上海奥麦达微电子有限公司

专业高效
微纳加工公司

超透镜+光谱仪--超高灵敏度和分辨率的超表面光谱仪

唐峰 1,2†,吴敬军 1,3†,汤姆・阿尔布罗 - 欧文 4†,崔含笑 5†,陈富家 2,6,石雅琪 2,6,邹兰 7,陈军 1,郭旭涵 8,孙亦骏 2,6,罗吉奎 2,6,鞠炳峰 6,黄静 7,刘双利 7,李博 1,杨立明 3,埃里克・A・芒罗 4,郑万国 3,汉娜・J・乔伊斯 4,陈洪生 2,6,车鲁峰 2,董书荣 2,6,孙志培 9,塔菲克・哈桑 4*,叶欣 1,7*,杨逸豪 2,6*,杨宗银 2,6*

传统的光谱仪设计在分辨率和灵敏度之间必须进行权衡,尤其是在设备和探测器尺寸缩小的情况下。在此,我们报道了一种可小型化的光谱仪平台,在该平台上,随着分辨率的提高,探测器上的光通量反而会增加。这种平面的、与互补金属氧化物半导体(CMOS)兼容的平台基于超表面编码器构建,这些超表面编码器被设计为能够展现连续域中的光子束缚态,其工作范围可以通过简单地调整几何参数来改变或扩展。与传统设计相比,该系统可将光子收集效率提高多达两个数量级;我们通过超低强度荧光光谱学和天体光子光谱学展示了这种灵敏度优势。这项工作代表着光谱仪实用化方面向前迈出的一步,为制造出能保持高分辨率和高信噪比、且无需极长积分时间的集成化、芯片级设备提供了一条途径。

小编还想跟大家分享几个制造微纳结构的方式

a。电子束光刻+刻蚀(高精度,高成本,低产出,一次一个,性价比低)

适合几十nm-200nm的微纳结构的曝光,曝光一次,一个样品,想要多要需要重新加工 ,

b.duv紫外光刻+刻蚀(150-500)(高精度,低成本,高产出,一个一个晶圆,综合性价比高)

虽然duv性价比高,但是受限于中国的特殊国情,无法获得高精度的光刻机,因此利用duv加工微纳结构,其尺度,也基本保持在150-500nm范围内,缺少好的光刻机,来完成150nm以内微纳结构的制造

c.纳米压印+刻蚀

利用ebl做好的高精度的模板,来压印结构,同样可以实现百nm以内微纳结构的加工 ,在小线宽的加工具有一定的优势,同样可以获得多个样品

划重点:

我们为客户提供晶圆(硅晶圆,玻璃晶圆,SOI晶圆,GaAs,蓝宝石,碳化硅,金刚石),镀膜方式(PVD,cvd,Ald)和材料(Au Cu Ag Pt Al Cr Ti Ni Sio2 Tio2 Ti3O5,Ta2O5),光刻,高精度掩模版,外延,掺杂,电子束光刻等产品及加工服务(请找小编领取我们晶圆标品库存列表,为您的科学实验加速

EBL代工,母版制作,铬版销售,纳米压印,DUV光刻超结构服务,

请联系小编免费获取原文,也欢迎交流半导体行业,工艺,技术,市场发展!

微信图片_20241212093259

引言 光学光谱学在科学研究和工业领域的非接触式材料分析方面发挥着至关重要的作用(1 - 3),并且越来越多地通过原位或便携式平台来实现(4 - 6)。光学设备设计的一个核心目标是最有效地利用可用光子,并借此从入射辐射中提取尽可能多的信息。在期望精确表征低强度光谱的情况下尤其如此,对于在不受控制的环境照明或周围环境光照下进行原位工作的小型化系统而言,这一点尤为重要;在此种情况下,系统的效率或灵敏度决定了其在给定时间范围内以令人满意的分辨率收集数据的能力(7)。然而,(小型化)光谱仪设计的一个主要限制在于设备的分辨率和灵敏度之间存在固有的权衡关系。对于基于传统策略(例如,那些使用光栅介导色散或滤光片阵列的策略)的平台而言,更高的分辨率通常是以牺牲入射到探测器上的透射光强度为代价的,这会导致信噪比(SNRs)降低以及积分时间变长(8,9)。鉴于对于给定的传感区域,设备的效率(E)是恒定的,这种限制可以通过分辨率 - 光度乘积(8),即E = RL(其中R为分辨率,L为光度,也就是从光源到探测器的光通量)来描述。目前,突破这一限制最可行的办法是使用制冷的高灵敏度探测器(10),但对于许多原位或便携式设备来说,这是一个不切实际的解决方案。在此,我们报道了一种基于介电超表面编码器的微型光谱仪平台,该平台通过利用连续域中的光子准束缚态(qBICs)克服了上述限制(11)。这些编码器与一种计算重建算法相结合(4,12 - 14),构建出了一个探测器通量随分辨率提高而增加的平台,提供了一个效率显著更高的系统,能够同时实现高灵敏度和高性能。通过对细菌样本进行激发强度分辨荧光光谱分析以及在不同能见度条件下进行望远镜行星光谱分析,我们展示了该系统在超低辐照下能够进行灵敏分析的优势,而且整个系统还具有高度小型化的特点。这些微型光谱仪可为芯片实验室、无人机或卫星用于检测微弱信号的应用(如痕量化学分析、纳米级生物医学传感(7)或天体光子学(15))带来显著的进步。此外,该平台具有平面的、与互补金属氧化物半导体(CMOS)兼容的特性,仅需单个光刻图案化步骤,这将便于在CMOS成像传感器上直接制造设备阵列。这有望为制造不需要任何复杂光学元件或活动部件的高灵敏度快照光谱成像相机提供一种途径。

微信图片_20241212093302

图1. 基于连续域中束缚态(BIC)启发的光谱仪设计的带阻策略。(A和B)在设计基于滤光片阵列的光谱仪时,带通和带阻策略的对比。(C)模拟的带通和准连续域中束缚态(qBIC)带阻特性。(D)在宽带光(500至600纳米)照射下,透过具有不同透射半峰全宽(FWHM)值的模拟以及商用的基于光栅和滤光片的系统时,光通量随透射特性半峰全宽的变化情况。

结果 带阻策略 图1A中的示意图展示了带通和带阻策略在灵敏度方面的对比情况。带阻系统能够传输相同部分的光谱信息,同时损失的光子更少。图1B展示了我们基于准连续域中光子束缚态(qBIC)的带阻阵列光谱仪与传统带通光栅或滤光片阵列系统在工作原理上的差异。在传统系统中,每个探测器读取来自光栅或窄带通滤光片的单一波长成分的光。滤光片的数量及其特征半峰全宽(FWHM)决定了此类系统能够达到的有效分辨率。直观地讲,鉴于带通透射曲线的特性(即目标波长成分之外的光会被阻挡),更高的分辨率(每个滤光片的半峰全宽更窄)必然会导致通量和灵敏度降低。而准连续域中光子束缚态(qBIC)滤光片传输的情况与之相反,它会反射一小段波长范围的光。准连续域中光子束缚态(qBIC)超表面的特征透射光谱包含一个坍缩的法诺(Fano)特征,类似于“带阻”曲线(16,17)。我们将一系列不同的准连续域中光子束缚态(qBIC)超表面集成到互补金属氧化物半导体(CMOS)探测器阵列上,以此打造出一个计算光谱仪设备,在该设备中,波长成分并非直接被读取,而是利用准连续域中光子束缚态(qBIC)将光谱信息编码到其下方传感器的电子响应中。我们开发了一种算法,通过求解这些带阻编码器所带来的逆问题来重构入射光的光谱。关键的是,我们发现基于准连续域中光子束缚态(qBIC)的系统中的光通量不仅比宽带光的带通系统的光通量至少高出一个数量级,而且其光强还与光谱特征的分辨率或半峰全宽(FWHM)成正比(见S1部分),而不是像图1的C和D中所示的那样成反比。这种基于准连续域中光子束缚态(qBIC)的方案为制造高灵敏度且高分辨率的微型光谱仪提供了一种途径。

微信图片_20241212093305

图2. 具有与偏振无关的准连续域中光子束缚态(qBIC)的像素化超表面。(A) 所设计的双原子超表面示意图,该超表面由圆柱状纳米孔构成,这些纳米孔排列成正方晶格,并蚀刻到厚度H = 92纳米的二氧化钛(TiO₂)薄板中。以间距P排列的晶胞(左侧)由具有两种不同半径(r₀和r₁)的对角排列的孔组成。(B) 当Δr = r₀ - r₁ = 0纳米时,这种超表面的能带结构和场分布情况。中间面板展示了双重简并连续域中光子束缚态(BIC)附近能带结构的放大区域。右侧面板展示了双重连续域中光子束缚态1(D - BIC1)的场分布情况。(C) 当Δr = 10纳米时,接近双重准连续域中光子束缚态(D - qBIC)处的能带结构,以及双重准连续域中光子束缚态1(D - qBIC1)相应的场分布情况。(D) 制作完成的基于准连续域中光子束缚态(qBIC)的1×5超表面滤光片阵列的扫描电子显微镜(SEM)图像,其中Δr分别为28、38、46、52和58纳米。(E) 在不同Δr值下测量得到的透射光谱。(F) 从模拟及实测(E)透射光谱中提取出的双重准连续域中光子束缚态1(D - qBIC1)的品质因数(Q因子)。(G) 在0°和90°偏振情况下测量得到的透射光谱,展示了与偏振无关的响应特性。(H) 针对100个具有不同晶胞间距P的滤光片模拟得到的超表面透射光谱。在本图的所有其他展示示例中,P = 338纳米。

连续域中的束缚态 我们首先进行模拟并通过实验展示了作为我们平台基础的准连续域中光子束缚态(qBIC)编码器的物理原理。连续域中的束缚态(BICs)是在辐射连续域中具有无限长寿命的局域态(11);它们通常以准束缚态(18)的形式呈现,能够与周围环境发生耦合,且光与物质的相互作用显著增强。它们已在一系列应用中展现出潜力,例如低阈值微纳激光器(19)、高灵敏度生物传感器(16,17)以及超快涡旋光束发生器(20),不过尚未应用于光谱学领域。图2A展示了为本项工作所设计的介电准连续域中光子束缚态(qBIC)超表面的示意图,它由排列成正方晶格的圆柱状纳米孔阵列构成。该超表面的每个双原子晶胞包含两个半径分别为\(r_0\)和\(r_1\)的纳米孔。晶胞以间距\(P\)排列。对于我们的设备而言,关键在于我们将展示可以通过改变\(P\)来调节超表面带阻透射特性的中心波长,同时可以调节\(\Delta r = r_0 - r_1\)来改变透射特性的半峰全宽(FWHM)。这些纳米孔被蚀刻到沉积在石英上、厚度\(H = 92\)纳米的二氧化钛(\(TiO_2\))薄膜中。在此,二氧化钛(\(TiO_2\))在保持与石英衬底有足够折射率反差的同时,具有较低的吸收性(见“材料与方法”部分中的“设备制造”章节)。当\(r_0 = r_1 = 30\)纳米时,由于能带折叠机制以及超表面的\(C_{4v}\)对称性(21,22),模拟结果显示该超表面在\(\Gamma\)点具有双重简并的连续域中的束缚态(D - BICs),它们可分解为两个相互旋转\(90^{\circ}\)的正交偶极子状模式(见图2A)。在我们设计的超表面中,存在两对D - BICs:分别是频率为\(513.25\)太赫兹(THz)的类横电(TE)模式(D - BIC1)以及频率为\(579.19\)太赫兹(THz)的类横磁(TM)模式(D - BIC2)。它们具有相似的物理特性和起源,所以为简便起见,我们在此重点分析D - BIC1(见“材料与方法”部分中的“连续域中束缚态(BIC)的数值分析”章节以及S2章节)。我们改变\(r_0\)使得\(\Delta r\)不为零;这种几何微扰破坏了原有的平移对称性,但保留了超表面的\(C_{4v}\)对称性。通过这种方式,D - BICs退化为与辐射连续域有轻微耦合的双重简并准连续域中光子束缚态(D - qBICs)(见图2C),并且它们具有有限但较大的品质因数(Q因子)(见“材料与方法”部分中的“连续域中束缚态(BIC)的数值分析”章节)。

微信图片_20241212093307

图3. 基于准连续域中光子束缚态(qBIC)超表面的微型光谱仪。(A) 该光谱仪的示意图,其特点是在互补金属氧化物半导体(CMOS)成像传感器上方集成了一个单独的10×10准连续域中光子束缚态(qBIC)带阻滤光片阵列。(B) 所制造的超表面滤光片阵列的扫描电子显微镜(SEM)图像。(C) 这100个滤光片的带阻透射曲线\(t_i(\lambda)\)。(D) 可见光范围内一系列单色光谱线(黑色虚线)的实测、重构光谱。(E) 两条窄光谱线的实测、重构光谱,展示了分辨间隔小至1.7纳米的不同单色光谱特征的能力。(F) 一个宽带光源的实测、重构光谱,与使用传统光谱仪测量的同一入射信号相对比。(a.u.表示任意单位)。

为了通过实验验证这些双重准连续域中光子束缚态(D - qBICs)的特性,我们制作了五个超表面,其\(\Delta r\)分别为28、38、46、52和58纳米。超表面透射率与几何微扰量\(\Delta r\)之间关系的完整模拟情况展示在S3部分。图2D展示了超表面薄板阵列的扫描电子显微镜(SEM)图像。从数值模拟以及实验测量(图2E)的透射光谱中得出的品质因数(Q因子)值展示在图2F中。Q因子与\(\Delta r\)之间呈二次方反比关系,并且当\(\Delta r = 0\)时,Q因子趋于无穷大,这在准连续域中光子束缚态(qBICs)中是常见的情况(18)。实验结果与模拟结果吻合良好。对于\(\Delta r \leq 40\)纳米的情况,实际Q因子相对于模拟结果有所降低,这可归因于由于单色仪分辨率和信噪比所施加的测量限制,导致透射光谱的线宽变宽。此外,由于保留了\(C_{4v}\)对称性,这些双重准连续域中光子束缚态(D - qBICs)被设计为对不同偏振态的光具有同等的灵敏度(图2G)(21,22),因此不需要偏振片来对输入光进行滤波,这进一步增加了到达探测器阵列的光子通量。关键的是,我们通过模拟展示了双重准连续域中光子束缚态(D - qBICs)的透射特性随\(P\)的变化情况(在保持\(\Delta r\)固定的情况下;图2H),证实了通过改变\(P\)值,双重准连续域中光子束缚态(D - qBICs)能够作为可调节的窄带阻滤光片发挥作用,使其能够用于可见光范围内的光谱传感。

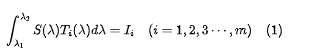
准连续域中光子束缚态(qBIC)光谱仪 接下来,我们展示一款基于准连续域中光子束缚态(qBIC)超表面滤光片的高性能微型光谱仪。我们的光谱仪并非直接读出光谱,而是使用安装在互补金属氧化物半导体(CMOS)图像传感器上的准连续域中光子束缚态(qBIC)超表面阵列(图3A),先对光信号进行采样,然后通过计算重构光谱。从数学角度来讲,入射到每个探测器上的光强\(I_i\)是入射光谱\(S(\lambda)\)与透射曲线\(T_i(\lambda)\)的卷积,由一组线性方程组表示(4,12):

微信图片_20241212093309

其中\(m\)为探测器数量。通过利用重构算法(见“材料与方法”部分中的“重构算法”章节)求解所有探测器对应的方程组,该算法还能尽量减小测量噪声的影响,我们就能够得到\(S(\lambda)\)的近似值。该设备由一个10×10的超表面滤光片阵列构成(图3B),在这100个滤光片中,\(P\)值在285到384纳米之间呈线性变化,相应超表面滤光片的工作波长范围为480到610纳米。需要注意的是,只需通过对\(P\)和\(\Delta r\)进行调整,工作波长范围就可以扩展到其他光谱区域。超表面滤光片阵列被设计为将\(\Delta r\)固定在46纳米。这是在降低\(\Delta r\)以实现更高分辨率,同时又受限于透射函数校准系统以及CMOS传感器阵列的噪声水平之间做出的一种折衷选择,正如S2部分所讨论的那样。如图3C所示,超表面滤光片阵列的透射曲线\(t_i(\lambda)\)是在定制的微区紫外 - 可见分光光度计下测量得到的,并且与图2H中的模拟响应吻合良好。我们注意到,在较低波长处出现的次级带阻特征并不会干扰光谱仪的功能,因为在系统校准过程中已经考虑到了这一情况。关于整个系统的光谱响应曲线\(T_i(\lambda)\)(它是滤光片透射曲线\(t_i(\lambda)\)与互补金属氧化物半导体(CMOS)像素的光响应曲线\(R_i(\lambda)\)的组合)的测量情况,在补充材料中有所讨论(见“材料与方法”部分中的“校准”章节)。在工作时,当受到任意光谱为\(S(\lambda)\)的光信号照射时,CMOS图像传感器会测量通过超表面滤光片阵列传输的一组光强度\(I_i\)。如前文方程(1)所述,在每个探测器处测得的\(I_i\)代表了一组线性方程,即入射光谱\(S(\lambda)\)与\(T_i(\lambda)\)在波长范围内的积分;通过求解该数据集所带来的逆问题,就可以重构出\(S(\lambda)\)。实际上,这样的计算是不适定的,并且极易受到实验噪声的影响;因此,我们开发了一种算法来求解由编码器生成的这组线性方程,其详细内容在“材料与方法”部分的“重构算法”章节中有所讨论。为了证明该设备的准确性,我们测试了微型光谱仪在分辨480至610纳米范围内一系列窄光谱线时的重构保真度。光谱仪得出的结果与各探测谱线的位置相匹配,平均精度为±0.11纳米,平均信噪比(SNR)约为300,如图3D所示。光谱仪的动态范围约为500,其计算方式为探测器饱和水平与最低可检测强度之比,我们将最低可检测强度定义为信号刚好与噪声基底难以区分时入射到探测器上的功率密度。为了评估该设备的光谱分辨率,我们采用瑞利判据:当第一条谱线的峰值最大值位于第二条谱线的波谷处时,两条光谱线刚好能够被分辨出来。如图3E所示,该设备能够实现1.7纳米的光谱分辨率;这样的分辨率与大多数微型光谱仪相当(4,5)[作为参考,一款成熟产品滨松C12666MA微型光谱仪的分辨率为12纳米(23)]。我们的超表面光谱仪还能够在其工作波长范围内准确地重构连续的宽带光谱,如图3F所示。在笔记本电脑上,每张光谱的典型重构时间仅为0.2秒,这使得它很容易应用于便携式设备中。

超低辐照下的性能 如前文所述,这种基于准连续域中光子束缚态(qBIC)的系统的根本优势在于,由于其光谱响应的特性,灵敏度实际上应随分辨率的提高而增加,而非呈现分辨率与光度之间的权衡关系。如图4A所示,为了研究我们基于准连续域中光子束缚态(qBIC)的平台中分辨率与灵敏度之间的关系,我们制作了五台具有不同带阻线宽的超表面光谱仪,并针对分辨率以及最小可检测辐照度(作为灵敏度的衡量指标)对它们的性能进行了研究。这些光谱仪包含16个超表面滤光片,其\(\Delta r\)分别为28、38、46、52和58纳米,对应的半峰全宽(FWHM)分别为2.8、4.2、5.6、6.5和7.0纳米。为了进行对照比较,为使这五台光谱仪在相同光谱范围内工作,每个阵列元素的晶格常数\(P\)分别覆盖336至351纳米、333至348纳米、330至345纳米、326至341纳米以及321至336纳米,步长为1纳米。图4A所示的这些结果首先表明(在滤光片数量恒定的情况下),更小的线宽确实会带来更高的光谱分辨率,这证实了我们在S1部分的模拟工作。我们注意到,此处实现的1.7纳米的最大分辨率受到所使用的滤光片阵列元素数量(在此情况下为16个滤光片元素)的限制;该设备的最终分辨率极限可能会更低。更为关键的是,最小可检测辐照度与所测得的分辨率呈正相关变化。这支持了我们的论断,即这些系统不受分辨率 - 光度权衡关系的限制,并且能够通过设计同时实现高灵敏度和光谱分辨率,这与等效的窄带滤光片阵列系统不同。通过与等效的重构设备进行直接对比,我们进一步证实了我们的平台相对于窄带系统在通过更好地利用到达探测器的可用通量来提高灵敏度方面的优势(见S4部分)。该平台的关键优势在于能够提供高灵敏度,以便在高度小型化的系统中最大限度地利用有限的可用光。我们首先通过对细菌样本进行荧光测量来展示准连续域中光子束缚态(qBIC)超表面光谱仪灵敏度在实际应用中的适用性(见“材料与方法”部分中的“光谱测量”章节)。如图4B所示,样本在三种不同的光照强度下进行表征。准连续域中光子束缚态(qBIC)超表面光谱仪与传统微型光谱仪所测光谱的对比情况如图4C所示。随着激发功率的降低,传统光谱仪所测光谱会被噪声淹没,而准连续域中光子束缚态(qBIC)超表面光谱仪仍能够重构出荧光光谱。实现低光激发荧光测量有助于在测量生物样本时避免样本受损或发生光漂白现象。除此之外,如图4D所示,我们利用该平台通过对金星进行望远镜观测来收集夜空的光谱数据(见“材料与方法”部分中的“光谱测量”章节)。我们发现,即使在晴朗的条件下,传统设备在积分时间为1秒时测量结果就会受噪声主导,而我们的系统仅需低一个数量级的积分时间就能生成清晰的数据(图4E)。我们注意到,荧光测量和行星观测中的辐照度无法直接用功率计测量;我们通过准连续域中光子束缚态(qBIC)光谱仪的线性功率响应来估算所给出的值(见S5部分)。此外,当天气多云致使传统系统无法进行测量时,我们的设备仍能够收集有用的光谱数据。我们在此指出,通过调节准连续域中光子束缚态(qBIC)阵列的几何参数,其工作范围可以很容易地扩展至红外波段(见S6部分),这与许多天体光子学应用更为相关。最后,在图4F中,我们通过测量探测器上的光通量,对比了准连续域中光子束缚态(qBIC)系统与光栅和滤光片策略在不同带阻/带通半峰全宽(FWHM)情况下的情况,从实验上展示了准连续域中光子束缚态(qBIC)系统在灵敏度方面的优势;准连续域中光子束缚态(qBIC)系统中的光通量比传统策略高出一到两个数量级。

微信图片_20241212093311

图4. 用于低光照水平检测的超表面光谱仪的演示。(A) 五台基于准连续域中光子束缚态(qBIC)且\(\Delta r\)值不同的光谱仪的分辨率和最低可检测强度情况,每台光谱仪均由16个超表面滤光片单元组成,展示了分辨率与灵敏度之间的正相关关系。插图展示了这五台不同光谱仪的扫描电子显微镜(SEM)图像以及一个滤光片单元的放大图(右下角)。(B) 不同激发强度下细菌的荧光照片以及 (C) 分别由基于准连续域中光子束缚态(qBIC)的超表面光谱仪(红色)和传统微型光谱仪(黑色)测量得到的相应光谱。(D) 夜空的彩色照片,放大的插图展示了晴朗和多云条件下的金星。(E) 对应于 (D) 中晴朗(顶部)和多云(底部)条件下金星的可见光范围光谱,由我们的基于连续域中束缚态(BIC)的光谱仪与传统微型光谱仪测量所得。对于 (C) 和 (E) 情况而言,传统微型光谱仪型号为阿瓦斯佩克 - 超小型2048CL(Avaspec - uls2048cl)(600线/毫米光栅,25微米狭缝,每毫秒积分时间375000计数/微瓦,代表高端商用微型/微型光谱仪)。(F) 一些最先进的(重构式和传统的)小型化光谱仪(12,14,27 - 42)的光通量效率(表示为到达探测器的最终强度占光谱色散/选择前总光强度的百分比)和分辨率。

讨论 我们已经证明,通过设计带有准连续域中光子束缚态(qBIC)的超表面,有可能打造出微型光谱仪新范式的基础构件,此类微型光谱仪不会像传统滤光片阵列系统那样受到相同的灵敏度限制。借助计算光谱重构算法,这些设备为打造一种能以高度小型化的平面形式保持高分辨率和高灵敏度的平台提供了一种途径。事实可能会证明,这些设备对于诸如拉曼测量、天文光谱仪以及纳米级生物医学光谱学等众多低光照水平应用来说是理想之选。

材料与方法 设备制造 我们超表面的制造主要包含两个步骤:二氧化钛(\(TiO_2\))层的沉积以及在\(TiO_2\)薄膜上制造纳米孔。通过电子束蒸发的方式将\(TiO_2\)薄膜沉积到石英衬底上。在进行电子束蒸发之前,先将衬底分别在丙酮、甲醇和去离子水中依次超声清洗,每次清洗20分钟,电子束蒸发时的基础真空度为\(2×10^{-7}\)托,沉积速率为\(0.8\)埃/秒。在\(TiO_2\)薄膜沉积完成后,利用椭圆偏振光谱仪对其吸收系数\(k\)和折射率\(n\)进行表征。如图S7所示,在480至610纳米的波长范围内,吸收系数趋近于零,而折射率大约为2.3。如图S8所总结的那样,采用电子束光刻(EBL)和离子束蚀刻(IBE)工艺在薄膜上制造纳米孔,以此确保高精度。采用了一个三阶段的掩模工艺,利用电子束光刻图案化的光刻胶来介导对铬(\(Cr\)):金(\(Au\))层的蚀刻,而该铬(\(Cr\)):金(\(Au\))层又被用于蚀刻非晶硅(\(a - Si\))薄膜,此非晶硅薄膜作为蚀刻\(TiO_2\)的最终掩模。首先通过等离子体增强化学气相沉积(SYSTEM 100)在\(TiO_2\)薄膜上沉积一层200纳米厚的非晶硅(\(a - Si\))层。接着,通过电子束蒸发(COOKE)沉积一层5纳米厚的铬(\(Cr\))黏附层以及一层75纳米厚的金(\(Au\))薄膜。然后将一层300纳米厚的光刻胶(ARP)薄膜旋涂到芯片上,并在85°C下烘烤90秒。利用电子束写入器(MA6,加速电压为30千伏)将设计好的纳米孔晶格图案化到光刻胶(ARP)上,随后分别在REX3038溶液以及25°C的去离子水中显影60秒和30秒。接着,使用离子束蚀刻(IBE)对铬(\(Cr\)):金(\(Au\))掩模层进行蚀刻,然后通过电感耦合等离子体(ICP)工艺蚀刻非晶硅(\(a - Si\))层。之后,分别通过氧等离子体和湿法化学蚀刻去除光刻胶(ARP)和铬(\(Cr\)):金(\(Au\))掩模层。最后,通过离子束蚀刻(IBE)借助硅掩模将纳米孔图案化到\(TiO_2\)层上,再通过另一次电感耦合等离子体(ICP)蚀刻去除掩模。之所以选择使用三层掩模(光刻胶ARP、铬金合金Cr:Au以及非晶硅a - Si),是因为用于蚀刻二氧化钛(\(TiO_2\))的气体很容易蚀刻光刻胶,所以需要一个硬掩模来对\(TiO_2\)进行图案化。选择非晶硅作为硬掩模材料是为了避免金属残留物对连续域中束缚态(BIC)层的光学性质产生任何影响。然而,为了获得具有精确界定纳米孔尺寸的非晶硅掩模,用于对其进行图案化的掩模必须非常薄(小于100纳米);如此厚度的光刻胶掩模在非晶硅蚀刻过程中会过快地被去除,所以改用金(\(Au\))掩模,而金掩模本身可以首先通过电子束光刻(EBL)光刻胶来进行图案化。

连续域中束缚态(BIC)的数值分析

所研究的超表面在感兴趣的频率范围内能够支持两组双重准连续域中光子束缚态(D - qBICs)。双重准连续域中光子束缚态1(D - qBIC1)呈类横电偏振,双重准连续域中光子束缚态2(D - qBIC2)呈类横磁偏振,它们在中间平面的电场方向分别是垂直于平面(D - qBIC1)和平行于平面(D - qBIC2)。在正文中,正如在图2中所讨论的那样,我们主要聚焦于双重准连续域中光子束缚态1(D - qBIC1)。在此,我们展示了双重准连续域中光子束缚态2(D - qBIC2)的磁场分布以及它们的品质因数(Q因子)对\(\Delta r\)的依赖关系,如图S9所示。与双重准连续域中光子束缚态1(D - qBIC1)相比,在相同的\(\Delta r\)情况下,双重准连续域中光子束缚态2(D - qBIC2)具有大得多的Q因子以及窄得多的半峰全宽(FWHM)。因此,在光谱仪的工作过程中,到目前为止双重准连续域中光子束缚态1(D - qBIC1)的特性是起主导作用的因素(见S2部分)。双重连续域中光子束缚态1(D - BIC1)和双重准连续域中光子束缚态1(D - qBIC1)在\(yoz\)平面的模拟电场分布展示在图S12中。可以看到,双重连续域中光子束缚态1(D - BIC1)的场沿法线方向在超表面附近被强烈束缚,没有任何辐射逸出,这意味着其品质因数(Q因子)为无穷大。然而,对于双重准连续域中光子束缚态1(D - qBIC1),我们可以观察到有辐射从超表面主体向外逸出,尽管场仍然沿超表面的法线方向局域化,这使得准连续域中光子束缚态(qBIC)成为突破分辨率 - 光度限制的光学光谱仪的理想选择。

重构算法 光谱仪传感器的光电响应可以用积分方程(方程1)的形式来表示。对于在有界域\(\Omega := [\lambda_1, \lambda_2]\)上连续的任意一组响应函数\(T_i(\lambda)\),重构问题本质上是不适定的,即响应信号\(I_i\)中出现的微小扰动都可能会使重构出的光谱产生极大的变化(24)。从物理角度来看,这种不适定性反映了在编码过程(方程1)中不可避免的信息损失,这使得光谱\(S(\lambda)\)无法直接从测量值\(I_i\)中获取。如果入射光谱\(S(\lambda)\)能够通过一个函数\(\hat{S}(\lambda)\)很好地近似表示,且\(\hat{S}(\lambda)\)位于由基函数\(\varphi_i\)(\(j = 1, 2, \cdots, n\))所张成的函数空间内,那么我们可以通过展开将该问题离散化。

微信图片_20241212093314

其中系数向量。在我们的情况中,我们使用分段多项式对光谱进行离散化,并通过高斯求积法来近似积分(25)。与我们先前研究(13)中所使用的高斯基函数相比,分段多项式更具表现力,并且无需手动选择基函数参数(即高斯基函数的半峰全宽),而使用高斯求积法只要被积函数是固定次数的多项式,就能确保数值积分的精确性(25)。

然后,问题(方程 1)可以转化为如下形式的有限维最小二乘问题

微信图片_20241212093316

其中是光电响应向量,是系数矩阵,其每个元素由有界域上响应函数与基函数的内积确定。

为了使问题(方程 3)正则化,我们对施加了正则化以及非负约束

微信图片_20241212093318

其中是一个一阶离散梯度矩阵,它对重构解的平滑性起到约束作用。通过利用的非负约束条件,最小化问题(方程 4)可扩展为一个带约束的二次规划问题。

微信图片_20241212093320

其中这两个正则化项有着不同的用途。范数会促进稀疏性,这确保了对窄光谱进行高分辨率的重构;而对梯度施加的范数正则化会增加重构的平滑性,因而对宽光谱更为有效。稀疏性和平滑性的相对重要性分别由正则化参数来衡量,这两个参数是通过折交叉验证(26)来选取的。

校准 为了校准所提出的光谱仪的光谱特性,搭建了一个自制的校准装置。由于连续域中束缚态(BICs)的半峰全宽(FWHM)较窄,有必要找到一个带宽更窄的单色光源用于校准,该光源要能覆盖我们设备的工作范围,并且其波长可在440至620纳米的区域内进行调节。如图S14A所示,所使用的光源是一盏氙灯(Microsolar 300),它能提供一个白色光源;然后使用一台单色仪(CME - Mo301)对光进行空间色散,通过调节光栅的位置来选择所需波长的单色光。在此,还使用了一个带通滤光片来去除单色仪中光栅产生的谐波。输出光的半峰全宽为0.5纳米。校准光通过一个50:50的分束器进行分光,两束光分别导向光谱仪芯片和一台商用光谱仪。商用光谱仪用于监测校准光的中心波长和功率。光谱仪芯片是通过将超表面对准并附着在互补金属氧化物半导体(CMOS)像素阵列的传感器表面上实现的。该CMOS芯片来自英迪戈公司(型号:S400MRU),像素尺寸为6.5微米×6.5微米。商用光谱仪是阿瓦斯佩克 - 超小型2048CL(Avaspec - uls2048cl),其分辨率为0.5纳米。利用该校准装置,对超光谱仪的光谱响应进行了表征,如图S14B所示。从图中可以看出,带阻峰与纳米孔晶格的\(P\)值(即间距)呈线性相关关系。

光谱测量 为验证光谱仪芯片的高通量能力,对细菌的微弱荧光光谱进行了测量。本实验的测试装置如图S17所示。发光二极管(LED)光源发出宽带光,使用420至485纳米的带通滤光片从中选取用于荧光激发的光。分束器(BS1)用于将光通过4倍显微镜物镜反射到荧光样本上。同一物镜收集荧光以及反射的激发光。515纳米长通滤光片用于去除残留的激发光,仅留下荧光信号。荧光被50:50的分束器(BS2)均等地分光。一束光入射到超表面光谱仪上,另一束光则进入商用光谱仪。进行相应调整使得商用光谱仪和超表面光谱仪的孔径共轭,因此,两台光谱仪所测量的荧光来自荧光样本上的同一点。金星测量装置如图S18(A和B)所示。使用星特朗公司(Celestron Co. Ltd.)的CGEM - II - 1100HD天文望远镜对金星进行拍摄。该望远镜采用施密特 - 卡塞格伦结构,孔径为11英寸,焦距为2800毫米。使用一个5倍放大率的透镜将望远镜捕获的光聚焦到基于连续域中束缚态(BIC)的光谱仪上。在基于连续域中束缚态(BIC)的光谱仪前方放置一个50:50的分束器,将一半的光分到基于光栅的传统光谱仪中。基于连续域中束缚态(BIC)的光谱仪和传统光谱仪具有相同尺寸的孔径。在成像透镜和分束器之间,安装了索雷博(Thorlabs)公司的412至569纳米带通滤光片FGB18以及永兴传感(Yongxing - Sensing)公司的550纳米长通滤光片CB550,以便将金星光过滤到基于连续域中束缚态(BIC)的光谱仪的工作波长范围内。此外,还使用了一个600纳米低通滤光片来减少背景红外光带来的噪声。清晰的金星图像拍摄于大约2100(此处可能是某个时间点,原内容未明确单位),多云条件下的图像拍摄于大约2140(同样可能是某个时间点,原内容未明确单位)。


关于我们:

OMeda成立于2021年,由3名在微纳加工行业拥有超过7年经验的工艺,项目人员创立。目前拥有员工15人,在微纳加工(涂层、光刻、蚀刻、双光子印刷、键合)等领域拥有丰富的经验。 同时,我们支持4/6/8英寸晶圆的纳米加工。 部分设备和工艺支持12英寸晶圆工艺。针对MEMS传感器、柔性传感器、微流控、微纳光学等行业。

中国(上海)自由贸易试验区临港新片区业盛路188号450室 电话:+86 188 233 40140 邮箱:jing.chen@omeda-optics.com

来源:OMeda

关于我们

OMeda(上海奥麦达微)成立于2021年,由3名在微纳加工行业拥有超过7年经验的工艺,项目人员创立。在微纳加工(镀膜、光刻、蚀刻、双光子打印、键合,键合)等工艺拥有丰富的经验。 同时,我们支持4/6/8英寸晶圆的纳米加工。部分设备和工艺支持12英寸晶圆工艺。针对MEMS传感器、柔性传感器、微流控、微纳光学,激光器,光子集成电路,Micro LED,功率器件等行业。

姓名:*
邮件:*
公司名称:
电话:*
您的需求: