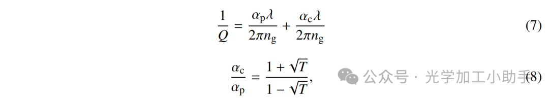
由于测量的谐振腔工作在强耦合状态下,传播损耗(αp)和耦合损耗(αc)系数可以通过方程(3)计算得到。


在假设损耗较小且耦合较小的情况下,可以得到计算耦合损耗和传播损耗的方程,构建一个由两个方程组成的系统 [29]:

其中 λ 是测量带宽的中心波长(这里是 1550 nm)。将谐振腔的直部分(αs)和弯曲部分(αr)的损耗系数分开,且 αp = αs + αr,方程变为:


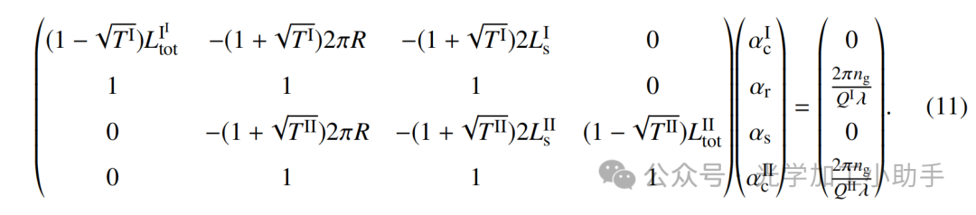
其中 R 是弯曲半径,Ls 是谐振腔直线部分的长度(如图 2 (a) 所示)。这两个方程包含三个未知值,解决该问题需要一个额外的方程。为了求解这个问题,我们比较了两个相似的环形谐振腔的测量结果,它们之间唯一的不同是直波导的长度 Ls。我们在 1447 到 1553 nm 的范围内对两个直波导长度分别为 100 µm 和 500 µm 的谐振腔进行了测量。由于这两个谐振腔与先前测量的谐振腔相比,只有 Ls 不同,我们假设这两个谐振腔都在强耦合状态下工作,且它们的 αr 和 αs 相等,而 αc 不同。这就增加了两个方程和一个额外的未知变量。将直波导长度分别为 100 µm 和 500 µm 的谐振腔对应的参数分别标记为 I 和 II,现在的方程系统是:

通过求解方程,我们计算了 αcI、αcII、αr 和 αs 的区间值,并使用 90% 的置信区间,然后使用类似于方程(4)的一种指数方程计算出相应的损耗值:lcI = 24.23 ± 7.70 dB/m,lcII = 22.02 ± 4.83 dB/m,lr = 11.37 ± 3.37 dB/m,ls = 0.37 ± 1.74 dB/m。这表明,TE 模式在直波导中的传播损耗很可能小于 2 dB/m,并且有潜力低于 1 dB/m。
结论与展望
在这项工作中,研究了使用干法刻蚀制造 LNOI 波导的过程。重点关注低损耗的光滑侧壁,发现了一种基于 ICP-RIE 干法刻蚀方法的合适工艺。我们使用了 FEP 171,这种光刻胶相比其他光刻胶具有较小的剂量值,是大规模生产的良好候选材料。我们优化了制造工艺,避免了残留物和再沉积层,达到了高质量的结构。我们对制造的环形谐振腔进行的测量表明,TE 模式的整体传播损耗约为 5 dB/m,TM 模式的传播损耗约为 8 dB/m,处于文献中报告的最佳损耗范围内。进一步分析表明,谐振腔直波导部分的传播损耗较小,约为 2 dB/m。
1Abbe Center of Photonics, Friedrich Schiller University, Albert-Einstein-Str. 6, 07745 Jena, Germany
2Institute of Applied Physics, Friedrich Schiller University, Albert-Einstein-Str. 15, 07745 Jena, Germany
3now at Genius Electronic Optical, Keya E Rd, Daya District, Taichung City 428, Taiwan
4Fraunhofer Institute for Applied Optics and Precision Engineering IOF, Albert-Einstein-Str. 7, 07745 Jena, Germany
5Department of Applied Sciences and Mechatronics, Hochschule München, Lothstr. 34, 80335 Munich,Germany
