上海奥麦达微电子有限公司

专业高效
微纳加工公司

薄膜铌酸锂+光频梳--使用铌酸锂纳米光子学波导的可见双梳光谱技术,覆盖超过100 THz的频段

#薄膜铌酸锂  #可见光光频梳 
摘要
可见光和紫外光领域中的宽带和高分辨率光谱技术对多个领域的进展至关重要,包括基础量子物理学、生物学、大气科学和天文学。传统上,这些测量是通过使用光栅或傅里叶变换光谱仪以及非相干光源进行的。利用相干光源可以实现强大的频率梳技术,但它受到从相对窄带且光谱上远离的激光源有效生成宽光谱带宽的技术复杂性的限制。目前的可见双梳光谱仪需要在光学带宽、实验简便性和采集速度之间做出隐性妥协。在这项工作中,我们提出了一种简单且高效的双梳光谱仪,该光谱仪使用薄膜铌酸锂(TFLN)纳米光子学波导将稳健的Er:fiber频率梳从近红外转换到紫外和可见光。通过实时信号处理,我们在可见光中获取了近120 THz的同时带宽,且具有100 MHz的光谱分辨率的相干平均双梳光谱。凭借这些能力,我们测量了分子碘(I2)的宽带吸收光谱,展示了迄今为止双梳光谱仪在可见光谱段中最广泛的光谱覆盖。对NO2、原子铷和原子钠的额外测量进一步说明了可实现的光谱带宽、分辨率和固有频率精度的组合。我们的结果展示了低功耗频率梳、非线性纳米光子学和数字信号处理的强大集成,为在500 THz范围内的紫外-可见光和近红外光谱区域中进行高分辨率复杂吸收光谱映射提供了一种紧凑、高效且多用途的方法,适用于实验室之外的多个应用。
划重点--销售晶圆和加工
SOI晶圆:--220nm薄膜/ 3um厚膜-3umSIO2-675um

ALOOI晶圆;--氧化铝薄膜晶圆,键合工艺和镀膜工艺

TAOOI晶圆--氧化钽薄膜晶圆,镀膜工艺

SINOI晶圆--超低损耗氮化硅薄膜晶圆,210nm-300nm-400nm-800nm

SICOI晶圆;新型量子光学平台500nm-700nm-1um

8寸LTOI晶圆批量供应;铌酸锂的有力的竞争对手,薄膜钽酸锂晶300600

6寸X切Z切掺镁薄膜铌酸锂晶圆 ,厚膜 3um 5um 和 薄膜 100-600nm

8寸LNOI晶圆;8寸LNOI助力更大规模薄膜铌酸锂产品量产

LN/LT-SOI/Si/SIN  W2W&D2W异质集成

流片: 6寸 氮化硅 铌酸锂 硅光 超高性价比流片, 1个BLOCK的价格买一整片晶圆

划重点--全国产-超高性价比-6 寸硅光-氮化硅-铌酸锂流片白皮书

我们为客户提供晶圆(硅晶圆,玻璃晶圆,SOI晶圆,GaAs,蓝宝石,碳化硅(导电,非绝缘),Ga2O3,金刚石,GaN(外延片/衬底)),镀膜(PVD,cvd,Ald,PLD)和材料(Au Cu Ag Pt Al Cr Ti Ni Sio2 Tio2 Ti3O5,Ta2O5,ZrO2,TiN,ALN,ZnO,HfO2。。更多材料),键合(石英石英键合,蓝宝石蓝宝石键合)光刻,高精度掩模版,外延,掺杂,电子束光刻等产品及加工服务(请找小编领取我们晶圆标品库存列表,为您的科学实验加速。

请联系小编免费获取原文

640
文章名:Visible dual-comb spectroscopy across more than 100 THz with lithium niobate nanophotonic waveguides
作者:Carter Mashburn1,2Kristina F. Chang3,†, Michael J. Wahl1,†, Mathieu Walsh4, Daniel I. Herman1, Matthew Heyrich1,2, Tsung-Han Wu1, Nazanin Hoghooghi3, Ryoto Sekine5, Luis Ledezma5, Emily Jerris1, Alireza Marandi5, Jer´ ome Genest ˆ4, and Scott A. Diddams1,2,
单位:1.Electrical, Computer, and Energy Engineering, University of Colorado Boulder, Boulder, CO 80309, USA.
2.Department of Physics, University of Colorado Boulder, Boulder, CO 80309, USA.
3.Time and Frequency Division, National Institute of Standards and Technology, Boulder, CO 80305, USA.
4.Department of Electrical and Computer Engineering, Universite Laval, Qu ´ ebec, QC G1V 0A6, Canada. ´
5.Department of Electrical Engineering, California Institute of Technology, Pasadena, CA 91125.

紫外(UV)和可见光(VIS)光谱区域中的吸收光谱技术是映射原子、离子和分子的电子结构的普遍工具。相干地获取这些信息是实现重要应用的关键,例如光学钟和时间计量、物理化学和等离子体物理中的反应动力学测量、天文光谱仪标定和大气科学等。然而,紫外和可见光谱区域缺乏宽带(>100 THz)相干光源和高分辨率(<1 GHz)光谱仪器,限制了这些领域的进展。例如,同时解析和映射复杂分子光谱中成千上万的跃迁的绝对UV-VIS频率,对于推动基础物理化学的发展,超越Born-Oppenheimer近似具有重要意义。此外,相干宽带UV-VIS光源对于追踪复杂等离子体系统中的多物种动力学是必要的。最后,使用直接与绝对频率标准相关联的光源测量用于天文光谱仪标定的分子物种的吸收光谱,将影响系外行星研究以及寻找太阳系外宜居行星的工作。


利用相干光学频率梳的双梳光谱技术(DCS)提供了一种强大的光谱技术,能够在宽光学带宽范围内快速采集,探测原子和分子中窄线宽跃迁。目前,DCS主要应用于测量近红外(NIR)和中红外(MIR)中的转动-振动跃迁,这些领域中的频率梳技术更为成熟。将频率梳和DCS扩展到可见光和紫外光谱区域,用于映射电子跃迁仍然是一项挑战。该挑战的核心是以简单、低功率的方式生成具有足够光谱带宽的频率梳,以覆盖能够跨越数百太赫兹的整个吸收带。

640
图1. 双梳光谱实验设置
(a) 两个频率梳独立生成宽带UV-VIS光谱,通过薄膜铌酸锂纳米光子学波导进行双梳光谱测量。
(b) 带有啁啾极化的薄膜铌酸锂波导示意图。
(c) 生成的UV-可见光-近红外光谱及用于双梳光谱测量碘(黄色区域)的孤立区域。
面板(a)中的缩写总结:Osc: Er:fiber振荡器;Amp: Er:fiber放大器;HWP: 半波板;L: 镜头;TFLN: 薄膜铌酸锂;MO: 显微镜物镜;BS: 分束器;OF: 光学滤光片;PD: 光电探测器。

非线性光学在宽带UV-VIS频率梳的开发中起着至关重要的作用,因为目前没有适合用于本征频率梳生成的增益介质。因此,主要策略是通过在体材料、光纤和波导中进行级联非线性频率混合,将近红外(NIR)和中红外(MIR)频率梳上转换到紫外-可见光(UV-VIS)区域。尽管这些技术已经实现了接近100 THz的即时UV-VIS带宽,但相对较低的转换效率通常需要多瓦特平均功率的激光,并导致紫外-可见光频率梳生成的设备庞大、昂贵且复杂。

在本工作中,我们通过使用低功率1550 nm光纤激光器泵浦薄膜铌酸锂(TFLN)纳米光子学波导,解决了这一挑战,从而高效地驱动宽带(500 THz)UV-VIS-NIR频率梳的生成。纳米光子学所实现的亚微米模式约束,使得通过低芯片脉冲能量(约100 pJ)进行高效的非线性混合成为可能。此外,纳米光子学平台可以通过选择波导几何结构进行色散工程,并且在TFLN的情况下,可以通过准相位匹配与周期极化来进行光谱调谐。正如我们之前的工作所描述的,级联准相位匹配使得能够生成超宽带宽的频率梳,这是传统体非线性光学晶体和器件难以实现的。最终,激光功率需求的减少与基于芯片的级联谐波生成相结合,实现了UV-VIS生成的小型化、轻量化和低功率(SWaP)外形,使该光源成为便携式光学光谱学和未来集成传感平台的有前景的子系统。

我们通过在可见光区域测量分子碘(I2)中宽吸收的B-X跃迁,展示了TFLN器件在双梳光谱(DCS)中的能力,覆盖大约500 nm-600 nm的范围。在这一光谱范围内,我们的光谱仪在一次测量中以100 MHz的分辨率解析了成千上万的复杂吸收特征。我们测得的光谱跨越了近120 THz,这是迄今为止在可见光谱区域中最宽的DCS演示。此外,我们还分别在多个光谱谐波上对原子铷和钠的5S-5P和3S-3P跃迁进行了精确光谱测量。总的来说,该系统的结果和能力展示了一种强大的方法,能够在紧凑的封装中实现宽带、高分辨率的近红外、可见光和紫外光谱测量。

640 (1)

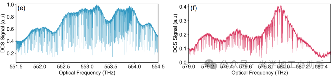
图2. 来自碘光谱学的双梳干涉图和光谱
(a) 时间平均干涉图。
(b) 相应的双梳光谱,包含f0基频。黑色曲线显示整个光谱,而彩色区域在(c)-(f)中进行了扩展。
(d)中的插图显示了一个单一的吸收特征及其100 MHz的点间距。


实验
DCS系统(图1(a))利用TFLN波导生成宽带UV-VIS-NIR频率梳,带宽超过500 THz,覆盖350-1000 nm的范围。将光谱转换到紫外-可见光波长的效率高达17%45,降低了芯片脉冲能量的要求至100 pJ级,因此我们可以使用基于紧凑且稳健的Er:fiber振荡器、工作频率接近100 MHz的简单前端激光器。类似的Er:fiber频率梳已被封装并用于各种光谱学和定时应用,超出了研究实验室的范围46–49。尽管我们在这里使用的是台面组件,但本工作中提出的基于芯片的UV-VIS生成和光谱技术的实验概念可以完全封装在紧凑的系统中,适用于各种环境。


两个频率梳通过偏移频率稳定并光学相位锁定到一个共同的窄线宽(<10 Hz)连续波(CW)激光器。它们被放大以产生300 mW的适度平均功率,脉冲持续时间大约为∼100 fs,中心波长接近1550 nm。这些NIR脉冲被耦合到自由空间中,并通过一个半波板后耦合到TFLN波导,使用非球面透镜进行耦合。估计的耦合损耗在每个波导面为10 dB,因此当用300 mW的功率泵浦时,有30 mW的功率被耦合到波导中。通过在输入面上优化宽带逆锥形结构的加入,可以显著降低输入耦合损耗至<0.5 dB50,并且在跨越数百太赫兹的范围内,低损耗的输出耦合仍然很少被探索。


宽带UV-VIS-NIR频率梳光通过显微镜物镜耦合到芯片外,提供大约1.2 mW的光功率,覆盖350-1000 nm的范围。随后,其中一个频率梳通过气体池,并与另一个频率梳在分束器上进行空间重叠。共同传播的频率梳通过三重光学滤波器,隔离出500 nm-600 nm的感兴趣区域:一个长通滤波器在450 nm附近切割,两个短通滤波器分别在650 nm和750 nm附近切割。接下来的双梳光谱检测在平衡硅光电探测器上进行,重复频率差约为∆fr=33 Hz。关于实验设置的更多技术细节可见于补充材料。

图3. 处理后的碘双梳光谱与碘光谱图的比较
(a) 测得的双梳光谱(绿色)和通过倒谱分析获得的推测背景(蓝色)。插图显示了扩展区域以便进行比较。507 THz附近的光谱伪影是f0基频。
(b) 基线校正后的透射光谱。
(c) 基线校正后的透射光谱与碘光谱图的比较51。碘光谱图已被反转、缩放并垂直平移以便于比较。
(d) (c)中的扩展区域,显示我们的测量结果与碘光谱图中吸收特征位置的一致性。

波导几何结构与光谱

TFLN波导的尺寸和几何结构如图1(b)所示。该设计在纵向上具有两个不同的部分:初始的3 mm未极化段,在该段中,输入脉冲通过χ(3)自相位调制进行光谱展宽,接着是一个3.6 mm的极化段,其极化周期呈啁啾,从12.5 µm线性减小到2.5 µm。在啁啾极化区域,准相位匹配使得通过级联的χ(2)效应生成驱动激光器的宽带二次、三次和四次谐波,分别对应于近红外、可见光和紫外光。在我们的双梳光谱系统中,两个TFLN波导在长度、包层和插入损耗上有所不同。为了清晰起见,我们只报告了其中一个波导几何结构的特性,另一个波导的附加细节可在补充材料中找到。关于波导的制造和其性能的更多细节,请参见文献45。


图1(c)展示了由TFLN波导生成的UV-VIS-NIR光谱,泵浦功率约为30 mW耦合到波导中。如图所示,光谱覆盖了整个可见光范围并延伸到紫外光,黄色区域为用于碘双梳光谱测量的光谱滤波区域。光谱学中的一个当前挑战是光谱结构的调制,这使得生成具有完全重叠光谱的两个梳变得困难。在双梳光谱中使用不匹配的光谱会限制测量的信噪比(SNR)52。此外,在我们进行双梳光谱的区域,集成功率大约为∼10 µW,相当于每个梳模约∼10 pW的功率。每个梳模的光功率是当前系统中SNR的主要限制因素。


如前所述,光谱功率密度可以通过改善波导耦合来提高。此外,生成更平坦的光谱,正如在χ(3)53, 54超连续谱和χ(2)55–57材料中的差频生成中所实现的,仍然是基于光谱展宽的谐波构建频率梳的研究课题58。部分结构来自重叠和干涉的谐波59,但可以通过在不同的探测器上进行光谱复用来部分解决这一问题,正如我们之前的工作中所做的那样27。未来的工作将通过改进波导设计进一步提高效率和平坦度,我们在早期的工作中已经提出了一些初步模型45。在这个复杂的设计空间中,我们预计改善耦合效率将允许更多种类的波导设计,包括较短的波导,这些波导能够最小化随泵浦脉冲破裂后产生的累积干涉效应。

640 (3)
图4. 在紫外和可见光谱范围内近期双梳光谱工作的光学带宽比较

数据采集与处理

实时处理是实现高信噪比(SNR)所需的长期测量的实际要求,这对于在本系统中生成的宽光学带宽至关重要。对干涉图进行数字化,并在重复频率(100 MHz)下对拍频信号进行参考,同时具有高动态范围(每个样本16位),会导致每秒800 MB的数据流,这样大约在20分钟内就会填满1 TB的存储。为了减轻这一显著的存储和后处理负担,我们的采集方案利用图形处理单元(GPU)上的计算并行化实现实时相干平均60。

基于GPU的实时算法首先使用从每个梳的采样的f0和fopt中提取的相位噪声信息进行相位修正16, 61,以克服快速时间尺度上的波动。然后进行自我修正62, 63,以克服参考信号无法捕捉到的慢速环外波动。接下来,算法将所有干涉图对齐到一个公共的采样网格,并对其进行用户定义的时间段的平均。对于我们的光学和参考配置,实时平均使得存储需求比原始干涉图数据流减少了四个数量级。关于此数据采集系统操作的技术细节可以参考文献60和补充材料。

结果与讨论

碘的高分辨率双梳光谱学

使用500 nm-600 nm的滤波区域,我们以100 MHz的分辨率探测了分子碘的密集B-X转动-振动跃迁。选择碘是因为它在多普勒限制的范围内具有高分辨率的透射光谱,且光谱带宽广泛51。碘的吸收光谱也是天文光谱仪标定和其他光谱测量的重要工具。通过双梳光谱(DCS)对碘吸收光谱的宽带测量提供了直接追踪绝对频率标准的能力,这可能会替代使用傅里叶变换光谱(FTS)12–14测得的参考光谱。

图2(a)和(b)分别展示了碘的时间平均DCS干涉图和其相应的光谱,这些数据是通过在115分钟内平均约200,000个干涉图获得的。双梳光谱跨越了近120 THz的范围,该范围定义为我们双梳信噪比(SNR)大于1的带宽(见补充材料)。尽管由TFLN波导生成的光谱具有高度调制的结构,我们仍然在双梳光谱中以100 MHz的分辨率测量碘的吸收特征,如图2(c)-(f)中的扩展彩色区域所示。

我们的系统覆盖的大光学带宽的一个后果是,我们1550 nm驱动激光的光谱谐波发生重叠,产生了一个f0射频基频(RF tone),并出现在光电探测器信号中。当双梳射频光谱缩放回光学域时,这一点作为伪影(在图2(b)中标记,接近507 THz)被揭示出来。通过级联χ(2)过程生成的频率梳中的f0基频已被研究59, 64。尽管在此实验中,我们观察到重叠谐波对光谱测量没有显著贡献,但未来的工作将旨在进一步理解这种交错频率梳结构对DCS测量的影响。

为了与现有的碘透射数据进行比较,我们使用倒谱分析推测我们的双梳光谱测量的背景强度光谱,如图3(a)中的蓝色所示65。去除背景后得到的透射光谱显示在图3(b)中。透射率显著大于1的区域对应于双梳光谱中没有测量到信号的区域,因此可以忽略。图3(c)中显示了一个区域,并将其与该光谱区域的宽带碘光谱图进行比较,光谱图的分辨率大约为600 MHz51。图3(d)提供了这一比较的扩展区域。将我们的数据中心100 THz(从≈490-590 THz)与碘光谱图在同一区域进行交叉相关,结果显示在光谱图的不确定度(90 MHz)范围内一致。

然而,我们发现在测量的吸收深度上存在差异。需要更详细的研究来理解这种分歧的来源,但我们注意到,当前文献中500 nm-600 nm光谱区域的其他碘吸收数据也存在类似的光谱幅度差异37, 66, 67。我们的TFLN DCS系统可能是一个强大的工具,可以定量解决这些问题,但这将需要改进信噪比(SNR)和更好的光谱基线知识。提高SNR可以通过增加每个梳模的光谱功率来实现,这将需要在波导耦合和设计上进行改进,如前所述。提高光谱基线的知识将需要调整光学配置和检测方案,以便同时采集光谱基线52, 68。

为了将我们的结果与背景进行对比,我们将我们的TFLN器件所提供的宽带DCS带宽与其他近期在紫外和可见光谱区域的双梳测量结果进行比较27–37, 39, 41–43(图5)。其中只有少数几项工作实现了超过10 THz的带宽,它们使用的驱动激光器脉冲能量在10纳焦耳量级(100 MHz下几瓦特的光功率)。在这个光谱区域,我们的工作是唯一一个以仅300 pJ的芯片脉冲能量超越100 THz的同时带宽,进一步突出了TFLN纳米光子学在高效生成宽带可见频率梳中的优势。即便如此,我们在紫外、可见和近红外光谱区域仍有近400 THz的未使用带宽。通过改进波导插入损耗并增加光谱复用27,整个带宽可以用于DCS,以实现与基于光栅的光谱仪和傅里叶变换光谱(FTS)相媲美的光谱覆盖,但具有更高的分辨率和更快的采集时间。

相同的带宽和分辨率也可以应用于更复杂且与大气相关的分子,例如臭氧(O3)、甲醛(H2CO)和二氧化氮(NO2)。这三种分子在对流层中尤为重要,在那里,复杂的光化学过程通过非线性化学循环将它们联系在一起。例如,二氧化氮和甲醛是臭氧和各种其他气溶胶及污染物形成的光解前体,这些污染物可能对人类健康和作物生长产生负面影响69, 70。为了理解O3、H2CO、NO2以及其他大气物质和污染物之间复杂的相互作用,宽带和高分辨率的UV-VIS-NIR光谱测量是非常必要的,我们在补充材料中提供了二氧化氮的初步测量,分辨率较低。类似的高分辨率和宽带臭氧测量也将在350 nm-1000 nm范围内产生重要影响71。最后,利用TFLN波导生成的全光谱带宽进行DCS,可以实现臭氧、甲醛和二氧化氮浓度的同步实时监测72。

双梳光谱学在原子铷和钠的应用

我们进一步展示了我们的光谱仪在接近100 THz的带宽范围内提取高分辨率光谱的能力,通过精确光谱测量铷和钠蒸汽中的5S − 5P和3S − 3P跃迁,分别接近380 THz和508 THz。为了改变光谱探测区域,我们只需更换检测双梳干涉信号前使用的光谱滤波器。然而,增加光谱复用技术将可能在未来实现同时探测多个物种中多个跃迁,这对于基于原子的超越标准模型的物理学搜索越来越具有吸引力73, 74。


图5(a)展示了铷的测量双梳光谱,这是通过30分钟的平均得到的。在图5(c)和(d)中,我们展示了测量到的52S1/2-52P1/2(D1)和52S1/2-52P3/2(D2)线,并基于其已知的超精细结构拟合了一个模型。关于所使用模型的更多细节可以在补充材料中找到。我们观察到了85Rb和87Rb的贡献,并解析了它们的基态超精细分裂,分别为3 GHz和6.8 GHz。由于其接近性和约500 MHz(FWHM)的多普勒展宽,多个激发态的分裂未能完全解析。


考虑到两个同位素中已知的超精细跃迁频率,以及相对线强度和自然同位素丰度75,我们的DCS测量结果与以<10 MHz为级别的质心跃迁频率的先前测量结果一致75。这一差异的不确定性具有统计性质,并且主要由信噪比(SNR)和光谱基线的不完美知识所主导。关于此分析的更多细节可以在补充材料中找到。


图5(b)展示了钠的测量双梳光谱,这是通过80分钟的平均得到的。在图5(e)和(f)中,我们展示了测量到的32S1/2-32P1/2(D1)和32S1/2-32P3/2(D2)线及其相应的模型拟合(见补充材料)。在此,我们观察到与早期没有使用频率梳的测量结果相比,线中心发生了偏离。特别是,我们确定的D1线中心相对于1981年使用碘参考染料激光器的广泛引用测量结果发生了43(25) MHz的红移76。据我们所知,我们提供了这些跃迁的首个绝对频率梳测量结果。与上述分子测量结果结合,我们的研究展示了我们的系统在扩展和改进现有原子光谱数据库中的潜在价值,尤其是对于那些具有更复杂光谱的稀土元素和锕系元素73。

640 (4)
图5. 原子铷和钠的双梳光谱学
宽带双梳光谱,覆盖 (a) 原子铷和 (b) 原子钠。插图显示了测量到的跃迁的放大图。
(c)-(d) 测量的铷D1和D2跃迁,经倒谱分析(橙色)与模型(黄色)比较。跃迁标签表示相应的基态超精细状态和同位素。残差(测量值-模型值)显示在底部面板。对于D1跃迁,νCM = 377,107.409 GHz,对于D2跃迁,νCM = 384,230.436 GHz。D1和D2跃迁在两个不同温度下测量,详细信息见补充材料。
(e)-(f) 测量的钠D1和D2跃迁,经倒谱分析(绿色)与模型(黄色)比较。残差(模型-测量值)显示在底部面板。对于D1,νCM = 508,333.152 GHz,对于D2,νCM = 508,848.718 GHz。

结论与展望

总之,本工作展示了使用TFLN纳米光子学波导生成的宽带可见频率梳的双梳光谱(DCS)。我们进行了迄今为止在可见光区域中最广泛的DCS实验,并以100 MHz的光谱分辨率测量了500 nm-600 nm区域的气相碘光谱。我们还进行了二氧化氮的宽带光谱测量以及原子铷和钠的精确光谱测量。重要的是,我们使用的系统基于即插即用、紧凑型的双Er:fiber激光器,突显了类似系统可以集成到低SWaP封装中的潜力。

我们的结果为扩展TFLN DCS系统至覆盖超过500 THz的完整近红外至紫外光谱带提供了路径。通过提高光纤到芯片的耦合效率和光谱复用检测,未来可以实现更高的信噪比(SNR)测量和更快的采集速度。此外,TFLN设计的改进将使得光谱更加平坦,从而提高SNR并允许进行更严格的定量光谱学,进一步推动宽带、高分辨率和高速光谱学的必要小型化,这将把实验室级的精确度带到许多具有重大影响的应用中。

1. 补充信息

图6. 实验设置与数据采集细节

两个频率梳通过环外光学拍频检测和f-2f干涉法进行锁定。fceo信号的副本被发送到数据采集系统(DAQ)。通过在放大器中进行5%的取样,获得第二个光学拍频信号,并将其发送到DAQ。
EDFA:掺铒光纤放大器,HWP:半波板,TFLN:薄膜铌酸锂,MO:显微镜物镜,BS:分束器,OF:光学滤光片,BPD:平衡光电探测器。

1.1 实验设置与数据采集细节
我们的实验设置的详细示意图如补充图6所示。每个频率梳的一个输出端口被送入DCS系统。DCS系统基于一对工作在接近100 MHz重复频率的Menlo频率梳。我们使用了一个专门设计并经过色散管理的掺铒光纤放大器,将脉冲的平均功率放大到约300 mW,产生亚100 fs的脉冲持续时间。约2米的保持偏振的增益光纤由三台工作在接近980 nm的二极管激光器泵浦:两台为背向泵浦(每台1 W),一台为前向泵浦(750 mW)。

频率梳的剩余两个输出端口用于稳定重复频率(fr)和载波包络偏移(fceo)。通过与1550 nm的腔稳频连续波(CW)激光器的光学拍频来获得稳定重复频率的拍频信号。载波包络偏移使用标准的f-2f干涉仪进行测量77, 78。两个信号都被送入伺服控制器,进行PID反馈控制以稳定振荡器。每个fceo射频信号的一部分被分离出来,放大后送入数据采集系统。第二对光学拍频信号是通过与1550 nm的同一CW激光器拍频,获得来自放大器输出端5%取样的频率梳光,并随后送入数据采集系统。

本实验中使用的两条TFLN波导具有相同的设计,但由于可用性不同,它们的几何结构略有不同。两条波导均采用市售的X型切割晶片制造,晶片上有710 nm厚的铌酸锂层,底部是约4.7 µm厚的二氧化硅缓冲层。两条波导的刻蚀深度为380 nm,宽度为1800 nm,且具有一个啁啾极化区域,在3.6 mm的长度内,极化周期线性减小,从Λ = 12.5 µm减少到Λ = 2.5 µm。它们的不同之处在于波导起始处的未极化区域长度(分别为0.9 mm和3 mm)、波导包层(SiO2和空气)以及插入损耗(分别为5-7 dB和10 dB)。在未来的实验中,使用两个相同的波导将更有利于强化两个频率梳之间的光谱重叠,并提高信噪比(SNR)68。

640 (6)

图7. 碘分子的自由感应衰退(FID)
完整的自由感应衰退显示在顶部面板中。
面板(b)显示了接近零时间延迟的法布里-珀罗(etalon)效应的放大图。
面板(c)显示了在较长时间延迟下自由感应衰退的放大图。

在主文中呈现的碘光谱实验中,蒸气池的长度为 L = 105 mm,直径为 D = 20 mm。池内含有固体碘,我们使用文献79中的方程1来估算碘的蒸气压。

其中,T 是温度(以摄氏度为单位),p 是碘蒸气压(单位为帕斯卡)。对于室温 T = 25°C,池中碘的蒸气压大约为 41.4 帕斯卡,或 310 毫托(mTorr)。

数据采集系统中使用的信号处理在文献60中进行了深入描述,并且该系统可通过商业途径获得(www.elanspectral.com),但这里将简要描述其过程。一种快速修正算法使用提供的参考信号(fceo1,2,fopt1,2)来提取相位噪声信息。四个参考信号经过相位解调并组合,首先提取相位演变 δ φceo 和 δ φopt。知道 δ φopt = nδ φf r + δ φceo 后,可以获得 nφf r。

重复频率(fr)和载波包络偏移(fceo)的相位演变通过一种方式组合,从而完美地消除电频率梳中任何选定齿的相位噪声,同时考虑干涉图光的非线性变换。例如,为了修正第三次谐波光谱中的 k-th 模式,可以计算 φmode = 3(kφf r/n + φceo)。应用 e −φmode 到复分析干涉图中,可以将选定模式准确地调至电频率的零点,信号随后可以使用 nφf r 重新采样。

这些步骤首先使用参考拍频信号对快速波动进行修正,之后再通过从干涉图中心突发中推导出的相位定时信息(即自我修正)去除任何慢速残余环外波动。在第二次重新采样步骤中,确保始终使用相同的光学延迟网格,并且每个干涉图中有整数个点。

为了演示实现的实时相位修正的有效性,我们将每个1000秒平均值中的碘分子自由感应衰退(FID)测量结果并排绘制,见补充图7(a)。在补充图7(b)中,我们放大了FID中心突发附近的法布里-珀罗(etalon)效应,显示连续批次的干涉图相位在一个多小时内非常良好地对齐。在远离中心突发的位置,图7(c)显示干涉图批次的相位即使在较大的时间延迟下也保持良好的对齐。

1.2 铷/钠光谱学与建模

我们通过构建两个模型,类似于文献75中的方法,提取铷D线的质心频率。表示每个单独超精细跃迁吸收轮廓的方程是一个Voigt轮廓(V),其中洛伦兹线宽和高斯线宽分别由自然线宽(Γ)和多普勒线宽(σ)决定。具体来说,单一跃迁的吸收轮廓为:

其中,CF² 是相对跃迁强度,n 是同位素的相对丰度,I 是同位素基态的简并度,∆ 是跃迁的相对频率,A 是在每次测量中所有跃迁共享的任意尺度因子。每条线的透射光谱是每个超精细跃迁的叠加,即:

钠的D2和D1模型使用与铷相同的公式,但使用文献80中的相应数值。
表1. 铷/钠D2/D1线的拟合质心频率
包括与其他绝对频率测量的比较。偏移量定义为我们测量值与文献中值之间的差异,正值意味着我们当前的测量频率高于文献中的值。
我们独立地将每个四个模型拟合到我们数据的约10 GHz光谱范围内。这样可以避免低频波动(由于法布里-珀罗效应)显著影响拟合统计数据。每个模型有三个自由参数:幅度尺度因子 A、质心频率 νCM,以及一个垂直偏移量,用于补偿不完美的背景水平。通过这个拟合,我们推导出每条线的质心频率及其相应的统计不确定性。这些结果已报告在表1中。
1.2.1 绝对频率不确定性
我们通过频率梳每个梳齿的重复频率统计不确定性来估算光谱仪的频率不确定性。频率梳方程 δ fn = nδ fr + δ f0 告诉我们,重复频率 fr 和载波包络偏移 f0 的不确定性如何限制某个特定光学梳齿 fn 的频率知识。每个重复频率在测量过程中通过计数器进行测量,且不确定性通过Allan偏差进行估算。所有频率梳的频率和数据采集均参考GPS引导的振荡器,该振荡器的分数不确定性低于 1×10⁻¹¹。对于我们的光学稳定和自引用的频率梳,f0 的不确定性是加性且可以忽略不计。光学稳定性提供了优异的短期稳定性,因此,fr 的方差在大约1分钟以下的平均值中主要由参考振荡器主导。对于本文中进行的较长时间平均,δ fr 主要由腔体漂移主导。对于我们在约550 THz附近操作 2 小时的光谱仪,如在碘的测量中,我们估算频率不确定性为 10 kHz。

1.2.2 气体池与光谱学

铷气体池包含85Rb(≈78%)和87Rb(≈22%)的天然同位素比率。85Rb和87Rb在固态下的蒸气压通过文献81, 82中的方程2进行估算。

其中,T 是温度(以开尔文为单位),p 是压强(以托为单位)。在正文中,图5(c)-(d)中显示的结果是在两种不同的温度下测得的。对于D1测量(图5(a), (c)),蒸气池被加热到约T = 310 K,蒸气压约为1.8 µTorr,且干涉图平均时间为30分钟。对于D2测量(图5(d)),蒸气池保持在室温T = 25°C,蒸气压约为0.4 µTorr,干涉图平均时间为30分钟。

我们在钠的熔点以上进行钠光谱学测量。钠在液相中的蒸气压通过文献80中的方程4进行估算。

其中,T 是温度(以开尔文为单位),p 是压强(以托为单位)。对于我们在 T = 429 K 下的实验,钠在气体池中的蒸气压约为 11.2 µTorr。
二氧化氮的双梳光谱学

图8. 二氧化氮光谱学的双梳干涉图与光谱
(a) 时间平均干涉图。
(b) 相应的双梳光谱(红色)和测量的背景双梳光谱(蓝色)。
(c) (b)中区域的放大图。
(d) (c)中区域的放大图,显示了二氧化氮的高密度吸收特征。
(e) 比较不同光谱仪器在测量二氧化氮时提供的光谱分辨率和带宽。顶部面板显示了NO2的UV-VIS吸收光谱作为参考。绿色虚线框表示我们的频率梳覆盖的完整带宽。

一项初步实验突出了我们宽带可见光双梳光谱系统在解析复杂的二氧化氮(NO2)光谱方面的潜力。我们在大约90 THz的光学带宽范围内测量了光谱特征,估计分辨率为1 GHz。

用于二氧化氮实验的气体池是专门制造的,长度为L = 160 mm,直径为D = 17 mm。在充气之前,空池的压力约为30 mTorr,之后被充入99.9%纯度的二氧化氮,气压为650 Torr。在获取背景光谱之前,池被抽空至100 mTorr的压力。

补充图8(a)显示了通过大约2.5小时的相干平均得到的时间域干涉图。相应的双梳光谱显示在补充图8(b)中,并与将二氧化氮从气体池中抽出后得到的背景光谱一起显示。显而易见的是,双梳光谱在2.5小时内发生了变化,因此背景光谱在许多区域低于信号光谱。这很可能是由于耦合进出TFLN波导的漂移(例如光机械漂移和振动以及波导缺乏温控)所导致的。

补充图8(d)中显示了DCS光谱的扩展区域,其中光谱漂移最小,为背景和信号光谱之间提供了有用的局部比较。在这里,我们观察到具有复杂结构的窄线宽跃迁的高密度。在显示的0.5 THz范围内,我们估计测量了近150个分子吸收特征,展示了该系统在宽光学带宽范围内探测复杂吸收光谱的独特能力。

在补充图8(e)中,我们绘制了应用于测量二氧化氮的不同光谱技术的带宽和分辨率28, 41, 83–85。为了表明这一光谱区域内分子吸收带的典型范围,展示了使用光栅光谱仪在分辨率约为几百GHz的情况下测得的NO2 UV-VIS吸收带85。我们的系统测量了该分子中最高分辨率的光谱之一,但其带宽仍低于傅里叶变换光谱(FTS)所达到的带宽。为做比较,靠近我们工作的虚线框表示了TFLN波导所产生的完整带宽,具有梳模分辨率(100 MHz)。其他方法,如在高带隙材料中生成少周期脉冲的谐波生成,可能为350 nm以下波长的宽带覆盖提供途径86。

1.3 信噪比(SNR)分析

我们使用NO2实验中的背景和信号双梳光谱来估算整个双梳光谱的信噪比(SNR)。噪声通过在背景光谱上使用1 THz带宽的移动标准差进行近似,步长为10 GHz的间隔。计算出的标准差然后用于计算我们双梳光谱在不同频率下的SNR。接着,我们估算双梳实验的带宽,即SNR大于1的带宽范围。该分析得出,在所呈现的二氧化氮实验中,DCS带宽大约为90 THz。

类似的分析也用于我们I2的双梳光谱。我们使用在双梳光谱低频边缘(约481 THz)无信号的1 THz带宽来计算标准差,近似噪声。然后,这个标准差被用来估算我们双梳光谱的SNR。我们估算的双梳带宽是SNR大于1的带宽范围。对于所呈现的碘实验,DCS带宽大约为120 THz。


关于我们:

OMeda成立于2021年,由3名在微纳加工行业拥有超过7年经验的工艺,项目人员创立。目前拥有员工15人,在微纳加工(涂层、光刻、蚀刻、双光子印刷、键合)等领域拥有丰富的经验。 同时,我们支持4/6/8英寸晶圆的纳米加工。 部分设备和工艺支持12英寸晶圆工艺。针对MEMS传感器、柔性传感器、微流控、微纳光学等行业。

中国(上海)自由贸易试验区临港新片区业盛路188号450室 电话:+86 188 233 40140 邮箱:jing.chen@omeda-optics.com

来源:OMeda

关于我们

OMeda(上海奥麦达微)成立于2021年,由3名在微纳加工行业拥有超过7年经验的工艺,项目人员创立。在微纳加工(镀膜、光刻、蚀刻、双光子打印、键合,键合)等工艺拥有丰富的经验。 同时,我们支持4/6/8英寸晶圆的纳米加工。部分设备和工艺支持12英寸晶圆工艺。针对MEMS传感器、柔性传感器、微流控、微纳光学,激光器,光子集成电路,Micro LED,功率器件等行业。

姓名:*
邮件:*
公司名称:
电话:*
您的需求: