硅中的色心在量子技术中作为单光子源具有巨大的潜力。某些色心——如T中心——还具有光学活性的自旋,可以用于生成纠缠光子和多自旋寄存器,进而实现自旋-光子接口。本文探讨了在硅中生成几种类型的色心,以便用于大规模可制造的硅上绝缘体量子器件。我们研究了在器件开发过程中,不同工艺如何影响量子发射体的存在,包括热退火和光学纳米结构的制造步骤。研究揭示了不同色心之间耦合的形成动力学,确定了退火工艺的最佳参数,并报告了退火时间和纳米制造工艺对光子集成电路的敏感性。

可注入元素:H He P C Er+ Ge Yb B,P,F,Al,N,Ar,H,Si,As,O,He
能提供MeV级Er Fe、Ni、Cu、V、Ti、Mo、Zr、Mg、Al、Si、Au、Ag、N、O等元素的离子束,温度室温 到 800℃ Fe、Ni、Cu、V、Ti、Mo、Zr、Mg、Al、Si、Au、Ag、N、O
28Si, 29Si, 14N, 15N or 74Ge晶圆:SICOi晶圆 碳化硅外延片 ,更有 美国高纯碳化硅和碳化硅外延片硅G色心用:220nm高阻SOI晶圆-C12+RTP+电子束光刻刻蚀硅T色心用:220nm高阻SOI晶圆-C12+RTP+H+RTP+电子束光刻刻蚀我们为客户提供晶圆(硅晶圆,玻璃晶圆,SOI晶圆,GaAs,蓝宝石,碳化硅(导电,非绝缘),Ga2O3,金刚石,GaN(外延片/衬底)),镀膜(PVD,cvd,Ald,PLD)和材料(Au Cu Ag Pt Al Cr Ti Ni Sio2 Tio2 Ti3O5,Ta2O5,ZrO2,TiN,ALN,ZnO,HfO2。。更多材料),键合(石英石英键合,蓝宝石蓝宝石键合)光刻,高精度掩模版,外延,掺杂,电子束光刻等产品及加工服务(请找小编领取我们晶圆标品库存列表,为您的科学实验加速。
请联系小编免费获取原文
文章名:Colour Centre Formation in Silicon-On-Insulator for On-Chip Photonic Integration作者:Arnulf J. Snedker-Nielsen,1 David R. Gongora,2, 1 Magnus L. Madsen,1 Christian H. Christiansen,1 Eike L.Piehorsch,1 Mathias Ø. Augustesen,1 Elvedin Memisevic,1 Sangeeth Kallatt,1 Rodrigo A. Thomas,1 Mark KamperSvendsen,1 Peter Krogstrup Jeppesen,1 Marianne E. Bathen,2 Lasse Vines,2 Peter Granum,1, ∗and Stefano Paesani1单位:哥本哈根大学&奥斯陆大学
最近,硅中的色心(SiCCs)作为量子发射体的开发,为硅基发射体光子量子技术的发展开辟了有趣的前景。在硅中直接嵌入光学活性的人工原子,为通过利用先进的半导体制造和集成功能来扩展光子器件提供了一条有前景的路径[1-3]。在过去几年中,已经展示了硅中不同类型的色心能够在红外光谱范围内发射单光子,包括G中心(发射波长约为1278 nm[4, 5])、T中心(1325 nm[6])、W中心(1217 nm[7, 8])、C中心(1570 nm[9])以及其他可能的候选色心,例如I和M中心[10]。其中一些色心,如T、M和I中心,还具有与光学发射耦合的基态自旋双重态[11]。这种耦合在固态介质中创建了一个自旋-光子接口,使得多个光子之间以及与系统自旋之间的纠缠生成成为可能,这在量子计算和量子网络应用中是至关重要的功能[12-14]。
硅中色心的技术进展包括它们在光子波导和纳米结构中的集成,以增强光子发射[15-19],实现与发射光子耦合的电子自旋的高相干控制[11],以及在同一色心内进行长寿命电子和核自旋之间的多量子比特操作[20],此外,还包括T中心之间分离自旋的光子介导分布式操作[21]。
实现SiCC量子光子器件的关键是硅上绝缘体(SOI)中缺陷的创建,SOI是可扩展光子集成的标准材料堆叠。生成SiCC的方法通常基于离子注入和热处理。关于在SOI中生成T中心和其他缺陷的注入工艺的初步研究已在文献[22, 23]中报道。然而,关于集成量子器件中色心形成过程的许多方面仍未确定,例如光学缺陷之间的耦合形成动力学、不同色心的最佳工艺参数以及纳米器件制造过程的影响。
在本研究中,我们探讨了硅基集成量子光子器件开发中的不同工艺如何影响色心的形成。我们考察了广泛的注入和热退火参数的影响,包括温度和退火时间,以及与光子纳米结构集成的各个制造步骤。我们同时监测了多种类型的SiCC,包括T、I、M、C、G和W色心,以研究它们的形成过程如何变化以及它们之间的关联。详细的参数扫描揭示了它们在形成过程中的动态变化,使我们能够观察到在改变退火温度时的激活、抑制和恢复机制。我们确定了SOI中色心形成的优化退火参数和制造工艺,其中一些与文献中先前报告的值存在显著差异[23]。此外,我们还在SOI中发现了新的发射谱线,这些谱线在形成参数变化下稳定,并且可能来源于新的色心。我们分析并优化的SiCC形成工艺,可以为硅中可扩展量子光子技术的发射体器件的开发,以及未来对硅中缺陷形成机制的研究提供宝贵的指导。
形成工艺和实验
用于制造的材料平台是市售的220nm SOI晶圆(≥ 3000 Ω·cm电阻率)。在SOI晶圆上进行碳和氢离子的注入离子注入遵循标准工艺,碳和氢的注入通量比例为1:1[20, 23]。首先进行碳注入,之后进行1000°C的固化退火20秒,以修复由碳注入引起的硅晶体结构损伤,最后进行氢离子注入。文中报告的所有测量均是在注入碳的通量为7 × 10¹³ cm⁻²的SOI上进行的。关于低注入通量晶圆(13C的注入通量为1 × 10¹³ cm⁻²)上的材料和测量的详细描述可以在附录A中找到。然而,低密度晶圆显示出的结果与主晶圆的结果定性上相似。
图1. 显示在不同退火温度下,1200到1600 nm范围内显著色心的特征光致发光(PL)光谱。这些峰值对应的缺陷的原子结构也在插图中展示[10],但M中心的原子结构尚未确定。对于每个缺陷,我们展示了在我们测试的不同退火参数下获得的最高光致发光信号的PL光谱。与每个峰值相关的退火温度在每个峰值下方给出。
在离子植入后,SOI晶圆将进行颜色中心激活和纳米器件制造步骤的处理。激活过程包括低温退火,我们研究了200至600°C的温度范围以及30至600秒的退火时间。此外,我们还探索了不同的工艺,例如在激活前加入去离子水中的煮沸步骤、工艺气体流量范围为200至5000 sccm,以及使用光学和接触测量进行热控。我们研究的制造步骤是代表性的一系列典型工艺,通常用于通过电子束光刻(EBL)制造硅光子器件。我们通过生产一系列硅芯片来研究每个步骤对硅颜色中心(SiCC)形成的影响,每个芯片都是通过在目标步骤后中断器件制造获得的。我们还研究了在氧等离子体中浸泡以去除光刻胶(灰化)的过程,灰化时间范围为30至600秒,并与远程灰化以及在更大加工方案中不同的纳米制造步骤顺序进行比较。
为了研究退火对植入的碳(C)和氢(H)离子分布的影响,我们对植入5 × 10¹⁴ cm⁻² C¹²通量的样品进行了退火前后二次离子质谱(SIMS)测量。测量数据(见附录B)显示,碳原子的分布集中在膜的中部,深度约为110纳米,氢的分布则集中在约120纳米的深度。测量结果还表明,尽管碳的垂直分布在随后的热退火过程中未发生明显变化,但氢原子在较高退火温度下逐渐扩散穿过硅。这是预期的,因为氢的体积较小,意味着它在硅中容易扩散[24],而碳则不太容易移动,需要依赖更复杂的扩散机制在硅中扩散[25]。
图2. 多个光学活性颜色中心的光致发光信号与激活退火温度的关系。信号强度通过拟合在峰值附近窗口内的高斯函数与二次多项式背景的面积来提取。误差条表示±1σ统计不确定度。
通过收集处理样品的光致发光(PL)光谱来表征颜色中心。PL光谱使用在4.8 K下操作的短波红外(SWIR)低温设备记录。三种激光(405、532和852纳米)作为激发源,用于研究不同植入深度的缺陷密度,并通过与InGaAs阵列探测器耦合的光谱仪获取PL信号。记录的PL信号覆盖1040至1660纳米的范围,受限于光谱仪中InGaAs探测器的检测范围。有关PL测量设备和数据分析程序的更多细节分别见附录C和附录D。
当低温至40 K以下时,可以观察到来自颜色中心的光致发光(PL)信号。本文主文中报告的所有数据的标准操作温度为4.5 K(关于较高温度下的测量,见附录E)。这使我们能够研究并识别硅中一系列光学活性颜色中心,其中一些中心的原子结构,至我们所知,尚不明确。表I列出了部分已识别的颜色中心,而附录F提供了更为详尽的缺陷信号列表。需要注意的是,每个缺陷的确切跃迁能量可能会随着温度、局部磁场和电场、附近的杂质、表面接近度以及局部应变环境的变化而略有不同[26]。
退火过程研究
为了研究激活退火步骤对颜色中心形成的影响,我们在氮气气氛中对一系列样品进行了3分钟的退火,温度范围在200°C至600°C之间。整个温度范围内的退火温度步骤小于20°C,以获得SiCC行为的详细图像。我们还进行了包括在激活退火前加入煮沸步骤的实验,正如文献中有时描述的那样[11, 18, 23],尽管我们发现这对最终的光致发光信号影响微乎其微,如附录G所示。在图1中,我们展示了使用405纳米激光(约30 W/cm²)激发时,在低于硅本征带边发射能量(在4 K下为1060纳米)处观察到的部分PL峰。图1中的这些峰对应于W、G、I、T、C和M颜色中心的发射。我们还展示了它们通常被接受的原子结构[7, 27-30]。
表I. 已识别的颜色中心及其对应的零声子线(ZPL)能量和波长。TII,max表示观察到最大积分PL强度的退火温度。标记为“(?)”的条目对应于原子结构未知或推测的缺陷。报告的误差为±1σ统计不确定度。
W、G、C 和 M 中心在未经过任何激活退火处理的植入样品中就已可检测到。除了W中心外,所有这些复合物都与碳相关。W中心是一个自间隙硅聚集缺陷,其发射能量为1218纳米。它被归因于三间隙(I₃)硅簇,尽管其精确的原子结构仍在讨论中[7, 31, 32]。W中心的形成是由植入引起的晶格损伤驱动的,这会使硅原子发生位移,并生成硅自间隙(Sii)和硅空位(VSi)。由于Sii是一个高度移动的缺陷,它可以在适当的退火条件下聚集形成I₃簇。在本研究中使用的植入和退火条件下,我们观察到W中心的数量在420°C之前保持稳定,之后其光学信号变得无法测量,表明W中心密度急剧下降,同时硅晶体结构部分恢复[33]。
在未经过退火处理的植入样品中,观察到的与碳相关的缺陷中,G中心展现出最强的光致发光(PL)信号。该缺陷由两个替代碳原子(Cs)组成,这两个碳原子通过硅自间隙(Sii)连接,并在1278纳米处发射。其浓度在未退火植入样品和退火处理温度高达240°C之间没有显著变化,表明其形成所需的条件仅在初始碳植入和随后的治愈退火过程中得到满足。碳植入最初会产生Ci缺陷,但也通过硅原子从晶格位置的位移生成Sii和Si VSi。在退火过程中,一部分Ci原子被纳入晶格中,形成碳替代原子(Cs),并且还形成CsCi对。据报道,这些二碳缺陷的一个特定配置有助于G中心的形成[34]。值得注意的是,G中心相对形成的减少从240°C以上的退火温度开始,且在约400°C时变得不可检测。
对于C中心——一个由Ci-Oi复合物组成,发射线位于1569纳米[35]——其最大数量出现在约260°C。在进一步退火过程中,它的数量逐渐减少,并在340°C以上的退火温度下变得不可检测。超过260°C的退火可能将C中心转化为光学上不活跃的碳氧相关缺陷,例如Ci-Oi(Sii) [36, 37]。另外,热处理可能促进C中心复合物的解离,释放出Ci和Oi原子,这些原子随后可能参与其他缺陷结构的形成。
M中心是一个基于碳氢的缺陷,发射波长为1629纳米。其形成被提议通过反应 (Ci-Hi) + Cs → C-C-H 发生,尽管这一机制仍然存在争议[38]。低温退火揭示了两个适合M中心形成的温度窗口。在第一个窗口中,温度范围从植入状态到360°C,M中心的数量在220°C到320°C之间呈平台状态,且在360°C以上变得不可检测。随后,我们在第二个窗口中观察到M中心的复苏,该窗口的退火温度高于435°C。随着温度的升高,M中心逐渐重新出现,并在570°C时达到其局部最大密度,然后在接近600°C时再次下降。
所有在未退火植入样品中观察到的基于碳的缺陷在约400°C时达到其最低相对发射强度,留下一个大致在360°C到420°C之间的温度窗口,在该窗口内光学活性几乎可以忽略不计。这一行为表明,在此温度范围内,碳——主要以高度可移动的Ci形式——开始与其他离子形成复合物,产生光学不活跃的碳相关缺陷,并减少G、C和M中心的数量。这个在360°C到420°C之间稳定的中间碳相关暗复合物,可能充当促进后续T中心形成的前体。另一方面,与其他基于碳的中心不同,M中心仅在360°C到435°C之间的温度区间内未被观察到,这表明负责M中心形成的前体复合物在低温处理前以及在这个中间温度范围内保持稳定。
在图2中,我们还观察到G中心在约400°C时消失,这正是T、M和I中心出现的温度,表明它们的(去)形成动态是相互关联的。到了600°C,高温似乎导致所有缺陷之间的键断裂,所有跟踪的颜色中心的光学信号显著减弱或已经无法检测到。
在大约390°C的退火温度下,T中心开始变得可观察到。该中心是一个研究较为深入的缺陷,其原子结构通常被描述为一个占据硅晶格位置的碳对复合物(C-C)并与一个氢间隙原子(Hi)结合。如图1所示,T中心的零声子线(ZPL)发射位于1326纳米。由于与硅晶体中的颜色中心相关的内部应变,激子会分裂为两个不同的双重能级,分别表示为TX0和TX1,能量间隔大约为1.75 meV[26]。退火结果表明,T中心的形成在约525°C时达到最大密度,并在570°C以上变得不可检测。先前的研究表明,T中心的形成依赖于退火过程中Cs缺陷与Ci-Hi复合物之间的反应,这些复合物在离子植入时产生[30, 39]。最近的一项密度泛函理论(DFT)研究[40]进一步支持了这一机制,确认该路径在热力学上是可行的,具有1.75 eV的能量屏障,尽管也提出了其他的形成路径。1.75 eV的激活能与图2中观察到的G中心退火和T中心形成的390至550°C温度窗口一致。
先前的研究发现,T中心在SOI中的最佳退火温度约为450°C[23]。一致地,一项DFT研究预测了类似的温度范围[40],显示最佳T中心形成需要氢的化学势为−0.92 eV,对应于在10⁻⁶ bar的氢分压下的450°C。这与我们的实验观察结果相矛盾,我们观察到T中心的最大数量出现在约525°C。为了可能解释这一差异,我们研究了改变退火过程中使用的热处理(RTP)设置的影响,但我们发现不同的设置无法解释观察到的最佳退火温度差异(关于此的更多细节见附录G)。
I中心是基于碳的缺陷,形成温度范围为450°C到550°C。其提议的原子结构与T中心类似,但在缺陷附近有一个氧原子,形成一个C–C–H(O)复合物,发射能量为1285纳米[28]。如图2所示,I中心的形成比例与T中心呈现相同的温度依赖趋势,且与T中心类似,I中心在530°C时达到最大相对发射强度,并在570°C以上变得不可检测,这表明I和T中心可能具有相似的形成机制。值得注意的是,I中心的发射大约在460°C时可检测到——比T中心高出约90°C——这一温度与氧间隙(Oi)在硅中变得可移动的温度范围相吻合[41]。这些氧原子可能是在C中心解离过程中释放的。我们的观察进一步支持了这样一种解释:I中心对应于一个类似T中心的复合物,并且涉及了氧原子的额外参与。
图3. 包含一个未识别的光致发光峰,中心波长约为1496.7纳米,我们将其命名为CN*,因为它与参考文献[42]中提出的中心相关。该信号仅在540°C退火后出现,但在570°C时亮度增加。为便于可视化,已经从信号中减去材料响应的信号。
这个测得的发射能量接近最近在文献[42]中理论提出的新型碳氮相关缺陷的预测,该缺陷的ZPL线通过第一性原理计算估计位于1497.4纳米。此外,该峰出现的温度范围与其他已知的碳氮相关线的形成温度一致,这表明氮在晶格中的可移动性[43–46]。因此,基于这些与最近在文献[42]中提出的CN中心特性的相符迹象,我们暂时将该线标记为CN*。
理论计算估计,这个新中心((CN)Si中心)具有与T中心许多相同的特性,包括相似的寿命、德拜-沃勒因子和自旋三重态基态,因此可能成为构建光子量子技术的有用替代品,因为氮在晶格中的结合更为稳定,且预测的分解反应能量较低。这与氮扩散到晶格中并与替代碳缺陷结合形成联合替代缺陷的现象一致。
图4. 来自不同颜色中心的光致发光信号,展示了在525°C退火的样品,且退火激活时间不同。误差条表示±1σ统计不确定度。
退火时间的影响
除了温度依赖性外,我们还研究了激活退火步骤持续时间的影响,因为先前的研究表明,动力学抑制是避免T中心分解的一个重要机制,这需要控制退火过程的持续时间,以便与T中心的分解速率相匹配[47]。为了研究这一方面,我们在525°C下对样品进行了不同时间(从30秒到600秒)的退火处理。光致发光结果如图4所示,展示了与T、I和M中心相关的峰值强度与退火时间的关系。在120秒之后,强度在几分钟的时间尺度上保持稳定。这使得我们能够更好地将我们的结果与其他研究进行比较[18, 20, 23],因为可以忽略不同设备的温度上升时间等差异。T中心密度在退火10分钟后减少,表明退火持续时间可以作为调整T中心密度的微调工具,作为改变退火温度的替代方法。
制造步骤的影响
颜色中心在光子集成电路(PICs)中的集成对于它们在量子技术中的潜在应用至关重要。我们研究了颜色中心在电子束光刻(EBL)过程中稳定性,以检验它们与CMOS兼容的制造方法的集成。在旋涂、电子束曝光、硅蚀刻和干法剥离光刻胶后,我们中断了制造过程。中断后,我们使用溶剂中的长时间湿法剥离作为去除表面光刻胶层的最温和方式,然后测量样品的光致发光(PL)光谱。尽管大多数工艺对颜色中心没有显著影响,但我们确实在用于剥离光刻胶的灰化过程中观察到颜色中心密度的下降。通过仅对样品进行灰化而不暴露于其他加工过程中,我们确认了灰化对颜色中心密度的影响,但即使在没有其他处理的情况下,颜色中心密度仍然下降。所有制造步骤的PL测量结果以及不同持续时间和灰化方法的结果见附录H。
进一步的实验,包括改变退火和纳米制造过程的顺序,发现灰化过程的影响与仅加热样品的效果显著不同,因为灰化过程还会重新引入先前在样品中退火出去的T中心和C中心。图5显示了不同清洗程序下的峰值强度,样品在465°C或525°C退火,显示了T中心发光的减少以及G中心的再激活,这可能是由于光学不活跃缺陷的分解所导致。所使用的灰化工具(Tergeo Plasma Cleaner)支持直接和远程等离子体源,这意味着等离子体可以分别在主室中与样品一起生成,或在次级远程室中生成并间接引入样品。
在最终退火步骤之前完成整个光子集成电路(PIC)制造过程,证明能够获得与未暴露于PIC制造的样品相似的T中心密度。因此,我们建议采用这种制造步骤顺序。进一步的纳米制造步骤,如果必须应用于材料堆叠(例如量子计算),不应将样品加热至超过约400°C的高温并持续较长时间,以避免如图2所示的影响T中心密度。此外,我们还展示了高强度等离子体清洗会降低T中心的密度,但这一影响可以通过将最终退火步骤延迟至灰化之后来避免,如图5c所示,或通过使用温和的远程灰化来避免,如图5d所示。远程灰化可能在颜色中心作为生长时存在于基底中并且需要在不进行退火步骤的情况下保留的情况下,尤其有用,例如在文献[48]中所述的情况。
结论
我们报告了通过退火过程形成硅中的颜色中心的全面分析,以及这些中心如何受到器件纳米制造方法的影响。我们研究了在退火过程中,不同类型颜色中心之间的耦合形成动态,结果确认退火温度在决定哪些颜色中心被激活方面起着关键作用。对于T中心——硅中可扩展光子量子技术的一个重要候选中心——我们发现最佳的激活退火温度为525±10°C,这与先前研究中报告的值有显著不同。此外,我们还观察到,在T中心形成过程中,通常报告的一些过程(例如将样品在去离子水中煮沸)并不会对检测到的光学信号产生显著影响。
图5. 灰化对颜色中心形成的影响。
(a) 仅进行激活退火的参考样品,与图1中展示的样品类似。
(b) 灰化对退火中心的影响,表明T、I和M中心的密度减少,但G和C中心的密度增加。
(c) 在退火前进行灰化的影响,显示出与参考样品相似的密度。
(d) 使用远程等离子体进行灰化的影响。尽管灰化时间较长,但对发射体密度的影响可忽略不计,这意味着在需要在激活颜色中心后进行灰化但又不希望损害现有中心的情况下,远程灰化提供了一个替代直接灰化的方法。
误差条表示±1σ统计不确定度。
对于其他分析的硅颜色中心(SiCCs),如I、C和M中心,它们作为T中心的竞争替代者,我们的实验代表了首次对其最佳形成参数的分析。此外,我们对退火参数的全面探索使我们能够辨别出来自尚未被识别的缺陷的光致发光信号。特别是,我们观察到在S波段中有一个清晰且稳定的光学信号,符合目前未被观察到的CN颜色中心的预测零声子线(ZPL),这是一种新型的SiCC,最近才被理论提出,并且作为量子计算和量子网络的一个有前景的替代品,代表了对T中心的有力竞争。这些结果可以为探索硅中具有新型量子发射体的光子量子器件提供指导。
附录A:晶圆和植入
SOI晶圆购买自Shin-Etsu,包含220 nm的硅层、3 µm的SiO₂层和725 µm的硅层,电阻率≥3000 Ω·cm。离子束服务公司(Ion Beam Services)分别以38 keV和9 keV的能量植入了碳和质子,碳和质子的化学比为1:1。主要样品被植入了7×10¹³ cm⁻²的12C,而另一组样品被植入了1×10¹³ cm⁻²的13C。植入角度垂直于样品表面(无倾斜)。首先植入碳,随后在1000°C的氩气气氛中退火20秒,以修复植入过程中造成的晶体损伤,如图A1所示。最后植入质子。然后从晶圆中切割出较小的样品,并在较低温度下退火,以激活颜色中心。激活退火步骤在RTP(AccuThermo AW 610)中进行,使用盖住的石墨加热器和5000 sccm的氮气流量,退火过程中除非另有说明(见附录G),否则整个退火过程持续进行。
图A1. 在SOI上生成颜色中心的植入和退火过程。首先将SOI晶圆植入碳,然后在1000°C的氩气气氛中退火20秒。接着,样品被植入氢,最后通过退火形成氢-碳颜色中心。
主文中的所有结果均来自12C植入的晶圆,但在低通量13C植入的样品中也可以看到类似的结果。如图A2所示,T中心生成的最佳温度略微偏低(I中心和M中心未显示明显变化),且退火后所有缺陷的总体密度较低,这与文献[23]中类似植入的先前结果一致。
附录B:二次离子质谱
为了确定C和H在SOI中的垂直分布,一组样品使用Cameca IMS 7f磁场仪器进行了二次离子质谱(SIMS)测量。使用15 keV的Cs+离子束在200 × 200 µm²的区域内进行扫描,束流为50 nA,并且数据是在溅射坑的中心部分(直径为62 µm)收集的。暴露于SIMS的样品被植入氢和碳,通量为5 × 10¹⁴ cm⁻²——比主文中研究的通量略高——以提供一个明显高于SIMS检测限的氢浓度。这些样品分别在420°C和525°C下退火处理。
图B3展示了碳(图B3 (a))和氢(图B3 (b))原子在退火前后的深度分布。可以看到,分布集中在约120纳米处,而不是文献[19]中建议的均匀分布。测量结果还揭示了氢在退火过程中发生了扩散,观察到在目标区域周围逐渐减少,但在525°C退火后,仍有相当数量的氢残留在该区域。另一方面,碳的分布在所有测量样品中相似,表明没有发生显著的扩散。
图A2. 在不同退火温度下,植入13C(通量为1 × 10¹³ cm⁻²)样品的颜色中心密度(实线),与图2中相同退火参数下的结果(虚线)进行比较。
表B1. SIMS数据的高斯拟合参数,符合模型 A exp(−(x−x₀)²/(2σ²))
氢的半峰宽(FWHM)随着退火激活温度的增加而增大,表明氢相较于碳在退火激活过程中具有更大的迁移性。
附录C:光致发光方法
1.光学设置
光致发光(PL)测量在4.8 K下使用闭循环氦制冷机进行。光学激发由连续波激光器提供,激光波长分别为405 nm(Oxxius LaserBoxx LBX-405-300-CSB-PP)、532 nm(Toptica DL 100)和852 nm(Millenia eV),每个激光器的功率为10 mW,光束半径为100 µm。这个功率足够低,以避免饱和发射(参见D节),但又足够高,能提供清晰的信号。对于大多数测量,使用405 nm激光,因为它在SiCC区域内提供更多的功率(参见C节3)。激光束被聚焦到样品表面,入射角度约为30°,使得所有激光源的激发强度约为30 W/cm²。
PL信号通过背向散射几何收集,使用了10倍色差校正近红外显微镜物镜(Mitutoyo,0.26 NA,工作距离31 mm)。发射的光致发光通过长通滤光片(LP800)传递,以抑制散射的激发光,并通过成像光谱仪(Horiba iHR550)进行分析,光谱仪配备了300和1200条纹/mm的光栅。光谱仪与InGaAs探测器阵列(Andor DU491A)耦合,使用300条纹/mm光栅时提供约0.14 nm的光谱分辨率,使用1200条纹/mm光栅时提供约0.04 nm的光谱分辨率。在测量之前,通过在收集路径中插入一个90(R)/10(T)的光束分离器,对样品和光束点进行了成像。在使用852 nm激光时,为了去除收集窗口中的激光光线,在收集路径中插入了一个传输波长大于950 nm的二色镜。2.饱和与光学激发功率
单个发射体发射光子的概率与发射体被激发的概率成正比。光致发光信号可以通过一个简单的幂律进行拟合,I(P) ∝ P^n,其中n通常在1 ≤ n ≤ 2之间,取决于基础的吸收和辐射过程。我们将发射体被激发的事件描述为一个随机过程。在给定时间内激发单个发射体k次的概率遵循泊松分布。
其中,λ是给定时间内的平均激发次数。平均激发次数必须与(P/Psat)^n成正比,其中Psat表示饱和功率,确保λ是无量纲的,n则考虑了如双光子吸收等非线性激发过程(n = 2)。在给定时间内,发射体没有被激发的概率则为:这表明,在饱和功率以下,发射体的激发概率随着功率的增加而增加,而在饱和功率附近,激发过程趋于饱和。单个发射体的光致发光强度与该发射体在一定时间范围内至少被激发一次的概率成正比。因此,单个发射体的发射概率分布可以表示为:其中,PsatP_{\text{sat}}Psat 是饱和功率,nnn 反映了激发过程的非线性特性,表示激发强度和功率之间的关系。这个公式表明,随着功率的增加,发射概率也逐渐增大,并且趋近于1,表示发射体在高功率下几乎肯定会发光。假设发射体的发射概率分布是独立且相同的,那么总的光致发光强度就与单个发射体至少被激发一次的概率成正比。对于 NNN 个独立且相同的发射体,总的发射概率分布可以表示为:这个公式表明,总的发射概率是单个发射体发射概率的累积结果,其中 NNN 是发射体的数量。随着发射体数量的增加,总的光致发光强度会增大,且最终趋向于一个最大值,因为所有发射体都有较高的概率被激发。
图C4. 光致发光(PL)设置示意图
使用了三种不同波长的激光:405 nm、532 nm 和 852 nm。初步对准使用了两个针孔。可更换的带磁脚的镜子被用来方便且可靠地对准三种激光。一个可调衰减器和功率计用于控制光束的功率。最后的镜子将光束引导到制冷机(cryostat),以约30°的入射角射入制冷机窗口和样品。制冷机在4.8 K下操作。使用了10倍放大物镜收集PL信号,信号通过一个长通滤光片(>800 nm)以过滤掉激光光线。对于852 nm激光,插入了一个二色镜(T>950 nm)来移除收集路径中的激光。通过插入一个(90 R,10 T)光束分离器获得样品的图像。最后,信号进入光谱仪,并使用透镜优化以解析来自样品的不同颜色中心信号。
我们引入了比例常数A,它将从发射概率映射到发射功率。我们可以看到,在低功率的情况下,该表达式简化为熟悉的幂律形式。实验设置中的任何损失也通过因子A进行了考虑。我们对两组样品分别在360°C和525°C退火后进行了功率扫描,使用的是405 nm激光。中心线的亮度作为输入功率的函数可以在图C5中看到。此处光束的大小估计为面积 = πr²,其中r ≈ 100 µm。
针对波长依赖的折射率模型,在文献[50]中对二氧化硅进行了描述,在文献[51]中对硅进行了描述。该仿真假设输入波是平面波。这个假设在多次反射的情况下会失效,因为有限的光斑尺寸可能无法与之前的反射重叠,特别是在以一定角度入射时。最后,仿真假设界面是完美的,没有粗糙度。这个假设是合理的,因为界面粗糙度(约为1纳米)远小于光的特征尺寸。仿真使用了Python中的TMM包,该包使用了传输矩阵方法(Transmission Matrix Method)。仿真结果如图C7所示。通过仿真,我们可以明显看到在波长低于400 nm时的吸收率较高。这与硅的皮肤深度与220 nm的膜厚度相当有关。对于不同波长、角度和偏振的参数空间的完整研究,请参见图C8。
图C5. G中心和T中心亮度与输入功率的功率依赖性
数据已拟合至公式C4a。
(a) G中心的PL发射在8.5 mW(范围为7.8 mW到9.3 mW)时饱和,饱和亮度为2.8 × 10⁶(范围为2.7 × 10⁶到3.2 × 10⁶),饱和功率为2.7 × 10⁻⁴ mW/µm²(范围为2.5 × 10⁻⁴到3.0 × 10⁻⁴ mW/µm²),模型阶数为0.969(范围为0.911到0.995),接近于单位值,符合一阶过程的预期。
(b) TX0线在2.6 mW(范围为2.3 mW到2.8 mW)时饱和,饱和亮度为19.1 × 10⁴(范围为18.7 × 10⁴到19.3 × 10⁴),模型阶数为0.80(范围为0.76到0.83)。TX1线在11 mW(范围为9 mW到19 mW)时饱和,饱和亮度为4.9 × 10⁴(范围为4.5 × 10⁴到6.5 × 10⁴),模型阶数为1.0(范围为0.9到1.1),表明TX1线未完全饱和。


图C6. 不同激发激光在不同样品上的相同光谱窗口图
左侧图是来自未进行植入的样品的光谱,中央图是退火温度为465°C的样品,右侧图是退火温度为525°C的样品。可以明显看到一个趋势:较低波长的激光激发使得中心颜色中心的发射光谱更亮,而材料响应则表现出较少的规律性。
表C2. 显示相对于激发405nm时自身高度的拟合相对峰值高度,作为激发源的函数。图C7. 反射率、透射率和吸收率相对于参考功率,在入射角为30°且偏振平行于入射平面的情况下
在波长低于400 nm时,大部分光在膜的第一次通过中被吸收。超过400 nm时,发生了第一次和第二次界面反射之间的干涉效应。总体而言,较短的波长在220 nm厚的硅膜中沉积更多的能量。在400 nm以下,由于硅的较高折射率,观察到来自第一次界面的反射率增加。在405 nm激光波长处,吸收率接近最大值,此时30%到50%的功率被材料吸收。为了改进模型,应放宽平面波假设,以考虑有限的光斑尺寸。此外,模型中使用的材料属性假设为纯硅,因此预计与植入材料有所不同。
附录D:光致发光光谱的分析方法
为了确定PL光谱中W、G、C、I和M中心的中心频率、幅度、宽度和峰面积,我们将这些中心的峰值拟合为高斯函数与二次“背景”的和,背景描述了来自带上激发的SOI材料响应。因此,计数 CCC 作为波长 λ\lambdaλ 的函数,可以表示为:
其中,AAA 是峰面积,λC\lambda_CλC 是中心频率,σ\sigmaσ 是宽度,b0b_0b0, b1b_1b1, b2b_2b2 表示材料响应的系数。对于TX0-TX1双峰,我们使用两个高斯函数和一个二次背景的和进行拟合。图C8. 使用传输矩阵方法在不同波长、角度和偏振下对SOI堆叠顶层的吸收率、透射率和反射率进行了广泛的仿真。
该图展示了不同条件下SOI堆叠顶层的光学特性(吸收、透射和反射),通过传输矩阵方法(TMM)进行仿真,涵盖了不同波长、入射角和偏振状态的影响。该仿真为理解光与SOI结构的相互作用提供了全面的数据,特别是在不同条件下的能量沉积和材料响应。
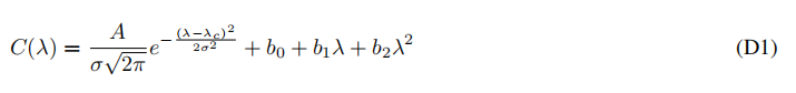
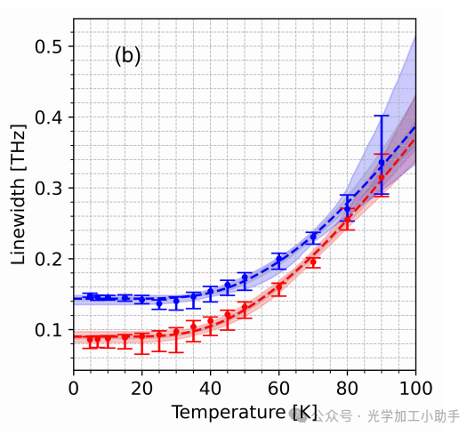
(a) 展示了T中心线在不同温度下的光谱,从4.8 K到90 K的范围。
(b-d) 是对(a)中光谱中的TX0(红色)和TX1(蓝色)进行双高斯拟合的参数图:
(b) 使用方程E2拟合的高斯面积。
(c) 使用方程E1拟合的中心频率。
(d) 使用方程E3拟合的半最大全宽(FWHM)。这些样品在多次冷却过程中进行了测量。对于每次冷却,退火温度为465°C的样品被用作参考,以确保在不同冷却周期之间进行一致的PL强度比较。在第一次冷却周期中,记录的465°C样品的TX0峰被确定为“主”参考,记为Cmaster(1326 nm)。为了补偿不同冷却周期之间激发/收集效率的变化,所有其他光谱都归一化为同一冷却周期中参考样品的比率,即Cref(1326 nm)。因此,原始亮度Craw(λ)被转换为归一化亮度Cnorm(λ)。我们扫描了制冷机和样品的温度,从4.8 K到90 K,结果如图E9(a)所示。随着温度的升高,硅的带隙发生红移,这是由于晶格中声子相互作用的增强,这反过来使T中心的发射发生红移(见图E9(b))。一种能够很好地描述硅带隙温度依赖性的模型是玻色-爱因斯坦模型[52]。其中,α\alphaα 是一个耦合常数,用于描述与声子相互作用的强度,Θ\ThetaΘ 是一个材料依赖的有效声子温度。发射体的亮度在较高温度下下降,这可以归因于激发载流子占据了会非辐射衰减的态的概率增加,从而无法贡献于发射信号。最简单的模型,假设只有一个非辐射衰减通道,可以表示为:其中,EBE_BEB 是辐射衰减通道的能量。对提取的PL信号的拟合见图E9(c)。在较高温度下,该模型失效,并且对于TX0和TX1线的亮度都有过拟合,认为这是由于多个非辐射衰减通道变得显著[53, 54]。最后,随着温度升高,线宽增加。我们使用一个简单的模型来描述热激活的均匀展宽[55],该模型由以下公式给出:其中,EAE_AEA 是展宽变得显著的能量。在图E9(d)中可以看到拟合结果,其中我们得到TX0线的过渡能量为 EA=16(14,18)E_A = 16(14, 18)EA=16(14,18) meV,TX1线的过渡能量为 EA=19(16,23)E_A = 19(16, 23)EA=19(16,23) meV。该模型表明,展宽是由于声子环境激发了更高阶的电子态,这些电子态与TX0和TX1线的能量差为 EAE_AEA,因为这些态允许通过不同的通道发生衰减。表F3展示了硅中颜色中心的广泛发射线列表,包括它们的中心波长、能量、一般结构和自旋特性。它还包括与之相关的线,如声子的横向声学(TA)和横向光学(TO)线以及局部振动模式(LVM)。我们还在我们的PL光谱中展示了4个稳定的信号,这些信号尚未得到解释,见图F10。面板 (a-d) 对应于表F3中列为“Unknown1-4”的线。Unknown1的特征形状和非常宽的半峰宽度(FWHM)可能表明它与其他峰值具有不同的发射过程,并且可能是一个更宽的发射过程,而其他峰值的形状更接近于来自其他颜色中心的发射线。为了便于可视化,已从信号中去除了特征化的光致发光背景。先前的研究[47]表明,在激活退火过程中氢的部分压力可能对生成高产率的T中心至关重要,尤其是在氢过饱和和欠饱和的情况下。特别地,将样品在去离子水中煮沸被提出作为提高T中心生成效率的方法[23]。为了研究我们的T中心生成过程是否可以进一步优化,以及是否可以解释我们发现的最佳退火温度与现有文献中差异,我们将两个样品在去离子水中煮沸了1小时,然后在465°C和525°C下进行退火。以下PL测量的结果如图G11a所示,结果表明煮沸对T中心的密度没有显著影响。在用于退火主文中所示样品的炉子中,温度是通过附加在包含芯片的加热器上的热电偶进行测量的。通过5000 sccm的高流量氮气通过炉子,确保了纯氮气氛,但这可能导致样品局部冷却,从而导致我们高估了样品的实际温度。为了研究这一点,5个样品在另一台RTP工具(Jipelec JetFirst 200 RTP)中退火,该工具配有真空腔和涡轮泵,使我们能够在不受环境空气污染的情况下以较低的工艺气体流量(200 sccm)运行该过程。该工具中的温度是通过光学高温计测量的,样品被放置在一个没有盖子的加热器上,位于载片上,尽管这种方法准确性较低,但不像热电偶那样容易受到系统性偏差的影响。我们在Jipelec工具上运行的结果如图G11b所示,我们看到最佳退火温度略高,这与我们的主要RTP工具中的热电偶放置在最远离热源的加热器底部一致,这可能导致使用热电偶测量时实际样品温度的轻微低估。我们还研究了2000 sccm的较低气体流量是否会导致样品冷却减少,从而使得热电偶测量的最佳退火温度较低,但我们的结果与之前的实验一致,如图G12所示。图G11.a): 展示了我们在激活退火前立即在去离子水中煮沸1小时的样品结果,显示最佳退火温度没有明显变化,也没有与对照样品显著偏离。
b): 展示了在另一台工具中退火的样品,其中温度通过光学高温计进行控制。最佳退火温度似乎略微上升至超过525°C,这可能表明我们的主要快速热处理设备低估了样品的实际温度。图G12.将氮气流量减少到2000 sccm(实线)而不是主文中使用的5000 sccm(虚线)时的结果。我们看到,气体流量的差异或环境氢气对光致发光(PL)信号没有影响。作为研究颜色中心形成和分解过程的一部分,我们还研究了颜色中心与常见制造方法的兼容性。除了主文中展示的结果外,我们还将一系列芯片暴露于电子束光刻过程的不同步骤中。所应用的制造过程可以分为四个阶段,如图H13所示。样品首先旋涂约100 nm的CSAR(Allresist Ar-P 6200),并在185°C下软烘烤2分钟,以蒸发其中的苯甲醚成分。在下一阶段,设备图案在电子束光刻胶中曝光(计算剂量为300 µC/cm²),然后将曝光区域溶解在O-二甲苯中。接下来,样品在远程氧等离子体中进行去胶处理45秒,并在110°C下硬烘烤2分钟。在第三阶段,样品在室温下使用SF6/C4CF8等离子体进行刻蚀。最后一个阶段是进行4分钟的直接氧等离子体处理,以去除剩余的光刻胶和由Bosch工艺沉积的任何氟碳化合物。制作了一系列4个样品,分别在上述过程中停止在旋涂、曝光、显影和去胶阶段。对这些样品进行的PL测量结果可以在图H14中看到。结果表明,直接氧等离子体暴露是过程中的最严酷步骤,导致G中心的退化。这为进一步研究T中心在氧等离子体中分解的敏感性奠定了基础。除了主文中展示的结果外,我们还展示了灰化对G中心的影响。如主文中所述,将退火样品直接浸入氧等离子体中会显著增加G中心的密度。然而,如图H15所示,这种效果仅对那些之前已经退火去除G中心的样品成立。对于未退火的样品,直接灰化会导致G中心密度的减少,同样,在首次灰化30秒后进行额外的灰化也倾向于减少G中心的密度。很可能,等离子体实际上正在分解一些非光学缺陷态,并将它们分解为G中心,然后这些G中心在灰化过程中进一步分解。图H13. 使用电子束光刻制造光子器件的四个主要步骤的示意图图H14.我们可以看到,所有的植入颜色中心在每个制造步骤中都保持存在,只有在最后使用氧等离子体时,强度显著降低,并且W、C和M中心变得太弱,无法分辨。图H15.比较了灰化处理对样品的影响,取决于样品是否经过激活退火处理。我们发现,仅进行灰化处理通常会分解植入后样品中存在的中心和C中心,但对退火样品进行相同的灰化处理似乎能够“重新激活”那些在这些温度下已经退火去除的中心。还需要注意的是,远程灰化对中心密度的影响可以忽略不计,因此在需要特别小心的样品清洁情况下,它是一个可行的替代方法。