上海奥麦达微电子有限公司

专业高效
微纳加工公司

碳化硅色心+离子注入--碳化硅中自旋缺陷的制备与量子传感(四川大+中科大)

#碳化硅色心 #碳化硅量子器件 #碳化硅量子传感

在过去的十年中,碳化硅(SiC)中的颜色中心作为各种量子信息技术的有前景的平台,逐渐崭露头角。SiC中的主要颜色中心类型有三种:硅空位中心、二空位中心和氮空位中心。它们的自旋状态可以通过激光偏振,并通过微波进行控制。这些自旋缺陷已经在量子光子学、量子信息处理、量子网络和量子传感中得到了应用。本文综述首先简要概述了三种类型自旋缺陷的单一颜色中心制造的进展,这些缺陷构成了基于颜色中心的量子技术的基础。接着,我们讨论了在各类量子传感方面的成就,如磁场、电场、温度、应变和压力的测量。最后,我们总结了目前在SiC中自旋缺陷的制造与量子传感方面的现状,并展望了未来的发展。
划重点:
可注入元素:H He P C Er+ Ge  Yb B,P,F,Al,N,Ar,H,Si,As,O,He

 能提供MeV级Er Fe、Ni、Cu、V、Ti、Mo、Zr、Mg、Al、Si、Au、Ag、N、O等元素的离子束,温度室温 到 800℃ Fe、Ni、Cu、V、Ti、Mo、Zr、Mg、Al、Si、Au、Ag、N、O

#金刚石色心离子注入 
28Si, 29Si, 14N, 15N or 74Ge
#碳化硅色心离子注入 
晶圆:碳化硅外延片 ,更有 美国高纯碳化硅和碳化硅外延片
注入:C,H,He
#硅色心离子注入
需求汇总_06
硅G色心用:220nm高阻SOI晶圆-C12+RTP+电子束光刻刻蚀
硅T色心用:220nm高阻SOI晶圆-C12+RTP+H+RTP+电子束光刻刻蚀

我们为客户提供晶圆(硅晶圆,玻璃晶圆,SOI晶圆,GaAs,蓝宝石,碳化硅(导电,非绝缘),Ga2O3,金刚石,GaN(外延片/衬底)),镀膜(PVD,cvd,Ald,PLD)和材料(Au Cu Ag Pt Al Cr Ti Ni Sio2 Tio2 Ti3O5,Ta2O5,ZrO2,TiN,ALN,ZnO,HfO2。。更多材料),键合(石英石英键合,蓝宝石蓝宝石键合)光刻,高精度掩模版,外延,掺杂,电子束光刻等产品及加工服务(请找小编领取我们晶圆标品库存列表,为您的科学实验加速。

请联系小编免费获取原文

图片
文件名:Fabrication and quantum sensing of spin defects in silicon carbide
作者:Qin-Yue Luo1, Qiang Li 2,3,4, Jun-Feng Wang1, Pei-Jie Guo1, Wu-Xi Lin2,5,6, Shuang Zhao1, Qi-Cheng Hu1, Zi-Qi Zhu1, Jin-Shi Xu2,5,6, Chuan-Feng Li 2,5,6 and Guang-Can Guo2,5,6
单位:1.College of Physics, Sichuan University, Chengdu, Sichuan, China, 
2.CAS Key Laboratory of Quantum Information, University of Science and Technology of China, Hefei, China, 
3.Institute of Advanced Semiconductors and Zhejiang Provincial Key Laboratory of Power Semiconductor Materials and Devices, ZJU-Hangzhou Global Scientific and Technological Innovation Center, Hangzhou, Zhejiang, China

1. 背景与介绍


固态颜色中心一直是量子技术中的领先系统之一[1–5]。颜色中心存在于许多材料中,包括钻石[1–5]、碳化硅(SiC)[1–5]、六方氮化硼[6]和氮化镓[7, 8]等。钻石中的主要颜色中心有五种类型,包括氮空位(NV)中心和IV族颜色中心,如硅空位中心、锗空位中心、铅空位中心和锡空位中心[9]。特别是钻石中的NV中心是研究得最为深入的固态自旋缺陷。它的自旋状态可以分别通过激光和微波进行初始化和控制[1–3]。由于其优异的特性,如大幅度的光学检测磁共振(ODMR)对比度[13]和室温下长自旋相干时间[14],它在各种量子技术中得到了应用,例如1.3公里的自旋-光子纠缠[10]、十比特量子寄存器[11]和高灵敏度纳米量级量子传感[12]。然而,钻石的纳米技术尚未成熟以及NV中心在可见光范围内的荧光特性限制了其更广泛的应用,如长距离量子传感和自旋-光子纠缠[4, 15–17]。此外,虽然六方氮化硼中的颜色中心已在量子光子学和量子信息处理中得到应用[6],但目前其相干时间仅限于几个微秒[6]。这些局限性促使科学家们寻找其他材料中的颜色中心。

图 1碳化硅中三种主要自旋缺陷的原子结构。
(A) 硅空位中心[20],经Macmillan Publishers Ltd.许可转载:Nature Communications [20],版权所有(2015年)。
(B) 二空位中心[15],经Macmillan Publishers Ltd.许可转载:Nature [15],版权所有(2011年)。
(C) 氮空位中心[24],经AAAS许可转载。
SiC(碳化硅)是一种宽带隙半导体材料,具有成熟的英寸级生长技术以及微米和纳米制造技术[4, 15–17]。它已广泛应用于高功率和高温电子器件中。SiC具有约250种已知的多型体,其中六方的4H–SiC和6H–SiC以及立方的3C–SiC是最广泛使用的多型体[4, 15–17]。自从2011年首次实现4H–SiC中二空位中心自旋在室温下的相干控制以来,SiC中的颜色中心引起了广泛关注,并成为量子信息的有前景平台之一[4, 15–17]。SiC中的颜色中心有两种类型:一种是室温稳定的亮单光子源,另一种是自旋缺陷。这些亮单光子源的荧光范围从可见光到通信波段,荧光计数可达到超过1百万计数/秒(Mcps)[18, 19]。由于成熟的掺杂技术,也已制造出集成的SiC p–n结单光子二极管[18]。与钻石中的NV中心类似,SiC中也有三种主要的自旋缺陷:硅空位中心[1, 4, 17, 20]、二空位中心[1, 4, 15, 16]和氮空位中心[1, 4, 21–24]。图1A、B、C分别展示了SiC中三种主要自旋缺陷的原子结构。

这三种自旋缺陷均已实现单自旋的高效制造,并已在多个量子技术应用中得到了应用[15, 16, 22],包括集成量子光子学[18, 25]、量子信息处理[15–17]、量子网络[26, 27]和量子传感[24]。在量子光子学中,纳米柱[25]和固态浸没透镜[17]已被用来显著提高硅空位中心的计数。光子晶体腔实现了硅空位中心零声子线(ZPL)80倍选择性普塞尔增强[28]。最近,碳化硅-绝缘体芯片集成纳米光子腔有效地增强了单硅空位中心的发射和频率转换[29]。此外,硅空位中心还可以集成到纳米制造的波导设备中。此外,光子晶体腔还实现了单二空位中心的50倍普塞尔增强[30]。在量子信息处理中,单硅空位和二空位中心的相干控制已实现,展示了它们大约1毫秒的较长相干时间[16, 17]。通过使用动态解耦方法和同位素纯化的SiC样品,二空位中心的相干时间已扩展到超过5秒[31]。高保真度的核量子寄存器已使用单个硅空位中心[32]和二空位中心[33]实现。自旋缺陷在长距离量子网络中具有优势,因为它们具有近红外荧光[26, 27, 34, 35]。单个硅空位中心[26]和二空位中心[27, 34, 35]中已实现高保真度的自旋-光子接口。此外,发现电荷耗尽技术可以将光学线宽缩小超过50倍,接近寿命极限[34]。单个二空位中心的光学拉比振荡也已实现[35]。这三种自旋缺陷已广泛应用于高灵敏度的多重量子传感,包括磁场[36]、电场[37]、温度[38]、应变[39]和压力[40]。

鉴于碳化硅(SiC)量子技术的快速发展,在本综述中,我们讨论了SiC中自旋缺陷的制造和量子传感的最新进展。我们首先聚焦于三种自旋缺陷的单体和集成制造方法的进展。然后,我们讨论了基于SiC的多重量子传感应用在常压环境和高压条件下的成就。最后,讨论了SiC自旋缺陷制造和量子传感的结论与展望。

2. SiC中三种自旋缺陷的制造


碳化硅(SiC)中的自旋缺陷,如硅空位中心、二空位中心和氮空位中心,展示了卓越的自旋和光学性能,适用于量子技术[41–43]。高效且可控的制造技术对于充分发挥它们在各种SiC基量子技术中的潜力至关重要。在本节中,我们首先回顾了SiC中三种自旋缺陷的制造进展。目前,已经有四种方法用于制造SiC中三种类型的自旋缺陷,包括电子或中子辐照[17, 20]、离子植入[44, 45]、聚焦离子束植入[46, 47]和激光写入[48]。

图 2 使用不同方法在SiC上制造硅空位中心的共聚焦图像。
(A) 通过2 MeV电子辐照对4H–SiC进行照射后的光致发光(PL)共聚焦图,经过退火处理[17],经Macmillan出版社授权转载:《Nature Materials》[17],版权归(2015年)。
(B) 离子植入退火后600°C 1小时的光致发光(PL)图像[45],版权归(2019年),美国化学学会。
(C) 使用Si2+进行聚焦离子束植入的光致发光(PL)图像[46],版权归(2017年),美国化学学会。
(D) 激光写入能量范围为7.4至13 nJ时的光致发光(PL)图像[48],版权归(2019年),美国化学学会。

2.1 硅空位中心
硅空位中心是一个由SiC晶格中缺失的硅原子组成的顺磁性缺陷[17, 20]。带负电的硅空位中心具有自旋状态 S=32S = \frac{3}{2}。在4H–SiC中有两种类型的硅空位中心:V1和V2,它们对应的零光子线(ZPL)分别为861 nm(V1)和915 nm(V2)[17, 20, 44–46]。在6H–SiC中有三种类型的硅空位中心,它们的ZPL分别位于865 nm(V1)、887 nm(V2)和908 nm(V3)[49]。由于其自旋状态可以在室温下进行相干控制,4H–SiC中的V2已成为研究最多的硅空位中心类型[17, 20, 44–46]。V2的零场分裂(D值)为35 MHz。

为了隔离单个硅空位中心,大多数实验使用商业化的高纯度SiC样品[17, 20, 44–46]。高能电子和中子辐照被用来生成单个硅空位中心,图2A显示了使用这种方法得到的共聚焦扫描显微镜图像[17]。该方法可以在整个样品中生成硅空位中心。特别是,F. Fuchs等人使用中子辐照(0.18 MeV–2.5 MeV)在裂变反应堆中生成单个硅空位中心[20]。辐照剂量的范围超过了八个数量级,从 1×1091 \times 10^9 到 5×1017cm25 \times 10^{17} \, \text{cm}^{-2}。单个硅空位中心可以在 1×109cm21 \times 10^9 \, \text{cm}^{-2} 的剂量下观察到。

与辐照相比,离子注入允许在预定位置制造颜色中心[44, 45]。碳、氢和氦离子被证明可以在从 1011cm210^{11} \, \text{cm}^{-2} 到 1014cm210^{14} \, \text{cm}^{-2} 的宽剂量范围内生成浅层单硅空位。使用相同的能量,氦离子的注入转换效率优于碳和氢离子[45]。经过优化退火后,转换产率可以进一步提高超过2倍。高浓度硅集合体缺陷有助于提高磁性或温度传感的灵敏度[45]。为了生成单个硅空位中心阵列,通常需要在SiC表面通过旋涂法沉积几百纳米厚的聚甲基丙烯酸甲酯(PMMA)层。然后,使用电子束光刻(EBL)技术制作具有特定间距的孔阵列[44]。接着,在离子注入之前,在PMMA层上开孔。停止与离子在物质中的范围(SRIM)模拟显示,碳原子可以被PMMA层阻挡,从而导致缺陷仅在PMMA层下方的SiC层中生成。相比之下,20 keV的氦离子和氢离子能够穿透200纳米的PMMA层。注入后,PMMA层在丙酮中去除,孔洞也通过异丙醇超声清洗。使用30 keV碳离子时,单缺陷生成比率大约为34% ± 4%,注入碳离子转化为硅空位缺陷的转换产率约为19% ± 4%[44]。此外,经过退火处理(温度为600°C,持续1小时)后,转换产率可以提高到约78% ± 5%,是未退火结果的约四倍,并且减少了残余辐射损伤[45]。图2B显示了退火后的硅空位中心阵列的共聚焦图像。该方法可以实现按需生成单个硅空位中心[45]。然而,由于离子注入会产生残余辐射损伤,这种方法可能会降低其对硅空位中心相干特性的影响。

正如离子注入中所提到的,位置的确定需要使用PMMA掩膜,这使得与光子器件的集成变得不方便[46, 47, 50]。聚焦离子束(FIB)注入提供了一种无需掩膜的三维硅空位中心工程方法,缺陷是通过离子碰撞生成的[46, 47]。缺陷的深度是通过SRIM模拟确定的,模拟基于离子能量以及离子能量损失与特定注入材料中注入深度之间的关系,而横向分布则通过聚焦离子束的纳米分辨率控制,该控制由预先设计的计算机文件实现[46, 47]。聚焦离子点的尺度为纳米,确定空位数量的注入剂量可以通过束流电流和驻留时间精确控制[17]。到目前为止,聚焦离子束注入中使用了氢(H+,1.7 MeV)[47]、硅(Si2+,35 keV)[46]和氦(He2+,30 keV,剂量为 1×1013cm21 \times 10^{13} \, \text{cm}^{-2})[50]离子。Si2+和He2+的注入需要退火过程以恢复由于注入而造成的晶格损伤,分别在空气中650°C退火6小时和在真空中500°C退火2小时。此外,在He2+离子注入过程中,还需要在600°C真空中退火,以去除间隙缺陷并减少背景荧光。图2C展示了聚焦Si2+离子束注入的PL共聚焦扫描图像。通过优化剂量至每个点20个离子,聚焦He2+和Si2+离子束注入可以分别达到约6.95%和3.9%的转换产率,以及约35%和38%的单个硅空位中心生成率[46, 50]。

所有上述方法不可避免地会对晶格造成残余损伤,这可能会降低缺陷的光学和自旋性能。飞秒(fs)激光写入可以最小化晶格的损伤,并且方便在4H–SiC和6H–SiC中实现按需定位的空位中心生成[48, 51, 52]。采用中心波长为790 nm、脉冲宽度为250 fs的飞秒激光[48]。激光束通过物镜聚焦到固定在三维高精度平移台上的样品上。在激光写入之前,样品需要使用皮兰哈溶液进行清洗,以去除有机污染物[18–20]。通常,阵列之间的间隔为5 μm,每脉冲的激光能量从几纳焦耳到几百纳焦耳不等。图2D展示了不同能量激光写入后的共聚焦图像。实验结果表明,无需后退火即可获得光学稳定的单个VSi的产率高达30%,且横向位置精度为80 nm,这足以将VSi中心耦合到光学结构中,如多模波导、固体浸入透镜或纳米柱。然而,为了增强光稳定性和产率,可以采用额外的退火过程。此外,脉冲激光还可用于烧蚀具有硅空位中心的4H–SiC纳米颗粒[53]。

2.2 双空位中心

SiC中的双空位中心由一个缺失的Si原子和一个缺失的C原子相邻组成,中性双空位中心具有自旋状态S = 1[15, 16]。双空位中心存在于SiC的三种多型中:4H–、6H–和3C–SiC[15, 16, 54]。在4H–SiC中,有七种类型的双空位中心,分别命名为PL1–PL7。类似地,6H–SiC中也有六种类型的双空位中心,命名为QL1–QL6。在3C–SiC中只有一种类型的双空位中心。由于4H–SiC中双空位中心的ODMR对比度和相干时间大于6H–SiC中双空位中心的,因此大多数实验都集中在4H–SiC中的双空位中心[15, 16, 54]。
通过辐照生成双空位中心的基本方法与生成硅空位中心相同。使用2 MeV电子束,剂量范围从5 × 10¹² cm⁻²(用于生成单个双空位中心)到1 × 10¹⁵ cm⁻²,用于均匀生成硅和碳空位,然后在750°C或850°C(对于中性VV⁰)下进行退火30分钟,在氩气中使硅和碳空位迁移并形成双空位[16, 27]。如图3A和3B所示,这种方法已用于在4H–和3C–SiC中生成单个双空位中心[16, 27]。然而,双空位中心的位置是随机的。

类似于硅空位中心的离子注入生成方法,双空位中心也可以采用相同的方式进行制造。首先,使用200纳米厚的正电子束光刻胶PMMA层通过旋涂方式涂布在样品表面。接着,通过电子束光刻(EBL)制作掩模,在掩模上生成一个孔阵列,孔的间隔为2μm,直径为50 ± 10 nm[55]。然后使用30 keV的C+离子,剂量为1.02 × 10¹⁵ cm⁻²进行注入,每个点大约注入20个离子。结果如图3C所示。掩模通过超声波浴在丙酮溶液中去除后,样品在真空中于900°C退火30分钟[55]。为了减少背景荧光,样品再次在浓硫酸和过氧化氢的混合液中清洗,比例为3:1[23]。这种方法可以生成不同类型的双空位中心。在室温下,通过高读出对比度(30%)和高光子计数率(150 kcps),成功演示了4H–SiC中单个PL6双空位中心自旋的相干操控[55]。还观察到单个双空位自旋与附近硅核自旋之间的耦合。

由于电子辐照生成的双空位中心是随机分布的,离子注入配合PMMA掩模会造成残余晶格损伤,且浅色心限制了某些应用,因此采用了激光写入技术。使用高纯度的4H–SiC样品作为宿主材料,激光波长为1,030 nm,并在氩气气氛中进行写入[56],生成双空位中心的过程与硅空位中心的生成方法相同。如图3D所示,在同一行中,使用相同的激光能量(230、115、57.7和28.8 nJ)分别形成了不同的双空位中心[56]。后续的退火过程在氩气中进行,温度范围为500°C至1,000°C,每次加热100°C,退火30分钟。结果表明,优化后的退火温度为800°C[56]。

图3 使用不同方法和材料在SiC上获得的二缺陷中心共聚焦图像。
(A) 在4H–SiC膜中以1013 cm−2的辐照通量、20 µm的深度进行辐照 [16]。并非所有的点都是孤立的单一缺陷,转载自Macmillan Publishers Ltd.:Nature Materials [16],版权所有 (2015)。
(B) 通过辐照对3C–SiC进行PL扫描 [27],版权所有 (2017),美国物理学会。
(C) 对4H–SiC进行30 keV碳离子注入 [55],版权所有 (2021),中国科学出版传媒有限公司。
(D) 激光写入PL共聚焦图像。在28.8 nJ下未观察到点 [56],转载自Almutairi AFM等,版权所有 (2022),AIP Publishing LLC。

2.3 氮空位中心

SiC中的NCVSi中心由一个氮杂质取代一个碳原子(NC)和与其相邻的一个硅空位(VSi)组成 [21–24]。它可以在三种SiC多晶型中观察到:4H–、6H–和3C–SiC [21–24, 57, 58]。负电荷状态的NV中心具有自旋态为1。在n型4H–SiC中,12 MeV质子辐照剂量为1 × 10¹⁴ cm⁻²,并且在900°C下后退火,可以创建NV中心 [21]。高能质子和电子可以导致点缺陷,而重离子则产生较大的残余晶格损伤 [21]。除了氮浓度为10¹⁸ cm⁻³的n型4H–SiC外,高纯度半绝缘4H–SiC(氮浓度=3 × 10¹⁵ cm⁻²)也用于NV中心的生成。各种离子,如240 keV氢离子、2 MeV氮离子、4 MeV硅离子和7 MeV碘离子束,被用于辐照生成NV中心集群,如图4A所示 [59]。然后,所有样品都在氩气(1 × 10⁵ Pa)中,在不同温度下退火30分钟,并自然冷却至室温。结果表明,1000°C是生成NV中心的最佳退火温度 [59]。

此外,如图4B所示,30 keV氮离子植入(剂量1 × 10¹⁴ cm⁻²)可以在高纯度4H–SiC外延层样品的60 nm深度处创建浅层单个NV中心集群。在最佳退火条件下,于1,050°C退火2小时后,NV中心的浓度可以增加六倍。使用掩模植入方法,可以生成单个NV中心阵列。图4C和图4D显示了氮离子植入生成的单个NV中心阵列的共聚焦图像。单个缺陷的生成效率约为30%,植入的氮离子转化为NV中心的转换率约为4.3% [22]。NV中心被证明是一个三能级电子结构系统。对于c轴NV中心,激发和发射的极化度约为90% [60]。
图4 不同方法和计算空位中心每单位面积的PL积分强度与NV中心的共聚焦图像。
(A) NV中心的PL积分强度与空位中心每单位面积的关系[59],经Sato SI等授权转载,版权(2019),AIP Publishing LLC。
(B) 经过1,050°C退火后的碳离子植入NV中心集群的PL图像[22],版权(2020),美国物理学会。
(C) 单个NV中心阵列的共聚焦扫描图像[22],版权(2020),美国物理学会。
(D) 低剂量(10¹⁰/cm²)下单个NV中心的共聚焦扫描图像[23],版权(2020),美国化学学会。

3 量子传感

SiC中的颜色中心已应用于磁场、电场、温度、应变和压力等多种量子传感领域[36–40]。它们具有一些优势,包括在环境条件下具有高灵敏度和高空间分辨率。结合成熟的SiC微纳加工和生长技术,基于SiC颜色中心的量子传感将具有广泛的应用前景[36–40]。图5展示了这些自旋缺陷的自旋状态哈密顿量及其相关的物理参数[3, 61, 62]。
对于SiC中的二空位中心和NV中心,自旋状态S为1;而对于硅空位中心,自旋状态S为3/2。电子陀螺磁比γ为2.8 MHz/G。第一个项是零场分裂(ZFS),D与温度和压力相关,可用于温度和压力传感[3, 62]。第二项是Zeeman分裂,可用于磁场传感,最后一项是斯塔克效应,可用于电场和应变传感[3, 62]。接下来,我们将详细讨论这些不同量子传感方法的进展。

3.1 磁场传感

由于SiC中的这些颜色中心是自旋缺陷,其中一个主要的量子传感应用是通过测量Zeeman分裂来进行磁场传感[36]。SiC提供了一个室温下进行晶圆级量子传感的平台,得益于其成熟的制造和生成技术。连续波光学检测磁共振(ODMR)是最有用且最简单的磁场检测方法[36, 63–66]。
ODMR磁场灵敏度公式为[63]:
其中,hh是普朗克常数,CC是ODMR对比度,RR是检测到的光子计数率,Δ\Delta是ODMR光谱的线宽。通过测量ODMR光谱相对于极角θ和磁场强度的演化,我们可以得到外部磁场的极角[66]。磁场强度和角度的灵敏度分别约为10 μT/Hz¹/₂和0.5°/Hz¹/₂[66]。此外,二空位中心的ODMR对比度和频率也随磁场的偏离轴角度和强度变化,为基于SiC的全光学磁场成像和传感铺平了道路[67]。
此外,随着磁场极角θ的增加,相干时间也会减少。所有光学方法都不需要射频系统,这使得它们在实际应用中更容易实现,并且在复杂环境中更加稳定。Simin等人发现,在硅空位中心的能级反交叉(1.25 mT)附近,光致发光强度发生急剧变化,如图6A所示,这为全光学磁场传感提供了基础,如图6B所示[68]。对于同位素纯化的4H–28SiC样品,在室温下,直流磁场灵敏度优于100 nT/Hz¹/₂,且样本体积为3 × 10⁻⁷ mm³[68]。由于不需要微波,因此通过使用更大体积的样本,灵敏度有望得到进一步提高。使用三个亥姆霍兹线圈对,基于硅空位中心的矢量磁力计可以实现。
图5 SiC中自旋缺陷的自旋哈密顿量及其与每项哈密顿量相关的量子传感物理量。
ODMR的线宽基本上受到自旋缺陷的去相干时间T2p的限制[63]。激光和微波(MW)功率依赖的功率展宽也会影响ODMR的线宽[63, 64]。提高ODMR对比度并减少ODMR线宽将产生更高的灵敏度。Wang J. F.等人研究了室温下,二缺陷中心的ODMR对比度和线宽随着激光功率和微波功率的变化[64]。结果表明,ODMR对比度随着激光功率的增加而减小,而ODMR线宽则随着激光功率的增加仅略有增加[64]。同时,ODMR对比度和线宽随着微波功率的增加而增加。最后,他们展示了激光和微波功率的二维实验磁场灵敏度图,如图6C所示。对于优化的激光和微波功率范围,灵敏度大约提高了10倍(4 μT/Hz1/2)[64]。为了进一步减小ODMR的线宽,实验中使用了脉冲ODMR光谱,如图6D所示[36]。线宽可以达到约500 kHz,灵敏度为200 μT/Hz1/2[36]。
ODMR对比度是限制SiC缺陷灵敏度的主要因素之一。最近的一项研究发现,使用热淬火方法可以使ODMR对比度和计数率分别增加约10倍和2倍,如图6E所示[65]。在优化了激光和微波功率展宽的ODMR后,实验灵敏度可以提高到约3.5 nT/Hz1/2[65]。然而,所有之前的磁力计都使用共聚焦系统,这不适用于实际环境中的应用。为了进一步提高磁力计的能力,并使其与实际环境兼容,需要将基于硅空位中心的磁力计与光纤集成[69, 70]。SiC是一种适合技术应用的半导体材料,具有成熟的生长和制造技术。基于SiC的磁场传感器与半导体行业兼容,具有广泛应用的潜力。此外,由于SiC中自旋缺陷的波长接近红外,它们非常适用于远距离磁力测量。Quan W. K.等人实现了光纤集成的SiC磁力计[69, 70]。如图6F所示,他们将一个直径为100 µm的样品粘贴在光纤尖端,并实现了硅空位和二缺陷中心与光纤的有效耦合。在优化了激光和微波功率展宽ODMR峰值线宽后,他们分别获得了12.3 μT/Hz1/2和3.9 μT/Hz1/2的灵敏度[69, 70]。该技术已被用于外部磁场强度和角度的感知。

3.2 温度传感

基于SiC的温度传感的基本原理是二缺陷中心的基态零场分裂(ZFS)D随着温度的升高而减小[38, 71, 72]。在4H–SiC中,三种类型的二缺陷中心的D参数随着温度的升高而减小,其中PL5和PL6二缺陷中心的ZFS在室温附近线性减小,斜率分别为约−109.5 kHz/Hz1/2和100 kHz/Hz1/2,如图7A所示。这些值大约是钻石中的NV中心的1.5倍[38, 73]。在此基础上,Ramsey方法已被用来测量温度,结果如图7B所示。去相干时间T2*约为2 μs,并且在温度从300 K降低到20 K时没有变化[38]。Ramsey振荡频率的变化是由温度变化引起的,这可以用于温度传感。

其中,p1p_1 和 p0p_0 分别是暗态和亮态自旋状态下每次测量的光子计数[38, 74]。dDdT\frac{dD}{dT} 是二缺陷中心的ZFS与温度的斜率,TdT_d 是相干时间。该灵敏度约为 206 mK/Hz^{1/2}[38]。由于PL5是具有较大横向应变 EE 的基态二缺陷中心,它可以保护温度传感器免受磁场噪声的影响[38]。这在实际环境中非常有用。此外,它还可以用于感测更高的温度。实验结果显示,当温度从300 K升高到600 K时,PL5二缺陷中心的ZFS值和ODMR对比度均减少。去相干时间 T2T_2^* 随温度升高而减小[75]。基于Ramsey的温度传感实验在大约450 K时实现,灵敏度约为880 mK/Hz^{1/2}[75]。此外,反斯托克斯激发的计数随着温度从300 K增加到500 K而明显增加,适用于所有快速光学温度传感应用[76]。

图 6 磁力计灵敏度图和设置图像。
(A) 外部磁场 B=0.8mTB = 0.8 \, \text{mT} 下 Vsi ODMR 光谱角度演化的实验结果 [66],版权 (2015),美国物理学会。
(B) 在子微特斯拉磁场下,锁定信号的同相 UxU_x 和正交相 UyU_y 随磁场变化的实验结果。磁场每125秒增加一个子微特斯拉 [68],版权 (2016),美国物理学会。
(C) 磁力计灵敏度作为激光功率和拉比频率的函数 [64],版权 (2020),美国物理学会。
(D) 在相同的磁场和相同角度下使用不同脉冲序列的脉冲ODMR光谱。 (a) 扫描脉冲。 (b) 扫描脉冲前的 π\pi 脉冲。 (c) 扫描脉冲前后都加 π\pi 脉冲 [36],版权 (2016),美国物理学会。
(E) 热淬火后磁力计中的 shot-noise 限制灵敏度图 [65],版权 (2021),美国物理学会。
(F) 光纤集成探头的图像。探头由一个多模光纤端头、铜线和粘附在光纤端头上的 SiC 样品组成。b、c、d 和 e 是探头在不同角度的图片 [69],版权 (2023),Optica Publishing Group。

图7 不同温度下的 ODMR、Ramsey 和 TCPMG 测量。
(A) ODMR 共振频率随温度变化的函数 [38]。蓝线是对数据的线性拟合,版权 (2017),美国物理学会。
(B) 三个代表性温度下的 Ramsey 振荡 [38],版权 (2017),美国物理学会。
(C) 基态 (GS) 和 激发态 (ES) 的 ZFS 随温度变化的函数 [77],经 Macmillan Publishers Ltd. 授权转载:《Scientific Reports》 [77],版权 (2016)。
(D) TCPMG-N 脉冲序列及相应的相干时间实验结果 [73],版权 (2023),皇家化学学会。

除了基态的 ZFS,激发态的 ZFS 也可以用于温度传感 [77, 78]。硅空位中心在 4H–SiC 中的基态 ZFS 在温度从 320 K 降到约 20 K 时并没有发生变化,这与 Kramers 定理有关 [76, 77, 79]。半整数自旋系统对应变、温度和电场的波动不敏感 [79]。然而,如图 7C 所示,激发态 ZFS 在 4H–SiC 中发现具有较大的热变化,约为 2.1 MHz/K,灵敏度大约为 100 mK/Hz¹/₂ [77]。结合使用质子束写入的 4H–SiC p–n 二极管,测量由注入电流引起的温度变化 [78]。这些结果为实际应用于 SiC 功率器件中的温度计铺平了道路。为了进一步提高灵敏度,需要进一步增加相干时间。在常温下对 PL6 双空位中心进行热 Carr–Purcell–Meiboom–Gill(TCPMG)方法处理 [73]。如图 7D 所示,相干时间随着脉冲数线性增加,最长的相干时间约为 21 μs,是 T₂* 的 10 倍。相应的灵敏度为 13.4 mK/Hz¹/₂,约是 Ramsey 结果的 15 倍 [73]。为了将基于 SiC 的温度计应用于实际环境,准备了光纤耦合的 PL5 双空位中心温度计。将直径 100 μm 的含有双空位中心的 SiC 粘贴在光纤尖端,分别使用 ODMR 和 Ramsey 方法进行广范围和高精度的温度传感。灵敏度可达到约 163 mK/Hz¹/₂ [70]。

3.3 电场传感

SiC 中自旋缺陷的电场传感基本原理是斯塔克效应。对于双空位中心,它们的哈密顿量(缺陷位于 z 轴方向)如下所示 [39]:

其中,hh 是普朗克常数;DDExE_x,和 EyE_y 是零磁场分裂参数;gg 是电子 gg 因子;μB\mu_B 是玻尔磁子;BB 是磁场;σ\sigma 是自旋-1 的保利矩阵向量。DD 可以写成 D=D0+dFD = D_0 + d_\parallel F,而 E_{x,y} = E_0_{x,y} + d_\perp F_{x,y},其中 D0D_0 和 E_0_{x,y} 项是没有施加应变和电场时的晶体场分裂,dd_\perp 和 dd_\parallel 是基态自旋与电场 FF 的斯塔克耦合参数 [39]。
为了检测交流电场,± Vmem 脉冲被应用于具有双空位中心的 53 μm 厚的 SiC 膜样品(见图 8A)。使用 Hahn-echo 脉冲方案进行 T2 限制的交流电场传感 [39]。在自由演化期间,Vmem 脉冲可以引起自旋叠加态的电场诱导相位偏移。五种类型的双空位中心,包括基面和 c 轴取向的类型,用于在 20 K 和 300 K 下测量电场 [39]。拟合使用指数衰减的正弦曲线,拟合频率为自旋-电场耦合参数。实验测量和计算的 PL1–PL6 基态自旋哈密顿量的斯塔克参数在 4H–SiC 中如表 1 所示。
图 8 不同电场下的实验设置和测量结果。
(A) SiC样品的示意图以及施加在样品上的电压用于电场测量(上部分),以及通过使用脉冲序列得到的实验结果(下部分)[39],版权所有 (2014),美国物理学会。
(B) 测量中使用的脉冲序列(上部分)和在不同电场下的归一化光致发光(PL)(下部分)[37],转载自 [37],CC BY 4.0。
(C) R偏移量作为电场的函数。图点为实验结果,黑线为使用模型拟合的结果 [37],转载自 [37],CC BY 4.0。
(D) 使用硅空位中心在不同温度下的电场函数的EOCC对比度 [37],转载自 [37],CC BY 4.0。

表 1 实验测量和计算的 4H–SiC 中 PL1–PL6 基态自旋哈密顿量的斯塔克参数 [39],版权所有 (2014),美国物理学会。

除了自旋方法,纯光学电场测量方法也已经实现。二价空位和硅空位中心在明亮和暗电荷态之间的光学电荷转换(OCC)速率受到应用微波(从兆赫到吉赫)的强烈调制,因此可以通过光致发光(PL)的变化来检测电场。G. Wolfowicz 等人通过405 nm照明重置电荷状态,然后用976 nm的泵浦激光进行脉冲序列(如图8B顶部所示),对OCC瞬态衰减进行了表征 [37]。如图8B所示,衰减可以通过指数衰减函数进行拟合:f(t) = exp(−(Rt)^n),其中R是衰减时间。电场引起的R变化为ΔR(E) ≈ ΔR∞〈(E/Esat)^2 / (1+(E/Esat)^2)〉t,其中〈〉t对应于射频电场的一个振荡周期的时间平均,Esat是饱和电场的均方根幅值,ΔR∞是当Esat变化时R的最大变化 [37]。他们发现,对于二价空位中心,该样品的ΔR∞ = 27 ± 1%,Esat = 158 ± 20 V/cm。图8C显示了R与电场的关系。OCC灵敏度随976 nm激光功率增加。如图8D所示,OCC方法也可用于基于硅空位中心的电场传感,覆盖较宽的温度范围。优化后的OCC灵敏度可以达到41 ± 8 (V/cm)²/Hz¹/² [37]。交流电场也可以用来相干驱动6H–SiC中二价空位中心的自旋状态(拉比振荡器) [80]。最近,4H–SiC中的NV中心集群被用来感应一个人工交流射频场,中心频率为约900 kHz,分辨率为10 kHz [24]。这些实验为基于高灵敏度和高空间分辨率的电场传感的SiC自旋缺陷应用铺平了道路。

图 9 ODMR 测量与 Hahn 回声脉冲序列及相应结果。
(A) 在 20 K 温度下用于应变传感的直流 ODMR 结果。通过利用相反电压,观察到 0.8 MHz 的位移 [39],版权归美国物理学会(2014)。
(B) 用于测量应变的 Hahn 回声脉冲序列 [39],版权归美国物理学会(2014)。
(C) 在没有外部磁场的情况下,PL1–PL4 的 Hahn 回声结果 [39],版权归美国物理学会(2014)。

3.4 应变传感

电场与应变对自旋缺陷的相互作用是交织在一起的,因此自旋缺陷也可以用来检测应变。公式 2 中的 D 和 Ex,y 也与应变相关,表达式如下:
D ≈ D0 + e₄ ε;
Ex,y ≈ E₀ₓ,y + e⊥ εₓ,y,
其中 D₀ 和 E₀ₓ,y 项表示在没有施加应变和电场的情况下的晶体场分裂,e₄ 和 e⊥ 是应变耦合参数,ε 是有效应变场 [39]。
为了检测应变,将含有二价缺陷中心的 4H–SiC 薄膜放置在压电驱动器的顶部,当压电驱动器拉伸时,它会向 SiC 薄膜施加应变(如图 9A 所示)。应变会影响 4H–SiC 中六种二价缺陷中心的零场发射(ZPL)。当应变增加时,c轴定向的二价缺陷中心的 ZPL 会发生分叉,反映出由于应变导致的 C3v 对称性降低。

应变还会影响自旋状态。横向应变会使 PL2 的 ODMR 发生大约 0.8 MHz 的偏移,在 300 V 的压电值下 [39]。直流应变传感的限制因素是 T2*,即不均匀自旋退相干时间(大约为 1.5 μs)。它还可以用于检测交流应变。Hahn-回波脉冲方案用于 T2 限制的交流应变传感,如图 9B 所示。相应的交流应变传感数据如图 9C 所示。

3.5 高压传感

高压技术已广泛应用于物理学、地球物理学和材料科学领域,能够在高压下引发许多不寻常且重要的现象 [81-83]。在过去几十年中,压力诱导的高临界温度(Tc)超导性引起了广泛关注 [82, 83]。例如,镧氢化物在 170 GPa 时的 Tc 提升至 250 K [82, 83]。然而,由于金刚石砧细胞(DAC)中微米级的样品腔体,测量局部磁场仍然是一个巨大的挑战 [84-87]。因此,开发新的方法来克服这些挑战显得尤为重要。在高压下,NV 中心的零场分裂(ZFS)呈线性增加,斜率为 14.6 MHz/GPa [88]。通过测量金刚石中 NV 中心的 ODMR,可以测量压力引起的铁粒子的磁化率和超导体的迈斯纳效应 [84-87]。然而,由于 NV 中心具有四个轴,其 ZFS 随温度下降,这使得分析 ODMR 光谱稍显困难 [84-87]。类似于金刚石中的 NV 中心,碳化硅(SiC)中的缺陷也可用于测量高压下材料的磁性 [40, 89]。SiC 是一种广泛应用的半导体,具有成熟的英寸级生长和微/纳米制造技术。

图10(A) SiC砧座单元的示意图[40],经Macmillan Publishers Ltd.许可转载:Nature Materials [40],版权所有(2023年)。
(B) 在不同压力下的D值变化。红线显示D值与压力之间的线性关系[40],经Macmillan Publishers Ltd.许可转载:Nature Materials [40],版权所有(2023年)。
(C) 使用硅-空位中心对Nd₂Fe₁₄B样品进行的磁测量,在压缩(蓝色)和解压(红色)过程中[40],经Macmillan Publishers Ltd.许可转载:Nature Materials [40],版权所有(2023年)。
(D) 在9.0 GPa下的ODMR分裂随温度变化的图像。突变点表示超导转变[40],经Macmillan Publishers Ltd.许可转载:Nature Materials [40],版权所有(2023年)。
(E) YBa₂Cu₃O₆.₆相图[40]。通过在不同压力下测量Tc,可以获得Tc-压力相图。橙色部分为超导相,白色部分为常态, 经Macmillan Publishers Ltd.许可转载:Nature Materials [40],版权所有(2023年)。
(F) 样品的砧面光学图像(左)和荧光扫描共聚焦图像(右)[89],版权所有(2022年),美国化学学会。
(G) D值随压力变化的图像。红线为对数据的线性拟合[89],版权所有(2022年),美国化学学会。

SiC中的硅空位中心只有一个单一的轴线,且在外部磁场下,其ODMR光谱仅有两个共振峰。此外,它还具有温度独立的零场分裂(ZFS)。这两个优越的性质使得分析ODMR光谱变得更加方便 [40, 76]。最近,Wang J. F. 等人通过设计的SiC中的硅空位中心实现了高压下的磁场探测 [40]。如图10A所示,使用了两块高质量的单晶4H-SiC立方体来制造200μm直径的SiC砧头。通过20 keV氦离子注入,产生了100 nm深的高密度浅层硅空位中心,用于磁场探测。ZFS随压力增加,斜率为0.31 MHz/GPa(图10B),明显小于金刚石中NV中心的14.6 MHz/GPa系数。相干时间T2在高达25 GPa的压力下保持不变。随后,将一个微小的Nd2Fe14B样品放置在砧头表面,并通过浅层硅空位中心的ODMR探测,观察到压力诱导的磁相变,如图10C所示。相变范围为6 GPa到10 GPa,与先前的结果一致 [87]。最后,他们利用ODMR方法测量了著名超导体YBa2Cu3O6.6的迈斯纳效应(图10D),并绘制了Tc-压力相图。随着压力增加,Tc增加至约17.1 GPa(图10E),与DAC中AC磁化率方法的结果一致 [40]。实验证明,硅空位中心是一个在高压下表现出色的量子传感器。
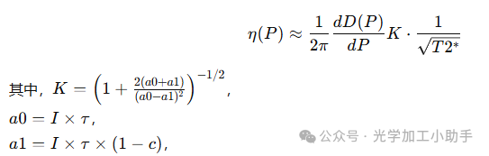
二价空位中心也可用于高压下的量子传感。正如图10F所示,含有高浓度二价空位中心的微小SiC样品被放置在DAC腔体中。PL5和PL6的零光学带(ZPL)随着压力的增加发生蓝移。PL5、PL6和PL7的零场分裂(ZFS)D随压力线性增加,系数分别为25.1、11.8和23.6 MHz/GPa(图10G)。PL5的ZFS E值在压力增加至8 GPa时保持稳定在17 MHz。ODMR对比度随压力增加而下降。在室温下,二价空位中心合成的压力传感灵敏度为:
 是去相干时间 [88, 89]。这里,I是光子计数,τ是Rabi读取持续时间,c是ODMR对比度。计算得到的压力传感灵敏度为0.28 MPa/Hz\sqrt{\text{Hz}} [89]。PL5的去相干时间T2随着压力从常压增加到约5 GPa时快速下降,然后随着压力增加至36.1 GPa时缓慢下降 [89]。PL6也可以用于检测Nd2Fe14B磁铁的压力诱导磁相变 [89]。这些实验为SiC中的硅空位中心和二价空位中心在高压下的量子传感应用铺平了道路,并为高压下的原位磁检测提供了量子平台。

4 结论与展望

在这篇综述中,我们重点讨论了三种自旋缺陷的制备及其在碳化硅(SiC)中的量子传感应用。首先,我们总结了四种主要方法,用于生成这三种自旋缺陷:电子或中子辐照、离子注入、聚焦离子注入和激光写入,讨论了这些方法在效率和位置精度方面的具体优势。在此基础上,我们讨论了在多个量子传感领域的进展,包括磁场、温度、电场、应变和高压。我们介绍了这些量子传感方法的基本工作原理、传感灵敏度和空间分辨率。

由于单自旋缺陷的计数较低,制备自旋缺陷的挑战之一是高空间精度的按需生成,这对于与光子结构的耦合将具有重要意义。对于量子传感,有一些方法可以进一步提高灵敏度。第一种方法是使用光子结构,如纳米柱 [25]、固体浸入透镜 [17]、环形谐振器和光子晶体腔 [29],以增加自旋缺陷的计数。第二种方法是使用同位素纯化的SiC样品或动态解耦方法来增加相干时间 [31]。第三种方法是优化生成方法,以增加自旋缺陷的浓度。将纳米SiC样品与原子力显微镜(AFM)结合,可以利用自旋缺陷实现纳米尺度的量子传感成像 [53, 90]。基于SiC自旋缺陷的各种量子传感具有高灵敏度和空间分辨率,为物理学、生物学和材料科学等领域开辟了广泛的应用。随着这一技术的进展,量子传感将扩展应用范围,并使其在实际环境中变得更加可行。


关于我们:

OMeda成立于2021年,由3名在微纳加工行业拥有超过7年经验的工艺,项目人员创立。目前拥有员工15人,在微纳加工(涂层、光刻、蚀刻、双光子印刷、键合)等领域拥有丰富的经验。 同时,我们支持4/6/8英寸晶圆的纳米加工。 部分设备和工艺支持12英寸晶圆工艺。针对MEMS传感器、柔性传感器、微流控、微纳光学等行业。

中国(上海)自由贸易试验区临港新片区业盛路188号450室 电话:+86 188 233 40140 邮箱:jing.chen@omeda-optics.com

来源:OMeda

关于我们

OMeda(上海奥麦达微)成立于2021年,由3名在微纳加工行业拥有超过7年经验的工艺,项目人员创立。在微纳加工(镀膜、光刻、蚀刻、双光子打印、键合,键合)等工艺拥有丰富的经验。 同时,我们支持4/6/8英寸晶圆的纳米加工。部分设备和工艺支持12英寸晶圆工艺。针对MEMS传感器、柔性传感器、微流控、微纳光学,激光器,光子集成电路,Micro LED,功率器件等行业。

姓名:*
邮件:*
公司名称:
电话:*
您的需求: