上海奥麦达微电子有限公司

专业高效
微纳加工公司

原子层ALD镀膜代工--原子层沉积(ALD)原子薄层In₂O₃通道用于BEOL逻辑/射频(RF)和存储应用

#原子层镀膜 #ald镀膜 #in2o3镀膜 #原子层沉积 #氧化物半导体晶体管

大纲

  • 引言

  • 开发具有高达113 cm²/Vs的迁移率的ALD原子层薄In₂O₃通道(VLSI 2024,152 cm²/Vs)

  • 展示具有接近20 mA/µm漏极电流的In₂O₃(GAA;D模式)以及在400°C O₂退火后的高阈值电压稳定性

  • 展示BEOL兼容的ALD In₂O₃射频晶体管,其fT接近40 GHz范围,而fmax仍然滞后

  • 实现具有最小通道长度7 nm的In₂O₃铁电晶体管(Fe-FETs)

  • 结论v


划重点:#原子层沉积镀膜代加工设备说明

目前设备配置为1台8寸Beneq 1台12寸beneq,余下为自制设备7台,支持2-12寸原子层镀膜沉积,充沛的产能可以满足企业客户大批量制造加工需求。

加工能力:

可沉积薄膜:

氧化硅(SIO2)氧化铝(Al2O3),氧化锆(ZrO2),氧化铪(HfO2),氧化钛(TiO2),氧化镓(Ga2O3),氮化铝(AlN),氮化钛(TiN),氧化锌(ZnO)氧化铟(In₂O₃)

支持尺寸:2-12寸(部分材料支持12寸工艺)

备注:对于ALD工艺样品必须彻底清洗干净,需耐温,无毒,无易分解、无易扩散(如Cu),无粉末,不能用mark笔标记样品,不能有高温胶带!

膜厚均匀1% 8寸范围

640

我们为客户提供晶圆(硅晶圆,玻璃晶圆,SOI晶圆,GaAs,蓝宝石,碳化硅(导电,非绝缘),Ga2O3,金刚石,GaN(外延片/衬底)),镀膜(PVD,cvd,Ald,PLD)和材料(Au Cu Ag Pt Al Cr Ti Ni Sio2 Tio2 Ti3O5,Ta2O5,ZrO2,TiN,ALN,ZnO,HfO2。。更多材料),键合(石英石英键合,蓝宝石蓝宝石键合)光刻,高精度掩模版,外延,掺杂,6寸DUVKRF电子束光刻等产品及加工服务(请找小编领取我们晶圆标品库存列表,为您的科学实验加速。

请联系小编免费获取原文

640
文章名:Atomic-layer-deposited atomically thin In2Ochannel for  BEOL logic/RF and memory applications
作者:Mengwei Si, Adam Charnas, Zehao Lin, Pai-Ying Liao,  Zhuocheng Zhang, Dongqi Zheng, Jian-Yu Lin, Chang Niu, Sumi Lee, Kisoo Nam
单位:普渡大学
引言

要求:

  • 低热预算(< 400°C)

  • 高驱动电流和低漏电流

  • 可扩展性

  • 可靠性

  • 高均匀性

  • BEOL制造中的稳定性

640 (1)

优势:

  • 摩尔定律的延续

  • 逻辑/存储电路的3D IC折叠

  • 近存储计算/内存计算

BEOL兼容材料和器件用于单体3D集成
溅射法制备的氧化物半导体晶体管
640 (2)
ALD氧化物半导体的优势

低热预算225°C

原子级光滑表面

超薄半导体薄膜

晶圆级均匀薄膜

向3D集成的符合性薄膜

640 (3)
640 (4)
640 (5)
640 (6)
ALD In₂O₃ 纳米薄 MOSFET 和 Fe-FET
640 (7)
640 (8)

SiO₂/Si基板清洁与制造工艺流程

ALD 10 nm Al₂O₃ at 175°C (原子层沉积10 nm Al₂O₃薄膜,温度为175°C)
40 nm W sputtering (40 nm钨溅射)
W gate isolation by CF₄/Ar dry etch (CF₄/Ar干法刻蚀钨隔离门)
ALD 3-10 nm HfO₂ at 200°C (原子层沉积3-10 nm HfO₂薄膜,温度为200°C)
ALD 8 nm HZO/0-2 nm Al₂O₃ at 200°C (原子层沉积8 nm HZO/0-2 nm Al₂O₃薄膜,温度为200°C)
ALD Deposition of In₂O₃ at 225°C (在225°C下原子层沉积In₂O₃薄膜)
In₂O₃ isolation by HCl solution (用HCl溶液对In₂O₃进行隔离)
Ni S/D contact formation (Ni源/漏接触形成)

ALD In₂O₃ MOSFET的I-V特性(薄至0.7nm)
640 (9)
640 (10)
In₂O₃ FETs电气性能与厚度缩放
640 (11)
0.8 nm厚通道器件在Vds=1V下的电流为400 µA/µm
0.5 nm厚通道器件仍然在导电!
In₂O₃ FETs电气性能与介电材料缩放
640 (12)
记录 ION = 1.2 A/mm at VG - VT = 1 V and VD = 1 V
记录 gm = 1.5 S/mm at VG - VT = 1 V and VD = 1 V
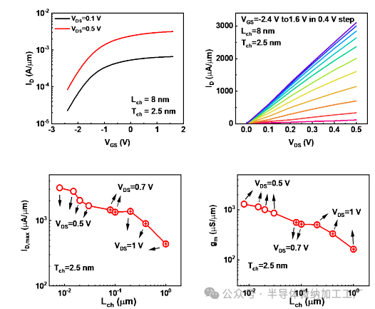
In₂O₃ FETs电气性能与通道长度缩放
640 (13)
通过将通道长度缩小到8 nm,In₂O₃ FET的ID达到了3.1 mA/µm,VDS = 0.5 V
In₂O₃ FETs与其他器件的基准对比
640 (14)
In₂O₃的超低接触电阻和在1-2 nm厚度下的高ID、gm和迁移率(μ)
640 (15)
高迁移率 > 100 cm²/V·s
最近的研究成果:迁移率 > 150 cm²/V·s

高质量的氧化物/半导体界面

640 (16)
几乎理想的SS(子阈值摆幅)降至63.8 mV/dec,
Dit ~ 6×10¹¹ cm⁻²·eV⁻¹
高温O₂退火
640 (17)

工艺流程

基底清洁

10 nm Al₂O₃通过ALD沉积

40 nm W通过溅射沉积

5 nm HfO₂在200°C下通过ALD沉积(使用TDMAHf)

1.6/3 nm In₂O₃在225°C下通过ALD沉积(使用TMIn)

400°C下O₂退火10分钟

通过干法刻蚀进行In₂O₃隔离

通过电子束蒸发沉积40 nm Ni作为源/漏极(S/D)接触

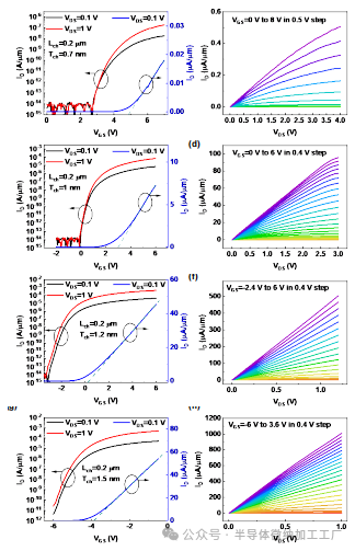
增强模式特性
640 (18)
耗尽模式特性
640 (19)
长期偏压应力测试(Long Time Bias Stress Test)
640 (20)

阈值电压偏移(Threshold Voltage Shift)

640 (21)

Benchmark(基准测试)


640 (22)
低接触电阻(Low Contact Resistance)
640 (23)
记录低接触电阻(Rc),达到Landauer极限,归因于负肖特基势垒(SB)
640 (24)
ALD In2O3 MOSFET实现创纪录的高漏极电流
7nm In2O3平面晶体管实现接近10 A/mm的电流密度
640 (25)
40nm In2O3 GAA纳米带晶体管实现接近20 A/mm的电流密度
640 (26)
为什么ALD In2O3 MOSFET的迁移率低于Si、Ge、GaAs,但它提供了更高的漏电流
640 (27)
超出原始计划的主要ALD In2O3 FETs结果
1. 通过Gate-All-Around结构实现的超高漏电流(20 mA/μm)
640 (28)
2. 高电子迁移率:152 cm²/V·s,优于其他氧化物半导体
640 (29)
3. 超低接触电阻:23.4 Ω·cm
640 (30)
超薄氧化铟薄膜晶体管(In2O3 TFTs)具有GHz工作频率
640 (31)
超薄原子层沉积(ALD)In2O3射频晶体管,创下36 GHz的记录高fT,并具有BEOL兼容性
640 (32)
原子层沉积(ALD)铁电和反铁电HZO薄膜的制备
640 (33)

ALD WN(氮化钨沉积):

    • 前驱体: BTBMW(Boron Tris-Methoxy), NH3(氨气)

    • 沉积温度: 400°C

ALD HZO(铪锆氧化物沉积):

    • Hf:Zr = 1:1(铁电(FE))

    • Hf:Zr = 1:3(反铁电(AFE))

前驱体: TDMAHf(四甲基氨基铪),TDMAZr(四甲基氨基锆),H2O(蒸气)

沉积温度: 200°C

配比:

ALD WN(氮化钨沉积):

快速热退火(RTA): 400-500°C,在氮气(N2)气氛中退火1分钟。

金属蒸发:

金属层: Ti/Au(钛/金)蒸发。

干法刻蚀:

刻蚀气体: CF4/Ar(氟化碳/氩气)进行干法刻蚀。

铁电性和反铁电性的控制
640 (34)
铁电HZO(FE HZO)和反铁电HZO(AFE HZO)相的结构控制:
使用WN电极的ALD铁电和反铁电HZO薄膜制备
640 (35)
20nm到4nm厚度的铁电(FE)和反铁电(AFE)HZO薄膜
BEOL兼容的良好表现In2O3铁电场效应晶体管(FE-FETs)
640 (35)
良好表现的BEOL兼容In₂O₃铁电场效应晶体管(FE-FETs)
640 (36)
高度稳健的全氧化物晶体管:以超薄In₂O₃作为通道、厚In₂O₃作为金属栅极,面向垂直逻辑和存储器
640 (38)
2024 IEDM:首个BEOL兼容的全ALD通道CFETs,使用IGZO和Te材料用于单体3D集成(C. Niu等人)
640 (39)

结论

  • 高性能BEOL兼容的In₂O₃晶体管通过低温原子层沉积(ALD)技术成功展示,通道厚度为0.7-3.5 nm,通道长度最小可达40 nm,最大漏电流为10-20 A/mm(VDS为1.7 V),电子迁移率为113-152 cm²/V·s,超薄通道厚度可至0.7 nm,亚阈值摆幅(SS)达到63.8 mV/dec,对应的缺陷态密度(Dit)约为6×10¹¹ cm⁻²·eV⁻¹,接触电阻(RC)约为0.026 Ω·mm,且在氢气环境和BEOL制造工艺中稳定。

  • 展示了BEOL兼容的ALD In₂O₃射频晶体管,其工作频率fT接近40 GHz,尽管fmax仍有所滞后。

  • ALD In₂O₃晶体管具有3D鳍式和GAA结构,表明ALD工艺相较于溅射薄膜具有独特优势,能够实现3D集成均匀沉积

  • 展示了BEOL兼容的ALD In₂O₃铁电场效应晶体管(Fe-FET),其存储窗口为2.1 eV,保持时间超过10年,耐久性超过10⁹次循环。


关于我们:

OMeda成立于2021年,由3名在微纳加工行业拥有超过7年经验的工艺,项目人员创立。目前拥有员工15人,在微纳加工(涂层、光刻、蚀刻、双光子印刷、键合)等领域拥有丰富的经验。 同时,我们支持4/6/8英寸晶圆的纳米加工。 部分设备和工艺支持12英寸晶圆工艺。针对MEMS传感器、柔性传感器、微流控、微纳光学等行业。

中国(上海)自由贸易试验区临港新片区业盛路188号450室 电话:+86 188 233 40140 邮箱:jing.chen@omeda-optics.com

来源:OMeda

关于我们

OMeda(上海奥麦达微)成立于2021年,由3名在微纳加工行业拥有超过7年经验的工艺,项目人员创立。在微纳加工(镀膜、光刻、蚀刻、双光子打印、键合,键合)等工艺拥有丰富的经验。 同时,我们支持4/6/8英寸晶圆的纳米加工。部分设备和工艺支持12英寸晶圆工艺。针对MEMS传感器、柔性传感器、微流控、微纳光学,激光器,光子集成电路,Micro LED,功率器件等行业。

姓名:*
邮件:*
公司名称:
电话:*
您的需求: