#氮化硅光波导 #光量子器件 #量子网络
量子态分布在广阔距离上的实现对于全球范围的量子网络和在太空尺度上进行量子物理的基本测试至关重要。尽管卫星平台已经展示了千公里级别的纠缠分发、量子密钥分发和与地面之间的量子传送,未来的卫星星座和深空任务仍然需要强大、紧凑且高效的光子源。集成光子学提供了一个可扩展的解决方案,但一个关键的光谱间隙仍然存在。尽管电信波段的集成光子对源已经相当成熟,近可见光光子通过减小衍射损失并最大化光学望远镜的收集效率,对于卫星与地面之间的连接提供了独特的优势。由于在可见光波长范围内透明材料实现异常色散的基本挑战,可扩展的集成光源在这一波段一直是一个难以解决的问题。在这里,我们通过展示一种基于宽禁带、超低损耗氮化硅(Si3N4)微共振器的集成近可见光光子对源,弥合了这一差距。通过工程化高阶波导模式的色散,我们克服了内在的正常色散极限,成功实现了高效的相位匹配。该设备表现出4.87×10⁷对/秒/mW²/GHz的光谱亮度和357 MHz的窄光子线宽。我们报告了具有高纯度的预告单光子生成,其预告率高达2.3 MHz,二阶相关函数 gh(2)(0) 低至 0.0041。此外,我们观察到能量-时间纠缠,干涉可见度达到98.4%,即使在流量超过4060万对/秒时也能违反 CHSH 极限。结合硅氮化物的已验证辐射硬度,这一光源构成了适用于日间量子通信和要求在轨多光子干涉的协议的飞行就绪硬件基础。
#2:a向 bto外延片
2寸 外延 a-向 bto(300nm或者500nm,或者定制)-sto 8nm(可定制)- 2um Sio2(可定制) -Si(可定制)
#3:C向 bto外延片
2寸 外延 c-向 bto(150nm或者300nm,或者定制)-sto 8nm(可定制)- 2um Sio2(可定制) -Si(可定制)
#离子注入铒代工
#6寸DUV步进式光刻代工,最小线宽180nm,超高性价比,可以只曝光
#快速氮化硅硅光铌酸锂流片 #高性价比 #低成本
#提供8寸 8umSiO2热氧片,6寸15um热氧片 10um热氧片 8寸10um热氧片
SOI晶圆:--220nm薄膜/ 3um厚膜-3umSIO2-675umALOOI晶圆;--氧化铝薄膜晶圆,键合工艺和镀膜工艺
TAOOI晶圆--氧化钽薄膜晶圆,镀膜工艺
SINOI晶圆--超低损耗氮化硅薄膜晶圆,160nm-180nm-200nm-300nm-350nm-400nm-800nm
SICOI晶圆;新型量子光学平台500nm-700nm-1um
8寸LTOI晶圆批量供应;铌酸锂的有力的竞争对手,薄膜钽酸锂晶300600
8寸LNOI晶圆;8寸LNOI助力更大规模薄膜铌酸锂产品量产
LN/LT-SOI/Si/SIN W2W&D2W异质集成
流片: 6寸 氮化硅 铌酸锂 硅光 超高性价比流片, 1个BLOCK的价格买一整片晶圆
划重点--全国产-超高性价比-6 寸硅光-氮化硅-铌酸锂流片白皮书
我们为客户提供晶圆(硅晶圆,玻璃晶圆,SOI晶圆,GaAs,蓝宝石,碳化硅(导电,非绝缘),Ga2O3,金刚石,GaN(外延片/衬底)),镀膜(PVD,cvd,Ald,PLD)和材料(Au Cu Ag Pt Al Cr Ti Ni Sio2 Tio2 Ti3O5,Ta2O5,ZrO2,TiN,ALN,ZnO,HfO2。。更多材料),键合(石英石英键合,蓝宝石蓝宝石键合)光刻,高精度掩模版,外延,掺杂,电子束光刻等产品及加工服务(请找小编领取我们晶圆标品库存列表,为您的科学实验加速。
请联系小编免费获取原文
文章名:A scalable near-visible integrated photon-pair source for satellite quantum science
作者:Yi-Han Luo,1, Yuan Chen,1, Ruiyang Chen,1, 2, Zeying Zhong,1, 3 Sicheng Zeng,1, 3 Baoqi Shi,1, 2 Sanli Huang,1, 2 Chen Shen,1, 4 Hui-Nan Wu,2, 5, 6 Yuan Cao,2, 5, 6 and Junqiu Liu1, 5,
单位:1.International Quantum Academy, Shenzhen 518048, China
2.Hefei National Research Center for Physical Sciences at the Microscale and School of Physical Sciences, University of Science and Technology of China, Hefei 230026, China
3.Southern University of Science and Technology, Shenzhen 518055, China
4.Qaleido Photonics, Shenzhen 518048, China
5.Hefei National Laboratory, University of Science and Technology of China, Hefei 230088, China
量子态在广阔距离上的分布对于实现全球规模的量子网络[1–4]和测试量子力学与广义相对论之间的接口[5,6]至关重要。光子是这种任务的关键载体,因为它们在环境去相干方面具有强大的抗性。尽管卫星平台已经成功展示了数千公里范围内的纠缠分布和量子传送[7–10],这些任务依赖于体积光学设备,这种设备虽然稳定性好,但牺牲了可扩展性。为了使未来的卫星星座[11,12]和深空部署成为可能,量子光源——特别是作为预告单光子和纠缠基础的光子对源——必须从庞大的台面组件过渡到集成的解决方案,这些解决方案不仅要稳健、紧凑,还要节能。
光子集成电路(PICs)通过可扩展的、兼容 CMOS 的制造工艺,为满足严格的尺寸、重量和功率(SWaP)要求提供了途径。如图1所示,这种兼容性使得能够在直径为 150 毫米的晶圆上进行高密度制造,产生数百个芯片(图1a),每个芯片上托载着数十个稳健的微共振器光源(图1b, c)。这些芯片可以被打包成紧凑的模块(图1d),占地仅几立方厘米,重量为几百克——这对于卫星部署来说是理想的形式因子(图1e)。图1f 总结了当前在各种材料平台上实现的集成光子对源的格局[13–21],并对其亮度和线宽进行了基准测试——这些是量子信息处理中最关键的性能指标。详细的比较和分析在“方法”部分中提供。在这个格局中,硅和 Si3N4 已成为主导平台,得益于它们成熟的制造生态系统[22–25]。
然而,现有集成光子学与卫星部署需求之间存在关键的光谱不匹配。尽管集成光子对源在电信波段已经相当成熟,但卫星链接优先考虑近可见光光子(通常为 700–850 nm),以最小化光束发散并通过衍射极限光学最大化光学望远镜的收集效率[3]。此外,近可见光光子能够通过成熟的硅探测器实现高效的室温探测,从而为预告单光子下行链路提供高效的触发。
图1. 可扩展制造和卫星部署的近可见光集成光子对源
a. 使用 CMOS 兼容制造工艺制造的 150 毫米直径 Si3N4 晶圆的照片,产生数百个光子芯片。
b. 单个芯片的光学显微镜图像,展示了集成的微共振器阵列,证明了高密度集成。
c. 用于光子对生成的特定微共振器的放大视图,展示了该工作中的应用。
d. 紧凑的封装模块占据的体积仅为几立方厘米,满足太空载荷的严格 SWaP 要求。
e. 艺术渲染图,展示了封装光源部署在量子卫星上的场景。
f. 最先进集成光子对源的性能基准测试[14–16,18–21,26–28]。光谱亮度(在 1 mW 泵浦功率下校准)与光子线宽的关系图。蓝色和红色圆圈分别表示在电信波段和近可见光波段操作的源。插图:常见集成光子材料的带隙和透明窗口的比较。Si3N4 的宽带隙(5.0 eV)使其成为在近可见光波段高性能操作的独特候选材料。
在近可见光范围内实现高性能集成光子对源仍然是一个巨大的挑战。如图1f 插图所示,常见材料如硅和磷化铟(InP)具有狭窄的带隙,并且在近可见光波段是不透明的。相反,虽然 Si3N4 具有 5.0 eV 的宽带隙并且透明,但该材料在近可见光范围内表现出强烈的正常群速度色散(GVD),这阻止了实现腔体增强自发四波混频(SFWM)所需的相位匹配。在此,我们通过展示基于超低损耗 Si3N4 微共振器的飞行就绪光子对源,弥合了这一差距。通过工程化高阶波导模式的 GVD,我们克服了基本模式的正常 GVD 限制。我们的设备在近可见光波段运行,表现出高光谱亮度和窄光子线宽,能够生成预告单光子和能量-时间纠缠态,满足卫星部署的严格要求。
设备设计
为了满足卫星到地面量子信道的严格链路预算,光子对源必须同时具备高光谱亮度,以克服严重的信道衰减(通常超过 40 dB),并且具备窄光子线宽,以便有效抑制太阳背景噪声。我们在集成的 Si3N4 微共振器中使用自发四波混频(SFWM)[29]。如图2a所示,一个连续波(CW)泵浦激光器以频率 f(µp) 驱动微共振器,其中两个泵浦光子相互湮灭,产生信号-闲频对,其频率为 f(µs) 和 f(µi),由能量守恒关系 2f(µp) = f(µs) + f(µi) 来控制。高效的 SFWM 需要相位匹配;然而,非线性相互作用会引起自相位调制(SPM)和交叉相位调制(XPM),这些效应会使共振网格发生失调,如图2b所示。这种非线性偏移阻止了相位匹配,必须通过异常群速度色散(GVD)来补偿。
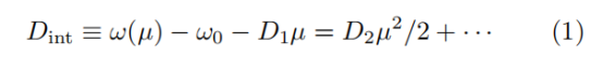
在近可见光波段实现异常群速度色散(GVD)是一个根本性的材料挑战。微共振器的色散定义为:
其中,ω(µ)/2π 是相对于参考共振频率 ω0/2π 的 µ-th 共振频率,D1/2π 是自由光谱范围(FSR),而 D2 > 0 对应于异常的群速度色散(GVD)。高阶色散项 P ···n=3 Dnµn/n! 被忽略。尽管 Si3N4 具有透明性,但其紫外带隙的接近性在近可见光波段施加了强烈的内在正常 GVD(参见方法中的折射率模型)。因此,传统的通过几何约束进行色散工程[30]——虽然对红外波段中的基本横电模式(TE00)有效——在这一波段不起作用。图2d中的模拟表明,即使波导厚度达到 900 nm,TE00 模式仍然保持在正常 GVD 范围内(D2 < 0)。
我们通过利用高阶波导模式的色散特性[31,32]来克服这一限制。如图2d所示,在 300 nm 厚的波导中,像 TE20 和 TE30 这样的高阶模式表现出接近零的 GVD。此外,这些多模波导中的模式耦合产生了避免模式交叉(AMXs)[33],这会导致色散特性的局部偏离。我们利用这些 AMX 引起的局部异常 GVD 区域来满足 SFWM 的相位匹配条件。为了平衡光损失和色散之间的权衡,我们选择 TE20 模式进行后续实验。
设计策略进一步受到光子对生成速率(PGR)缩放规律的指导,PGR 的缩放方式为:
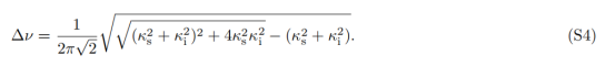
其中,n2 是非线性折射率,L 是腔长,Q = ω/κ 是加载品质因子。同时,光子线宽 ∆ν = 0.64(κ0 + κex)/2π 由总腔体衰减率决定[34],其中 κ0 和 κex 分别是内在损耗和外部耦合率。理论推导见补充材料说明 1。因此,最大化 PGR 同时最小化线宽需要一个设计,既能最小化 κ0,又能保持足够的 κex 以有效地从微共振器中提取光子。
我们使用图2c所示的绝热波导几何结构来实现这些标准。微共振器的半径为 41.6 µm,厚度为 300 nm。为了最小化光学散射损耗(与 κ0 相关),波导宽度在耦合区域的远端扩展到 2200 nm。在耦合区域,宽度绝热地收敛到 1450 nm,以优化与 330 nm 宽的总线波导的 κex。图2e 中的有限差分时域(FDTD)仿真验证了从微共振器 TE20 模式到总线 TE00 模式的接合理想性接近单位[35]。图2f 中的传输仿真表明,其他微共振器模式的寄生激发被抑制超过 15 dB。
设备表征
我们在 CMOS 制造厂的 150 毫米直径晶圆上制造 Si3N4 芯片设备,采用深紫外减法工艺[36,37]。通过低压化学气相沉积(LPCVD)沉积化学计量的 Si3N4 薄膜,并进行高温退火,以最小化光学损耗并抑制荧光引起的背景噪声。晶圆和设备的照片如图1所示,制造细节见补充材料说明 2。为了验证设备的物理特性,我们使用原子跃迁参考的矢量谱分析仪[38]对微共振器进行表征,具有 161 kHz 的频率分辨率和 8.1 MHz 的频率精度。设置细节见补充材料说明 3。图3a 显示了微共振器的传输光谱,覆盖 382–390 THz,确认有效地抑制了寄生模式。我们识别出目标泵浦、信号和闲频共振——用红色星标标出——分别位于 384.49233 THz、383.43767 THz 和 385.54702 THz。通过映射共振频率 ω(µ)/2π,我们得出了图3b 中所示的 Dint/2π。尽管自由光谱范围(FSR)较宽(D1/2π ≈ 527.4 GHz),但 Dint 曲线明确确认了设计的近零 GVD 区域的实现,并且存在避免模式交叉(AMXs)。重要的是,图3b 插图框强调了泵浦模式位于信号模式和闲频模式之间线性插值(虚线)以下,确认了相位匹配所需的局部异常 GVD。相比之下,模拟的 TE00 模式的 Dint/2π(实线)显示出强烈的正常 GVD。
图2. 近可见光光子对源的设计和色散工程
a. 腔体增强的 SFWM 原理。两个泵浦光子(频率为 f(µp))湮灭生成信号-闲频对(频率为 f(µs) 和 f(µi)),与微共振器的共振网格严格对齐。
b. 描述相位匹配机制的示意图。非线性自相位调制(SPM)和交叉相位调制(XPM)引起频率调谐(泵浦和信号/闲频共振的 -∆ 和 -2∆),这些效应扭曲了共振网格;高效的 SFWM 需要通过异常的群速度色散(GVD)来补偿这些偏移。
c. Si3N4 微共振器的示意图,特征为绝热收敛的波导几何结构,附带模拟的光学模式。波导宽度在环路中扩展到 2200 nm,以最小化传播损耗,在耦合区域收敛到 1450 nm,以确保 TE20 模式的激发,具有接近单位的耦合理想性。
d. 对具有 41.6 µm 半径、2200 nm 宽度、300 nm 到 900 nm 不同厚度的 Si3N4 微共振器的模拟 D2/2π。尽管 TE00 模式在近可见光波段(橙色阴影区域缩放)表现出强烈的正常 GVD(D2 < 0,实线),无论厚度如何,较高阶模式 TE20 和 TE30(虚线)则实现了接近零的 GVD。
e. FDTD 模拟的耦合区域,确认微共振器 TE20 模式到总线 TE00 模式的接近单位耦合理想性。场强度以 |E|^0.5 形式绘制,以增强可视化效果。
f. 模拟的传输,展示了模式选择性。绝热耦合器设计抑制了对除 TE20 以外模式的寄生激发,抑制量超过 15 dB。
相互作用的 TE20 模式的共振曲线如图3c所示。洛伦兹拟合得出的(κ0 + κex)/2π 值分别为信号模式 605 MHz、泵浦模式 533 MHz 和闲频模式 514 MHz。这些值对应的加载 Q 值分别为 0.63×10⁶、0.72×10⁶ 和 0.75×10⁶,在高腔内增强与高效提取之间取得了平衡。
光子对生成
我们使用图4a所示的 setup 来生成和表征光子对。详细信息见方法和补充材料说明 4。得到的双光子相关直方图(图4b)显示出一个尖锐的重合峰,半高宽(FWHM)为 0.70 ns,确认了光子对的生成。通过分析重合计数率和偶然计数率(ncc 和 nacc)随着片上泵浦功率 P 的变化,我们提取出了光子对生成速率(PGR),其值为 a = 1.74 × 10⁷ 对/秒/mW²(见方法)。结合窄光子线宽 ∆ν = 357 MHz,这给出了光谱亮度为 a/∆ν = 4.87 × 10⁷ 对/秒/mW²/GHz。计算细节见方法和补充材料说明 1。同时,光源展示了卓越的噪声抑制;重合与偶然比(CAR)在 P = 56 µW 时达到了最大值 ncc/nacc − 1 = 1061 ± 21(见方法和补充材料说明 5)。
图3. 光谱表征和色散验证
a. 标准化的微共振器传输光谱。红色星标标记了选择用于光子对生成的特定共振:泵浦(384.49233 THz)、信号(383.43767 THz)和闲频(385.54702 THz)。
b. 测量的 Dint/2π 曲线。实验数据确认了 TE20 模式的工程化异常群速度色散(GVD),与 TE00 模式表现出的正常 GVD(模拟结果,实线)形成鲜明对比。插图:相位匹配窗口的放大视图。泵浦模式频率位于信号和闲频频率的算术平均值(虚线)以下,满足 SFWM 所需的相位匹配条件。
c. 信号、泵浦和闲频模式的共振曲线,叠加了它们的洛伦兹拟合曲线。提取的 κ0/2π 和 κex/2π 分别标记在每个模式上。
预告单光子
通过探测闲频光子来预告其信号光子,光子对源作为实际的单光子发射器发挥作用——这是下行量子传送[39]、量子密钥分发(QKD)[40]以及测试弯曲时空中量子效应[41]的关键资源。为了表征我们源的单光子纯度,我们采用了图4a框1中标记的 Hanbury Brown 和 Twiss (HBT) 干涉仪。在这种配置中,在 APD 1 处探测到一个闲频光子,预示着信号光子的存在,随后信号光子被引导到一个 50:50 分束器,并通过 APD 2 和 APD 3 进行监测。我们确定预告的二阶相关函数 gh(2)(0) = n123n1/(n12n13),其中 n1 代表 APD 1 处的闲频计数率,n12、n13 和 n123 分别是由下标指示的 APD 组合的重合计数率。
在泵浦功率 P = 153 µW 和重合窗口宽度为 0.70 ns 的情况下,我们观察到显著的光子反束缚现象,gh(2)(0) = 0.0041 ± 0.0010,预告率为 n1 = 38 kHz。关键的是,如图4c所示,尽管在较高功率下,光源仍保持高纯度;在 P = 1.5 mW 时,预告率达到 n1 = 2.3 MHz,而 gh(2)(0) 仍保持低于 0.3。该流量足以支持深空量子链接;例如,即使考虑到从稳定的拉格朗日点到地球的下行链路预计有约 40 dB 的信道损耗[42],我们的光源仍提供超过 100 Hz 的地面检测率。在此范围之外,系统从量子 SFWM 过渡到经典光学参量振荡(OPO),这一过渡通过 gh(2)(0) 的急剧上升来标识(见方法部分)。最后,如图4c所示,通过预告信号光子的自干涉测量,我们获得了接近单位的可见度,确认了进行弯曲时空中量子效应测试所需的高相干性[41]。
能量-时间纠缠
生成的光子对展现出固有的能量-时间纠缠,这种自由度对去相干具有异常强的抗性,非常适合长距离量子分发[43]。在连续波(CW)泵浦下,在不同时间生成的光子对的相干叠加 |es, ei⟩(早期)和 |ls, li⟩(晚期)会产生一个纠缠态:
为了验证这种纠缠并解析两光子干涉,我们使用如图 4a 框 2 所示的折叠式 Franson 干涉仪。光子被均等地分成两条臂,路径长度差为 2 米,产生约 6.6 ns 的时间延迟。这个延迟显著超过了两光子相关直方图的半高宽(FWHM)(0.70 ns),有效地抹去了单光子干涉。信号光子和闲频光子被投影到叠加态 |ϕ⟩ = (|e⟩ + eiϕ|l⟩) / √2,其中小角度楔形棱镜控制相对相位 ϕ。两光子干涉——测量态 |Ψ⟩ 在态 |ϕs⟩ |ϕi⟩ 中——由概率 p = (1 + cos 2ϕ) / 4 控制。
结果干涉通过图4d中的相关直方图捕获。我们观察到中央重合峰的高对比度调制:在 φ = 0 时,中央峰是边带的四倍,而在 φ = π/2 时由于相消干涉完全消失。为了确保有效的后选择,我们使用宽度为 3.0 ns 的重合窗口来获得 ncc。随着 φ 的变化,ncc 以 π 为周期呈正弦波振荡,最大值和最小值分别表示为 n_max_cc 和 n_min_cc。未进行背景扣除的原始两光子干涉可见度——计算公式为 V = (n_max_cc − n_min_cc) / (n_max_cc + n_min_cc)——在 P = 71 µW 时达到了 98.4% ± 1.1%。图4e 说明了与泵浦功率相关的可见度 V 以及相应的光子对流量(计算为 aP²)。值得注意的是,V 在整个功率范围内保持稳定,高于经典 CHSH 限制 0.707(虚线),直到 OPO 阈值。不同泵浦功率下的干涉条纹和直方图见补充材料说明 5。
图4. 实验配置和性能表征
a. 测量 setup 的示意图。一个频率为 f(µp) 的 CW 泵浦激光通过非球面透镜耦合到微共振器中,生成的光子对(信号和闲频光子)通过窄带通滤光器进行光谱分离。探测阶段采用两个可互换模块:一个 HBT 干涉仪用于表征单光子纯度(框1),一个折叠式 Franson 干涉仪用于验证能量-时间纠缠(框2)。HWP,半波片;BS,分束器;APD,硅雪崩光电二极管;pol.,偏振片。
b. 标准化的双光子相关直方图,箱宽为 0.1 ns,显示出一个尖锐的时间相关峰,其半高宽(FWHM)为 0.70 ns。
c. 预告单光子纯度 gh(2)(0) 和可见度 V 作为预告率 n1 的函数。即使在 P = 1.5 mW 时 n1 达到 2.3 MHz,预告的 gh(2)(0) 仍然保持较低值,确认了稳健的单光子统计。插图:gh(2)(0) < 0.05 的放大视图。
d. 作为能量-时间纠缠的时域特征的双光子相关直方图。中央重合峰显示出构造性(红色)和破坏性(蓝色)两光子干涉之间的高对比度。箱宽为 50 ps。
e. Bell 不等式违反和亮度基准测试。双光子干涉可见度 V 始终超过经典 CHSH 限制 0.707(虚线)。在 P = 1 mW 泵浦功率下,设备产生的光子对流量为 aP² ≈ 15 MHz,同时保持 V = 85.7%,显著超越基准 bulk-optic 源(在 Ref.7 中 30 mW 泵浦下约 6 MHz 的流量,用黑色箭头标记)。误差条表示由泊松计数统计得到的一个标准差。
这一性能相较于现有的卫星系统实现了显著飞跃。与用于标志性1200公里纠缠分布的体积光学源[7]相比,我们的集成设备在可比的可见度(V = 85.7%)下提供了2.5倍的光子对流量(15 MHz 对比 6 MHz),而泵浦功率仅消耗了 3%(1 mW 对比 30 mW)。即使考虑到双下行卫星传输特有的70 dB 信道损耗,这 15 MHz 的光子流量也确保了地面重合计数率超过 1 Hz,确认了该设备在未来空间到地面的量子网络中的可行性。
讨论与展望
我们的集成光源弥合了卫星量子链路所需的关键光谱间隙,在近可见光波段实现了亮度和线宽指标,达到了成熟电信波段设备的水平。如图1f和扩展数据表1所总结,我们的平台在可扩展性和性能上优于现有的自发参量下转换(SPDC)和自发四波混频(SFWM)源,包括基于体积自由空间光学的设备。
我们进一步探讨了使用微共振器平台的性能极限,其中 TM10 模式的 AMXs 引起了有利的局部异常 GVD。该设备展现了极高的光谱亮度,达到了 5.84×10⁸ 对/秒/mW²/GHz,且光子线宽仅为 159 MHz。详细信息见补充材料说明 5。由于其固有的较低 OPO 阈值,限制了最大可达到的光子对流量(理论上与 Q⁻¹ 成正比,并且与非线性折射率 n2 无关,见方法和补充材料说明 1)。尽管如此,这种窄线宽在与原子量子记忆[44]的接口中尤为吸引人。此外,这种线宽使得使用纳秒脉冲进行高效的多光子干涉成为可能,为传统依赖复杂飞秒激光器的宽带源提供了一种稳健且适合太空的替代方案[9]。
为了从芯片规模的演示过渡到飞行就绪的有效载荷,我们定义了一个清晰的系统级集成路径。通过优化逆向收敛几何形状,预计可以将光纤耦合效率提高到超过 70%,使用标准单模光纤(780-HP,见补充材料说明 6)。此外,通过利用与近可见激光芯片的自注入锁定[45,46],该光源可以演变为混合或异质集成模块[37,47]。这种架构将产生一个即插即用设备,占据仅几立方厘米的空间,同时在低于 5 W 的电力预算下运行——满足卫星星座的严格 SWaP 限制。该集成系统的概念示意图见补充材料说明 6。最后,该平台提供了卓越的热稳定性;由于 Si3N4 的低热光系数(在近可见光波段的共振偏移约为 4 GHz/K),将芯片温度调节至 10 mK 内可使频率稳定在 40 MHz,从而显著简化了在太空恶劣环境中的热管理。
总之,我们展示了一个基于高-Q Si3N4 微共振器芯片的 CMOS 兼容近可见光光子对源。这些集成设备的可扩展制造为量子微卫星星座的快速部署提供了催化剂[11,12]。同时,我们的设备结合了高光谱亮度和窄光子线宽,能够产生高纯度的预告单光子(gh(2)(0) < 0.005)和高可见度的能量-时间纠缠(V > 0.98)。通过将这种优越的性能与紧凑、可扩展的固态架构相结合,本工作为下一代全球量子网络和太空量子技术奠定了可行的硬件基础。
方法
用于仿真的折射率模型
为了确保准确的 Dint 仿真,LPCVD SiO2 和 Si3N4 的折射率通过光谱椭偏仪表征,并拟合到三项 Sellmeier 模型。
其中,波长 λ 以微米(micrometers)为单位表示。
实验设置
微共振器通过自由空间耦合进行泵浦,如图4a所示。我们使用半波片(HWP)和偏振片将泵浦光的偏振方向调整为总线波导的 TE00 模式。芯片的输入和输出耦合通过焦距为 2.8 mm 的非球面透镜来实现。生成的信号光子和闲频光子通过一系列带通滤波器(带宽为 0.7 nm,中心频率为各自的共振频率)进行空间分离。光子通过硅雪崩光电二极管(APDs,Excelitas SPCM-NIR)探测,并通过时间标记器(Swabian Instruments Time Tagger Ultra)进行处理。详细的组件规格见补充材料说明 4。
PGR 的测量
在实验中,单光子计数率 ns/i 由 APDs 探测并通过时间标记器直接记录。具体来说,n1 = ni 是在预告单光子生成中的预告率。如扩展数据图1a所示,重合计数率 ncc 通过在零延迟中心的窗口内对直方图的箱进行积分来确定,而偶然重合计数率 nacc 是使用相同窗口宽度但在较大延迟偏移处计算的。净重合计数率定义为 nnet = ncc − nacc。光子对流量 α 与泵浦功率的平方成正比(α = aP²),而噪声光子流量 βs/i 线性缩放,即 βs/i = bs/iP,其中 bs/i 是噪声光子生成率。因此,测量的计数率可建模为:
其中,ηs/i 表示信号和闲频通道的总系统效率。利用这些不同的功率缩放规律,可以准确地提取光子对生成速率(PGR)。
在实验中,我们通过变化泵浦功率 P 来记录 ns/i 和 nnet 值,如扩展数据图1b和图1c所示。为了确保准确的亮度估算并捕获所有重合事件而不发生过度估算[14],我们采用了 20 ns 宽度的重合窗口。通过多项式拟合,我们提取了组合系数 ηsa、ηia 和 ηsηia,从而同时确定了信道效率 ηs/i 和光子对生成速率(PGR,a)。ns/i 的线性部分(扩展数据图1b中的虚线)表示背景噪声底限。考虑到测量的整体系统效率(ηs = 4.8%,ηi = 6.4%),我们得到了 PGR 为 a = 1.74 × 10⁷ 对/秒/mW²。详细的系统损耗预算见补充材料说明 5。
扩展数据图1. PGR 和 CAR 的表征
a. 重合计数率 ncc 和偶然重合计数率 nacc 的实验定义。展示了一个代表性的双光子相关直方图(在 P = 1.52 mW 下记录),用以说明在背景噪声存在的情况下提取过程。ncc 通过在重合窗口内对直方图箱进行积分来确定,窗口以零延迟为中心,而 nacc 则是在一个相同窗口宽度但位于较大延迟偏移处计算的。重合窗口宽度是可调的,允许在不同实验条件下进行优化。
b. 信号(ns)和闲频(ni)模式的单光子计数率与泵浦功率 P 的关系。数据点通过多项式函数进行拟合(实线)。线性部分(虚线)表示背景噪声底限。
c. 净重合计数率 nnet 与 P 的关系,展示了通过多项式拟合确认的预期二次缩放。
d. 测量的 CAR 与 P 的关系。误差条表示来自泊松计数统计的一个标准差。
光子线宽计算
根据参考文献[34]中的理论框架,腔体增强的自发四波混频(SFWM)光子线宽为 ∆ν = 0.64κ/2π,其中 κ = κ0 + κex。对于一个微共振器,其中信号和闲频模式具有不同的衰减率(κs 和 κi),光子线宽的计算公式为:
将实验中提取的衰减率 κs/2π = 605 MHz 和 κi/2π = 514 MHz 代入公式,我们计算得到光子线宽 ∆ν = 357 MHz。详细的理论推导见补充材料说明 1。
CAR 测量
在泵浦功率范围内(最高至 P = 1.5 mW)提取 ncc 和 nacc 值。扩展数据图1d 显示了测得的 CAR。CAR 在 P = 56 µW 时达到了最大值 ncc/nacc − 1 = 1061 ± 21。观察到的功率依赖性遵循自发四波混频(SFWM)源的预期行为:在低功率下,CAR 受到探测器暗计数(约 500 Hz)的限制,而在高功率下,随着多光子发射概率的增加,CAR 会下降。详细的噪声分析见补充材料说明 5。
OPO 阈值和流量限制
随着泵浦功率 P 的增加,我们观察到 gh(2)(0) 向单位值的急剧变化,如扩展数据图2a所示。这种行为标志着从非经典单光子态到泊松分布的过渡,表明相干光发射的开始。我们将这一过渡定义为 OPO 阈值功率 Pth。当 P > Pth 时,生成的光子在微共振器内经历参量放大,标志着光子表现为经典行为。由于 Pth ∝ Q⁻²(参考文献48),且 PGR ∝ Q³(见公式2),理论上最大可达的光子对流量 aPth² ∝ Q⁻¹。这表明存在一个基本的权衡:更高的 Q 因子并不天然导致更高的最大光子对流量。通过与 TM10 模式的结果进行比较,实验上验证了这一行为,TM10 模式具有更高的加载 Q = 1.4 × 10⁶。如扩展数据图2b所示,过渡发生在较低的 Pth = 0.69 mW 时,产生了最大预告率 2.1 MHz。详细的分析,包含 κ0 和 κex 的具体贡献,见补充材料说明 1。
扩展数据图2. 从 SFWM 到 OPO 的过渡观察
随着泵浦功率 P 的增加,gh(2)(0) 急剧上升趋向单位,标志着从 SFWM 到 OPO 的过渡。发生此过渡的功率被定义为振荡阈值 Pth。
a. 测量的 gh(2)(0) 和 TE20 模式(加载 Q = 0.72 × 10⁶)随 P 变化的预告率 n1,功率范围至 2 mW。在 Pth = 1.52 mW 时,预告率为 n1 = 2.3 MHz。
b. 测量的 gh(2)(0) 和 TM10 模式(加载 Q = 1.4 × 10⁶)随 P 变化的预告率 n1,功率范围至 1.2 mW。在 Pth = 0.69 mW 时,预告率为 n1 = 2.1 MHz。误差条表示来自泊松计数统计的一个标准差。
折叠式 Franson 干涉仪
折叠式 Franson 干涉仪——一个不平衡的马赫-曾德干涉仪——用于解析能量-时间纠缠的两光子干涉可见度。如扩展数据图3a所示,入射光子的偏振通过四分之一波片(QWP)和半波片(HWP)的组合(标记为“Q+P”)精确调整,以确保随后的偏振分束器(PBS)将光束均匀分配。在第一个 PBS 之后,光子被分配到两个臂中,路径长度差为 2 米,对应的时间延迟约为 6.6 ns。这个延迟被设计为显著超过两光子相关直方图的半高宽(FWHM,0.7 ns),从而有效地抹去单光子干涉。两条路径在第二个 PBS 处重新合并,并投影到叠加态 (|H⟩ + |V⟩)/√2 以观察两光子干涉。为了控制相对相位 φ,在第一个 PBS 之前使用了一个相位调节器。这个相位调节器由两块角度不同的石英片粘合在一起组成,其光轴相互垂直。为了修正第二个 PBS 处由于不同传播长度引起的空间模式不匹配,在长臂中集成了一个 4-f 光学系统,该系统由两片焦距为 400 毫米的透镜组成。该系统确保长臂中的空间模式变换近似为单位矩阵,从而保持较高的干涉可见度。
两光子干涉条纹
表征能量-时间纠缠的两光子干涉条纹见扩展数据图3b。测量在泵浦功率 P = 164 µW 下进行,重合窗口宽度为 3.0 ns,以确保捕获所有重合事件。每个数据点代表在 30 秒内平均的重合计数率 ncc,未进行背景扣除。观察到的干涉条纹以 π 为周期振荡,这是两光子干涉的明显特征。我们通过将数据拟合到正弦模型 ncc = 0.5A[1 + V cos 2φ] 来提取可见度,得到原始可见度 V = (98.7 ± 1.4)%。这一结果与直接从干涉最大值和最小值计算的可见度一致。
与其他光子对源的比较
扩展数据表1总结了各个材料平台的光子对源的全面性能指标,以及它们各自的 CMOS 兼容性。对于本研究,我们专门报告了 TE20 和 TM10 模式的性能指标。在文献中,如果报道了基于微共振器的生成速率,但没有明确的亮度值,我们通过使用光子线宽 0.64κ/2π 来估算光谱亮度。此外,为了提供更广泛的背景,我们还将我们的结果与两项使用自由空间光学的地标性研究进行比较,这些研究分别用于卫星(810 nm 波长)和光纤(1560 nm 波长)量子网络。


扩展数据图3. 折叠式 Franson 干涉仪和两光子干涉条纹
a. 自由空间折叠式 Franson 干涉仪实现的示意图。
b. 测量的两光子干涉条纹,拟合为正弦函数(红色曲线),得到可见度 V = 98.7%。误差条表示来自泊松计数统计的一个标准差,然而这些误差远小于数据点的大小。
扩展数据表1. 集成光子对源的性能基准
光子对源的性能指标的全面比较。本研究的性能指标专门针对 TE20 和 TM10 模式给出。TPI,双光子干涉。
a. 使用 TE20 模式
b. 使用 TM10 模式
c. 使用 16 mW 泵浦
补充材料:
标题: 可扩展的近可见光集成光子对源用于卫星量子科学
补充材料说明 1. 光子对生成速率 (PGR) 和光子线宽的理论分析和推导
腔体增强的自发参量下转换(SPDC)的腔内光子对生成速率(PGR)和光子线宽最初是为法布里-佩罗腔体配置推导的[1]。然而,在本研究中,我们通过微共振器中的腔体增强自发四波混频(SFWM)生成光子对。在这一部分,我们特别为微共振器架构推导了 PGR 和光子线宽,该架构由一个闭环环形波导和用于输入和输出耦合的总线波导组成。理论推导遵循文献[1,2]的公式。
微共振器被建模为一个量子振荡器,表现出固有的 Kerr 非线性。在连续波(CW)泵浦光的作用下,光子对从泵浦模式生成,分别出现在信号(s)和闲频(i)模式中。相互作用哈密顿量由以下公式给出:
其中,a†_s(i) 和 a_s(i) 分别表示信号(闲频)模式的创建和湮灭算符。项 ϵ 表示泵浦场的腔内振幅,作为相干态 |ϵ⟩ 来处理,γ = ℏω²n₂v_g²/(cV_eff) 是非线性耦合系数[3]。在 γ 的定义中,ω/2π 是光子的频率(假设泵浦、信号和闲频光子的频率大致相同),n₂ 是非线性折射率,v_g 是群速度,c 是真空中的光速,V_eff = A_effL 是有效模式体积(其中 L 是微共振器的周长,A_eff 是有效模式面积)。该系统与外部输入-输出通道和内在损耗通道耦合,耦合率分别为 κ_ex 和 κ_0。总衰减率为 κ = κ_ex + κ_0,其中 κ/2π 对应于微共振器共振线宽的半高宽(FWHM)。
为了描述系统的动态,我们采用海森堡-朗之万方程,得到:
其中,下标 s (i) 表示与信号(闲频)模式对应的算符,a_in 和 a_loss 分别对应耦合到输入-输出通道和内在损耗通道的真空噪声。必须强调的是,在量子态下,耦合到这些真空场的影响不能被忽略。
方程 (S2) 随后被转换到频域,并求解稳态。通过引入基本的对易关系 [a, a†] = 1 和输入-输出关系 a_out = a_in − √κ_ex a,得到了从输出端口产生的信号光子和闲频光子的谱密度,表达式为:
这表明信号光子和闲频光子具有相同的谱线分布。该谱分布的半高宽(FWHM),记作 ∆ν,计算公式为:
在衰减率相同的情况下(即 κ_s = κ_i = κ),该表达式简化为 ∆ν ≈ 0.64κ/2π,这与参考文献[1]中报告的理论结论一致。对于我们的实验参数,其中 κ_s/2π = 605 MHz 和 κ_i/2π = 514 MHz,计算得到的光子线宽为 ∆ν = 357 MHz。
为了推导光子对生成速率(PGR),我们首先假设 κ₀ 和 κₑₓ 在所有相互作用模式中是均匀的,便于简化计算。对频域 ω 中的方程 (S3) 进行积分,得到输出端口的光子流量:
给定光子提取效率 η = κ_ex / κ,腔内光子对流量 α 可以表示为:
此外,通过代入腔内泵浦光子数的关系 |ϵ|² = (4κ_ex / κ²) · (P / ℏω),其中 P 是芯片上的泵浦功率(即总线波导中的泵浦功率),我们得到:
通过 V_eff = A_eff L,可以轻松推导出主文中的方程 (2) 的缩放规律。使用方程 (S7) 进行估算。使用与 TE20 模式相关的实验参数:ω/2π = 384 × 10¹² Hz,n₂ = 3.0 × 10⁻¹⁹ m²/W(考虑到相对于通信波段的轻微增加),v_g = 1.5 × 10⁸ m/s,V_eff = 2πR A_eff(A_eff = 0.5 µm²,R = 41.6 µm),P = 10⁻³ W,κ_ex/2π = 180 MHz,κ/2π = 530 MHz,我们得到理论值 PGR ≈ 1.7 × 10⁷ 对/秒/mW²。这一结果与主文中报告的 TE20 模式的实验结果非常一致。
通过将方程 (S7) 与光子提取效率 η = κ_ex / κ 结合,预告率 n₁(定义为一个通道中单光子探测率)可以表示为:
类似地,耦合到总线波导中的光子对流量 α_bus 可以表示为:
对于在固定频率下运行并使用稳定工艺制造的特定微共振器设计,方程 (S7–S9) 中的几何和材料参数保持不变。优化的主要自由度是 κ_ex,可以通过修改耦合区域的几何形状来精确调节。因此,当 κ_ex = 2κ₀ / 3、κ_ex = κ₀ 和 κ_ex = 4κ₀ / 3 时,分别能达到 α、n₁ 和 α_bus 的最大值。
在最大化光子对流量至关重要的应用中,必须考虑参量振荡阈值功率 P_th 下的流量。根据参考文献[4],阈值功率定义为:
其中,A 是一个无量纲系数,不会影响这里研究的基本缩放行为。通过将 P_th 代入方程 (S7),我们得到在阈值功率下可实现的最大光子对流量:
类似地,n₁ 和 α_bus 的最大值分别为 32A²κ_ex 和 32A²κ_ex²/κ。
这些结果意味着,对于固定的 κ₀,增加 κₑₓ 会同时增加阈值下的 α、n₁ 和 α_bus。然而,在实际应用中,高光子对流量通常伴随有一些权衡,包括单光子纯度降低(更高的多光子概率)、两光子干涉可见度降低、光谱线宽增加以及所需泵浦功率增大。这些相互竞争的因素必须仔细平衡,以满足量子应用中的具体要求。
Si₃N₄ 光子芯片使用优化的深紫外(DUV)减法工艺在 6 英寸晶圆上制造,过程在我们的 CMOS 工厂中进行。工艺流程如图 S1 所示。首先,通过低压化学气相沉积(LPCVD)在清洁的热湿 SiO₂ 基板上沉积 300 纳米厚的 Si₃N₄ 薄膜。随后,在 Si₃N₄ 上沉积一层 SiO₂ 薄膜,作为蚀刻硬掩模,同样通过 LPCVD 沉积。接下来,进行 DUV 步进光刻,然后进行干法蚀刻,将 DUV 光刻胶上的图案转移到 SiO₂ 硬掩模上,再转移到 Si₃N₄ 层。干法蚀刻使用的刻蚀气体包含 CHF₃ 和 O₂,以创建超光滑和垂直的蚀刻侧壁,这对于最小化波导中的光学损失至关重要。之后,去除光刻胶,并在氮气气氛中对整个晶圆进行 1200 ℃ 的热退火。然后,在晶圆上沉积 3 微米厚的 SiO₂ 顶部包层层,之后再次进行 1200 ℃ 的热退火。最后,进行紫外光光刻和深干法蚀刻,以创建平滑的芯片面,便于光纤耦合。晶圆通过背面研磨或切割被分割成单独的芯片。LPCVD Si₃N₄ 工艺的优化对于近可见光光子对生成特别关键,因为材料引起的背景噪声会严重降低重合与偶然比率(CAR)。在我们的制造过程中,LPCVD 前驱体氨气(NH₃)与二氯硅烷(SiCl₂H₂)的比例精确调节在 7:1 和 10:1 之间,以确保获得化学计量或略微富氮(N-rich)的 Si₃N₄ 成分。与通过等离子体增强化学气相沉积(PECVD)或富硅氮化物变体7制得的薄膜不同,后者通常含有过量的硅团簇和高氢含量,这些物质会作为颜色中心,而通过 LPCVD 生长的化学计量薄膜则抑制了通常在近可见光泵浦下发出的显著荧光。因此,这些化学计量薄膜不仅减少了线性传播损失,还最小化了荧光引起的背景噪声。因此,光子对的 CAR 得到了显著增强,从之前工作的 3 增加到我们工作的 1000 以上。图 S1.6英寸晶圆Si₃N₄工厂制造的DUV减法工艺流程。WOX,热湿氧化物(SiO₂)。补充材料说明 3. 设备表征
A. 表征 setup
用于表征微共振器损耗和色散的实验 setup 如图 S2 所示。该配置基于参考文献9中开发的方法。如图 S2a 所示,系统使用一台广泛调谐、无模式跳跃的近红外(NIR)外腔二极管激光器(ECDL,Santec TSL 系列),该激光器能够进行连续波长扫描。激光输出分为三条不同的路径。顶部支路的光信号通过 EDFA 放大,然后耦合进入一个调制周期性极化铌酸锂(CPLN)波导。这个过程会在近可见光谱范围(766-795 nm)产生宽带的二次谐波(SH)光。为了适应 EDFA 和 CPLN 的工作带宽,调谐激光器在 1532-1590 nm 范围内运行。如图 S2b 所示,产生的 SH 光进一步分为两条路径。下路径引导至原子参考单元,该单元包括两台蒸气池,分别含有铷(Rb)和钾(K)。通过饱和吸收光谱学,使用这些碱金属原子的超精细跃迁作为绝对频率参考。上路径则引导到待测设备(DUT),如图 S2c 所示。
下两条路径分别引导至光纤腔和不平衡马赫-曾德干涉仪(UMZI)。光纤腔的自由光谱范围(FSR)使用参考文献10中描述的边带调制技术进行预校准。因此,当近红外激光器扫描时,光纤腔的传输光谱——包含经过 FSR 校准的共振网格——作为精确的时域频率标尺。这使得可以实时校准与初始或中间参考频率的相对频率偏移。UMZI 被用来在光纤腔的离散共振频率之间进行频率插值。
来自光纤腔、UMZI、原子参考和待测设备(DUT)的传输信号与可调激光器的触发信号同步。这些信号通过数据采集(DAQ)模块同时采集,用于重建待测设备(微共振器)在 766-795 nm 光谱范围内的校准传输光谱。共振频率是通过使用峰值搜索算法从微共振器的传输光谱中提取的。这些频率随后用于计算自由光谱范围(FSR)和集成色散(Dint)谱线,如正文中详细描述的那样。对于每个共振,我们使用公式11来拟合谱线。图 S2. 近可见光谱范围内微共振器表征的实验 setup
a. NIR 激光源及其相对频率校准。一个 ECDL 被分成三条分支,其中两条分别引导至光纤腔和 UMZI,用于提供高精度的实时频率标尺和频率插值。
b. 频率倍增与绝对频率参考。NIR 激光通过 EDFA 放大,并通过 CPLN 波导进行频率倍增,覆盖 766–795 nm 范围。生成的 SH 光用于使用铷(Rb)和钾(K)蒸气池进行饱和吸收光谱学,作为绝对频率校准。
c. DUT 配置。所有传输信号——来自 DUT、原子参考和频率标尺——被同步并由 DAQ 模块采集,用于重建高分辨率传输光谱。
其中,kr 和 ki 分别代表顺时针和逆时针模式之间复合耦合系数的实部和虚部。由于方程 (S11) 中 κ0 和 κex 之间的数学对称性,仅通过单峰拟合无法区分这两个衰减率。然而,通过观察图 3a 中的共振深度在较长波长处加深,我们推断在此光谱范围内,微共振器在欠耦合状态(κex < κ0)下工作。B. 高阶模式识别
为了验证用于近可见光光子对生成的共振对应于 TE20 模式,我们通过将实验测得的 FSR 与数值仿真进行比较来识别模式阶次。考虑到微共振器半径较小(41.6 µm),弯曲效应对模式剖面和色散的影响不能忽略。因此,我们使用有限元法(FEM)在圆柱坐标系(r,ϕ,z)下求解频率依赖的有效折射率 neff(f)。采用的假设为 E(r, z, ϕ) = E(r, z)e^iξk₀ϕ,其中 k₀ 是真空中的波矢量,ξ 是需要确定的特征值。由于 ξ = neffR,有效折射率可表示为 neff = ξ/R。这里,R 代表有效模式半径,计算方法为由场分布 E(r, z, ϕ) 导出的 Poynting 向量的 ϕ 分量加权的 r 坐标。
具体来说,如图 S3a 所示,仿真假设微共振器半径为 r = 41.6 µm,波导宽度为 w = 2200 nm,厚度为 t = 300 nm。我们制造过程中使用的组成材料的 Sellmeier 方程,通过实验数据拟合,覆盖了 0.3 至 5.0 µm 的波长范围,具体如下:
a. 用于模式仿真的 Si₃N₄ 波导几何结构。
b. 从 Sellmeier 拟合实验数据得到的 Si₃N₄ 和 SiO₂ 的材料折射率。
c. 模拟的 TE10、TE20 和 TE30 模式的模式剖面,并计算其各自的 FSR 值。
d. 微共振器的测量传输光谱,其总线波导宽度故意偏离 TE20 相位匹配条件,显示多个模式家族的激发。其中,波长 λ 以微米为单位。得到的折射率剖面如图 S3b 所示。一旦获得了 neff(f),传播常数可以计算为 β(ω) = neff(f)ω/c,其中 ω 是角频率,c 是光速。单位长度的群延迟 β₁ = dβ/dω 通过对模拟色散数据进行多项式拟合来提取。最后,特定模式的自由光谱范围(FSR)计算为 fFSR = 1/(β₁R)。图 S3c 显示了 TE10、TE20 和 TE30 模式的模拟模式剖面,以及分别计算得出的 FSR (D1/2π) 值为 540.1、526.6 和 511.9 GHz。
为了实验性地识别模式家族,我们表征了一个微共振器,其总线波导宽度故意偏离 TE20 相位匹配条件,从而允许同时激发多个模式家族。在实验中,我们分辨出三组不同的共振,测得的 FSR 值分别为 540.6、527.4 和 510.3 GHz。通过将这些测量值与模拟结果进行比较,我们明确地将 527.4 GHz FSR 的共振组归属于 TE20 模式。此外,观察到的 534.4 GHz FSR 模式与模拟的 TM10 模式(532.8 GHz)相符。TM 模式的激发归因于总线波导在耦合区域的接近单位纵横比,这有助于交叉极化耦合12。补充材料说明 4. 实验配置
用于表征光子对源性能的详细实验配置如图 S4 所示。该配置采用模块化架构,划分为几个独立的功能子部分。每个模块通过单模光纤进行输入和输出耦合,模块间的连接通过标准光纤法兰建立。这种模块化方法提供了卓越的灵活性,允许通过重新配置模块连接的顺序来执行多样的表征实验。
对于光子对生成,连续波(CW)泵浦激光首先通过一个 4-f 光学系统,该系统旨在滤除来自激光源的旁瓣噪声。如图 S4a 所示,该系统由两片焦距为 f = 200 mm 的相同镜头组成。入射的激光束首先通过一个具有 750 nm 闪光波长和 1200 g/mm 齿距的光栅进行衍射,从而确保不同频率成分沿不同的空间方向分布。精确放置在傅里叶平面中的狭缝作为带通滤波器,隔离所需的频率成分。经过滤波后的泵浦光随后通过第二个光栅进行频率重组合。为了确保最佳性能,该通带的中心波长被仔细调整,以匹配用于光子对生成的微共振器中泵浦模式的共振频率。
随后,激光如图 S4b 所示被引导到微共振器。为了实现最佳耦合,我们使用线性偏振器将入射光束的偏振方向与总线波导的 TE00/TM00 模式对准。前置的半波片(HWP)用于旋转入射到偏振器上的偏振,从而方便精确和持续调整芯片上的泵浦功率。通过一对非球面透镜(Thorlabs C392TME-B),将偏振光耦合进出芯片。为了表征输入和输出光学面耦合性能,我们在三个特定位置测量光功率,即 P1(自由空间中的入射功率),P2(自由空间中的透射功率)和 P3(耦合到光纤中的功率)。通过使激光与微共振器的共振频率错开以避免腔吸收,输入耦合效率被确定为 ηin = P2/P1,而整个系统的通量定义为 ηinηout = P3/P1。通过此过程,我们得到的耦合值为 ηin ≈ 0.33 和 ηout ≈ 0.50。
为了空间地分离生成的信号光子和闲置光子,采用了多级带通滤波系统。如图 S4c 所示,信号光子和闲置光子首先通过传输和反射在第一阶段的滤波器中进行初步分离。随后,使用一系列滤波器进一步抑制信号和闲置带外的频率,特别是剩余的泵浦激光光,后者保持共线传播。为了验证滤波效果,我们通过使泵浦频率稍微错开微共振器的共振频率来实验性地抑制光子对的生成。然后,逐个将滤波器插入到闲置光子和信号光子的路径中,直到由 APD 注册的光子计数率降至其固有的暗计数水平。此协议确认泵浦激光被有效排除。图 S4d 和 S4e 中所示的功能模块分别用于表征启用单光子特性,特别是启用的二阶相关函数 g(2)(0) 和单光子干涉可见度。为了测量 g(2)(0) 并验证单光子纯度,启用的信号光子被导入到一个 50:50 光束分 splitter(BS)中,该分 splitter 将信号分成两个对称路径进行同时检测。在图 S4e 中,为了量化单光子干涉可见度,输入光子首先通过偏振光束分 splitter(PBS)和半波板(HWP)的组合被制备为叠加态 (|H⟩ + |V⟩)/√2。然后通过专用的相位移器在水平(H)和垂直(V)分量之间引入相对相位 φ。这个相位移器由两块角度不同的石英板组成,它们的光轴相互垂直地粘合在一起。通过移动相位移器,能够精确调节相位。然后将光子再次投射到初始状态,从而解析干涉条纹。
为了解析能量时间纠缠的双光子干涉可见度,图 S4f 中使用了一个折叠式弗朗森干涉仪。通过使用四分之一波片(QWP)和半波片(HWP)的组合(在示意图中标记为“Q+P”),精确调整入射光子的偏振,确保随后的偏振光束分 splitter(PBS)将光通量均等分配。经过第一个 PBS 后,光子被分配到两条路径上,路径长度差为 2 米,对应于大约 6.6 纳秒的时间延迟。这个延迟设计为显著大于双光子相关直方图的全宽半最大值(TE20 为 0.7 纳秒,TM10 为 1.2 纳秒),确保单光子干涉被禁止。两条路径在第二个 PBS 处重新组合,并投影到叠加态 (|H⟩ + |V⟩)/√2 以观察双光子干涉。为了控制量子干涉,在第一个 PBS 之前插入与图 S4e 中相同的双折射相位移器,用于调整两条路径之间的相对相位。值得注意的是,由于折叠式弗朗森干涉仪具有不平衡配置,其中光子通过截然不同长度的路径传播,可能会发生空间模不匹配。为了确保两条路径的模式配置在第二个 PBS 处重新组合并随后通过准直器收集时是相同的,集成了一个 4-f 光学系统,该系统由两个焦距为 400 毫米的透镜组成。这个 4-f 系统确保长臂对应的空间模转换接近于单位矩阵,从而保持高干涉可见度。此外,我们通过直接测量微谐振腔发射光的光谱分布来分析光子对的噪声特性。如图 S4g 所示,发射的光子首先通过一个凹槽滤波器,该滤波器设计用于排除泵浦激光,其消光比超过 100 dB。过滤后的信号随后被导向一个光栅光谱仪(普林斯顿仪器 HRS-750),该光谱仪配备一个深度冷却的 1-D InGaAs 相机(普林斯顿仪器 PyLoN-IR 1.7)。需要注意的是,尽管该相机主要优化用于近红外光谱(800-1700 nm),但它在 780 nm 时仍保持大约 20% 的量子效率。这一灵敏度足以用于表征我们源在近可见波段的噪声光谱。
在图 S4 中,所有单独模块的端口都已标记,并根据所需的测量分别定义了它们的具体连接方式。• 光谱亮度和CAR:泵浦 → a, b → c1, c2&c3 → APDs。
• 宣告的二阶相关:泵浦 → a, b → c1, c3 → d1, c2&d2&d3 → APDs。
• 宣告的单光子干涉:泵浦 → a, b → c1, c3 → e1, c2&e2 → APDs。
• 双光子纠缠干涉:泵浦 → a, b → f1, f2 → c1, c2&c3 → APDs。
• 发射光谱分析:泵浦 → a, b → g1。图 S4. 用于光子对性能表征的模块化实验配置。该设置分为不同的功能模块,通过单模光纤和法兰相互连接,允许根据测量需求进行重新配置。
a. 基于光栅的 4-f 光谱清理系统,用于抑制泵浦边带噪声。
b. 通过边缘耦合的芯片耦合接口。
c. 多级过滤系统,用于高消光比泵浦抑制(> 100 dB)和信号与空闲光子的空间分离。
d. HBT 干涉仪,用于宣告的二阶相关 g(2)(0) 测量。
e. 偏振干涉仪,用于宣告的单光子干涉。
f. 折叠式 Franson 干涉仪,配备 4-f 模式匹配系统,用于解析能量-时间纠缠干涉条纹。
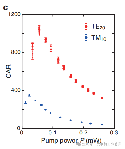
g. 配有深度冷却的 InGaAs 相机的光栅光谱仪,用于高分辨率的发射光谱分析。补充材料注释 5. 补充实验结果和讨论
A. 使用 TM10 模式的近可见光子对生成
通过利用晶圆级的制造和几何参数的调整,我们识别出一种微共振器,其 TM10 模式表现出由 AMX 引起的局部反常色散(GVD)。我们基于此设备实验表征了光子对的性能。通过减去 FSR (D1/2π = 534.4 GHz),我们提取并呈现了 TM10 模式的 Dint/2π 轮廓,如图 S5a 所示。我们识别了目标信号、泵浦和空闲光子的共振频率,分别为 383.28230、384.35063 和 385.41900 THz。这些相互作用的 TM10 模式的传输轮廓在图 S5b 中详细展示。对这些共振进行洛伦兹拟合,得到信号、泵浦和空闲模式的总衰减率 (κ0 + κex)/2π 分别为 240、269 和 253 MHz,对应的加载 Q 值分别为 1.6×10^6、1.4×10^6 和 1.5×10^6。由于 Q 值的增强,最终的双光子相关直方图显示出 FWHM 为 1.2 ns。我们进一步提取了光子对生成率(PGR)为 a = 9.29×10^7 对/s/mW²。结合窄的光子线宽 ∆ν = 159 MHz,得到的光谱亮度为 5.84 × 10^8 对/s/mW²/GHz。在泵浦功率 P = 24 µW 时,CAR 达到峰值 350 ± 10。值得注意的是,该最大 CAR 低于在正文中呈现的 TE20 模式的 CAR。对于该特定模式的全面噪声分析将在后续的 C 小节中提供。图 S5c 显示了 gh(2)(0) 随着启示率 n1 的变化情况。在 P = 36 µW 并使用 1.2 ns 的重合窗口宽度时,我们观察到 gh(2)(0) = 0.0073 ± 0.0037,n1 = 17 kHz。与 TE20 模式的行为一致,即使泵浦功率接近 OPO 阈值功率 (Pth ≈ 0.7 mW),启示率也达到了 n1 = 2.1 MHz,而 gh(2)(0) 仍保持在 0.3 以下。图 S5d 显示了表征能量-时间纠缠的双光子干涉条纹。测量在 P = 62 µW 下进行,使用 4.0 ns 的重合窗口宽度。每个数据点代表在 30 秒的积分时间内平均的重合计数率 ncc。在没有进行背景扣除的情况下,通过对数据进行正弦拟合,得到原始干涉可见度为 V = (97.9 ± 1.9)%图 S5. 从 TM10 模式生成的光子对的表征。a, 测量的 Dint/2π 曲线。实验数据确认了 TM10 模式的局部反常色散(GVD)的存在,与 TE00 模式表现出的正常 GVD(模拟值,实线)形成鲜明对比。插图:相位匹配窗口的放大视图。泵浦模式的频率低于信号和闲频率的算术平均值(虚线),满足 SFWM 所需的相位匹配条件。b, 信号、泵浦和闲模式的共振曲线,并与其洛伦兹拟合叠加。提取的 κ0/2π 和 κex/2π 值标注在每个模式上。c, 启示的单光子纯度 gh(2)(0) 随启示率 n1 的变化。在 P = 0.7 mW 时,尽管 n1 达到 2.1 MHz,启示的 gh(2)(0) 仍然保持较低,确认了强健的单光子统计特性。插图:放大视图显示 gh(2)(0) < 0.05。d, 测量的双光子干涉条纹,经过正弦拟合(红线),得到的可见度为 V = 97.9%。误差条表示根据泊松计数统计得出的标准偏差,但它们远小于数据点的大小。
B. 不同泵浦功率下的双光子干涉直方图
在正文中,我们表征了双光子干涉可见度 V 对泵浦功率 P 的依赖关系,该关系是通过双光子重合直方图得出的。图 S6 显示了不同 P 值(从 0.071 到 1.637 mW)下的这些直方图。随着 P 增加,V 从 0.984 降至 0.702。值得注意的是,即使在最高的 P 值下——此时 V 略微低于 CHSH 违反极限(V ≈ 70.7%)——中央重合峰几乎完全消失,显示出破坏性干涉的效果。这表明,折叠的弗兰森干涉仪在整个测量范围内保持了高稳定性和精确的相位控制。V 在较高 P 值下的退化主要归因于噪声底部的升高,随着 P 增加,这种噪声变得越来越显著。噪声的详细分析将在下一个子节中提供。
图 S6. 不同泵浦功率下的双光子干涉直方图。显示了不同泵浦功率 P 下的三峰双光子干涉(TPI)直方图。构造性(蓝线)和破坏性(红线)干涉被标出。重合计数率对应 50 ps 的时间窗口。泵浦功率 P 从 0.071 mW 到 1.637 mW 变化,TPI 可见度(在 3.0 ns 内积分)从 0.984 降至 0.702。我们首先表征了微共振器 TE20 模式的发射光谱。图 S7a 展示了在泵浦功率 P = 443 µW 和集成时间为 5400 秒时获得的测量光谱。图 S7a 显示了不对称的光子计数:长于泵浦波长(斯托克斯侧)的计数率明显高于短于泵浦波长(反斯托克斯侧)的计数率。这种光谱不对称揭示了背景噪声不仅包括自发的拉曼散射——源自无定形介质的玻色峰13——还包括来自残余硅簇的光致发光(PL)8。尽管通过 LPCVD 进行的薄膜沉积工艺已被优化以最小化此类缺陷,这些硅簇仍然是一个不可避免的宽带发射源。图S7. 噪声分析a,TE20 模式的光子发射光谱。该光谱是在 P = 443 µW 和集成时间 5400 秒下获得的。光谱的不对称性揭示了斯托克斯侧(长波长)上存在光致发光光子。
b,来自 TM10 和 TE20 模式的光子对的双光子相关直方图。TM10 模式的较高 Q 因子导致更大的 FWHM。
c,基于 TM10 和 TE20 模式的光子对源的 CAR 对比。TM10 模式的最大 CAR 为 350 ± 10,远低于 TE20 模式的值。这种噪声在时间上均匀分布,通过重合门限有效抑制,从而贡献了较小的偶然重合底噪声。CAR(偶然重合率)作为一个关键指标,用于反映噪声的抑制效果。虽然背景噪声光子仅会略微限制启发式单光子和能量时间纠缠源的性能,但CAR仍然是量化这种噪声影响的重要指标。在微谐振腔中报告的CAR值从几百到超过12,000不等。下面我们将提供一个关于决定微谐振腔中最大可实现CAR的因素的综合分析。
在微谐振腔中SFWM的理想理论框架下,PGR预计会随着Q³的增加而增加。在给定泵浦功率P的情况下,光子对通量α ∝ Q³P²,这意味着ncc ∝ Q³P²。同时,噪声光子(拉曼散射和光致发光)的发射率β与QP成正比。因此,偶然重合率nacc给定为nacc ∝ (Q³P² + QP)²∆t,其中∆t是二光子相关直方图的FWHM。由于∆t与腔体寿命成正比(即∆t ∝ Q,如图S7b所示),在低P情况下,我们发现nacc ∝ (QP)² · Q = Q³P²。在这些理想条件下,ncc和nacc展现出相同的Q缩放行为。因此,理论上最大CAR应该保持不变,无论Q值如何。
然而,正如图S7c所示,我们的实验观察结果揭示了随着Q值的增加,最大可实现的CAR出现明显的下降。我们将此归因于在高Q区间能量守恒条件的灵敏度增加。随着Q因子的升高,腔体共振线宽显著变窄,这对局部反常群速度色散(GVD)与由自相位调制(SPM)和交叉相位调制(XPM)引起的非线性频率偏移之间的平衡提出了更严格的要求。尽管后者(SPM和XPM)依赖于功率,但前者(GVD)对制造过程中的变化极其敏感。这种不匹配导致实际的PGR缩放低于理想的Q³,即实际上PGR ∝ Q³−ϵ(其中ϵ > 0)。相比之下,偶然背景的生成——即噪声光子的随机重叠——不受共振对准灵敏度的限制,并且继续按Q³的比例缩放。总结来说,实际的CAR按1/Qϵ的比例缩放,解释了在高Q的TM10模式中观察到的CAR下降。这一结果突出了腔体增强与最大可实现CAR之间的基本权衡。
D. 损耗预算
系统效率对于实际的量子信息应用至关重要。PGR的推导使得能够准确提取信号光子和闲置光子的整体系统效率ηs,i。对于TE20模式(在正文中展示),提取的效率为ηs = 4.8% 和 ηi = 6.4%;对于TM10模式(在补充材料中展示),提取的效率为ηs = 5.0% 和 ηi = 5.5%。这一整体效率考虑了几个离散的损耗机制,包括从微共振器中提取光子、光纤到芯片边缘的耦合、光谱过滤以及单光子探测器的效率。每个单独组件的效率是独立测量或估算的,如表S1所示。值得注意的是,通过将这些单独组件的效率值相乘计算出的整体效率与直接从PGR测量中提取的结果高度一致。
损耗预算表S1提供了进一步优化的路径,并为卫星平台上的部署性能评估提供了依据。通过利用高度过耦合的微共振器,光子提取效率可以提高到80%以上。κex的增加同时提升了参数阈值Pth和CAR,从而实现更高的最大光子对流量α_max和改进的量子态保真度。此外,正如第6条说明中详细阐述的,通过先进的封装技术,光纤-芯片耦合效率可以提高到75%。因此,从微共振器内生成到耦合到光纤的单光子总效率可以达到60%(2.2 dB)。对于双光子通道,这对应于36%的综合效率(4.4 dB),这与文献15中报道的典型发射器效率(25%)相当。
表 S1. PGR 测量设置的损耗预算
补充材料说明 6. 封装的讨论与分析
虽然本研究中的近可见光子对源使用自由空间光学设置进行表征,但该平台本质上是为紧凑的系统级封装设计的。如图 S8a 所示,DFB 激光芯片与 Si3N4 芯片进行边缘耦合。在泵浦光子对源之前,激光输出首先通过一系列微谐振腔滤波器,以抑制边带噪声和自发辐射。同时,DFB 激光的频率通过激光自注入锁定技术与第一个滤波器微谐振腔进行稳定。生成的信号和闲置光子通过基于其不同波长的 UMZI(不平衡马赫–曾德干涉仪)在空间上进行分离。由于 Si3N4 具有低热光系数,芯片展现出固有的热稳定性。生成的光子的发射频率可以通过标准的热电冷却器(TEC)稳定在 10 MHz 级别,达到高精度控制,而无需复杂的主动光学反馈。最后,光子对通过优化的反向锥形接头与单模光纤进行边缘耦合。
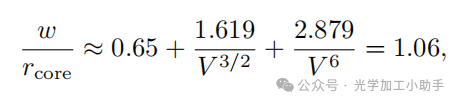
高效耦合到 Si3N4 波导锥形结构是通过超高数值孔径(UHNA)光纤来实现的。这里我们使用的是 UHNA-3 光纤。在 780 nm 处,光纤的归一化频率(V 数)计算公式为:
其中,rcore = 0.9 µm 是光纤核心半径,NA = 0.35 是数值孔径,λ = 780 nm 是工作波长。尽管 V 略微超过了多模截止值(V < 2.405),但通过使用足够短的直光纤段,仍然保持单模工作。模式场半径 w 是通过 Marcuse 方程估算的18
从而得到模式场直径(MFD)为 2w = 1.9 µm。为了评估 UHNA-3 光纤与 Si3N4 反向锥形波导(宽度 300 nm,厚度 120 nm)之间的耦合,理论耦合效率 η 是通过计算反向锥形波导的 TE00 模式与高斯光纤模式之间的功率重叠积分来确定的。
其中 Ex 表示 TE00 模式的主导场分量,G(x, y) 是表示 UHNA 光纤圆形模式剖面的标准化高斯分布,MFD 为 1.9 µm。这个计算得出的理论耦合效率大约为 87%。为了与标准基础设施接口,UHNA-3 光纤通过熔融接续与 780-HP 单模光纤连接。通过在接续过程中利用热核扩展(如图 S8b 所示),我们实现了超过 95% 的接续效率。实验上,我们测得每个芯片面上的总光纤耦合效率超过 75%。
图 S8. 系统封装和光纤芯片耦合示意图。
a. 混合集成架构。 DFB 激光芯片通过边缘耦合连接到 Si3N4 光子集成电路 (PIC)。一系列微共振器滤波器用于抑制旁瓣噪声和自发辐射,然后激光通过自注入锁定到主高Q微共振器,在该共振器中生成光子对。使用 UMZI(不平衡马赫-曾德尔干涉仪)进行信号光子和闲光子的空间解复用。
b. 光纤-芯片接口。 生成的光子通过优化的逆锥形耦合到 UHNA-3 光纤中。然后,UHNA-3 光纤通过熔融对接连接到 780-HP 单模光纤。