划重点:集成光子,衍射光学,超表面 ,BIC等领域文章成果,光学镊子阵列已经成为量子计算、量子模拟和量子计量的关键实验平台,实现了对单个原子和分子前所未有的控制。如何扩展这些阵列的规模已成为一个决定性的挑战。通常,光学镊子阵列是通过声光偏转器或液晶空间光调制器生成的。光学分辨率的基本限制将阵列规模限制在约10,000个陷阱。超表面——由数百万个亚波长像素组成的平面光子器件——为光学镊子阵列的生成提供了一种引人注目的替代方案。在这里,我们展示了通过全息超表面生成的光学镊子阵列中单个锶原子的捕捉。我们实现了具有超过100个单原子的二维阵列,这些原子排列在任意几何形状中,陷阱间距小至1.5微米。阵列在陷阱深度、陷阱频率和位置精度方面具有高一致性,达到了或超过了现有的方法。这得益于采用高折射率材料——富硅的氮化硅和二氧化钛——制造的高效全息超表面。通过分析和数值方法,我们发现这些超表面的亚波长像素尺寸使得镊子阵列的扩展远远超出当前的能力。作为演示,我们实现了一个具有360,000个陷阱的光学镊子阵列。这些进展克服了实现可扩展中性原子量子技术的关键障碍。
光学镊子阵列在超冷原子和分子控制方面引发了量子应用的革命。它们为量子模拟和量子计算开辟了新的领域,包括实现量子自旋系统、高保真度的瑞德伯量子门以及迈向错误修正量子计算的初步步骤。最近,双物种原子阵列和偶极分子阵列也已被报道。光学镊子阵列为量子计量学提供了强大的方法,如光学镊子钟,并为量子光学实验带来了巨大潜力,包括在腔量子电动力学和相关的原子-光子相互作用方面的探索。生成高质量光学镊子阵列的能力是许多实验的核心要求。一个镊子阵列由许多紧密聚焦的激光束组成,每个激光束形成一个用于单个粒子的陷阱。生成镊子阵列的关键标准包括阵列几何形状的高灵活性、陷阱的一致性和可扩展性。此外,紧凑性、鲁棒性和高光学效率也是理想要求,特别是在部署基于镊子的量子设备于受控实验室环境之外的前景下。目前,光学镊子阵列主要通过主动光束整形设备生成,如声光偏转器(AODs)、液晶空间光调制器(SLMs)或数字微镜装置(DMDs)。这些设备需要复杂的控制电子学和具有高数值孔径(NA)的投影光学系统,将镊子阵列投射到超冷原子或分子上。技术复杂性和基本的限制将阵列规模限制在约10,000个陷阱,这已开始对可以进行的量子应用造成限制。替代技术,如振幅掩模和微透镜阵列,也已被探索,但有限的光束整形能力使得实现高度均匀的阵列变得具有挑战性。划重点 --6英寸150nmDUVKRF 电子束光刻光栅 超结构 流片
划重点 --氮化硅氧化钛超透镜流片(有经验保证精度)
背景:目前半导体行业主流的 5 种获得光刻胶图案工艺为接触式曝光(最小线宽 2um),激光直写(最小线宽 500nm),步进式曝光(Krf 最小线宽 150nm,ArF 最小线宽 90nm),纳米压印(最小线宽几十 nm)电子束光刻(最小线宽几十 nm)。
国内在电子束,激光直写,接触式光刻,纳米压印设备均有较高的设备保有量.但是在进行小线宽加工时,电子束光刻的成本高昂,且产出低,效率低,进行纳米压印加工时需要获取其 1:1 复制的母版,同样成本高昂,且工艺流程长。步进式曝光国内有一定的保有量,但是科研院所和高校内部的 DUV 大多在 350nm,450nm,500nm 以上线宽. 很多行业高速发展,AR 衍射光波导,超透镜,光子集成线路行业对线宽提出了更高的要求,上述市场的应用多在 250nm 以下。所以为了解决小线宽产品,低成本,高产出,高效率,高精度的制造的问题。提供 6 寸步进式曝光加工。其最小线宽为 150 nm,可用于大批量生产。该设备具有全自动旋涂、显影和曝光功能,一小时可处理 20 片 6 英寸晶圆。其速度惊人.
特色工艺--超高性价比最小线宽6寸(最小线宽)紫外光刻大面积超结构及微纳结构解决方案
我们为客户提供晶圆(硅晶圆,玻璃晶圆,SOI晶圆,GaAs,蓝宝石,碳化硅,金刚石),镀膜方式(PVD,cvd,Ald)和材料(Au Cu Ag Pt Al Cr Ti Ni Sio2 Tio2 Ti3O5,Ta2O5),光刻,高精度掩模版,外延,掺杂,电子束光刻等产品及加工服务(请找小编领取我们晶圆标品库存列表,为
文章名:Trapping of man, Yuan Xu, Ximo Sun, Jiahao Wu, Mingxuan Wang, Zezheng Zhu, Bojeong Seo1, Nanfang Yu& Sebastian Will单位:Department of Physics, Columbia University, New York, NY, USA. ;Department of Applied Physics and Applied Mathematics, Columbia University, New York, NY, USA. 在最近的研究中,我们提出了使用全息超表面作为生成多功能和可扩展镊子阵列的一种方法。超表面是由亚微米像素组成的平面光学器件,可以将任意相位图案印加到入射激光束上,既能生成又能聚焦光学镊子阵列。超表面具有高功率处理能力、衍射极限聚焦和全面的偏振控制。最近的一项实验展示了在一个3×3的镊子阵列中捕捉单个原子,该阵列是通过声光偏转器(AOD)生成的,然后通过超表面透镜聚焦。然而,迄今为止,还没有展示出能够充分利用超表面光束整形能力的原子镊子阵列——将阵列生成和聚焦整合到一个设备中的示范。在这项工作中,我们展示了在超表面光学镊子阵列中捕捉单个锶(Sr)原子。使用520纳米波长的激光光源,我们实现了具有任意几何形状的二维(2D)原子阵列,包括周期性和非周期性的阵列,捕捉了超过100个原子,陷阱间距小至1.5微米。我们发现陷阱的一致性与最先进的技术相当,并展示了高保真度的单原子准备和检测。我们讨论了如何通过亚波长像素尺寸的大面积全息超表面提供实现超过100,000个原子的镊子阵列的现实途径。最后,我们实验性地展示了一个具有360,000个陷阱的高度均匀的光学镊子阵列,超越了当前最先进技术2个数量级。图1 | 超表面光学镊子阵列与超冷锶原子的集成。
a,超表面工作原理示意图。超表面将相位图案印加到入射的准直高斯激光束上,并在焦平面上产生二维阵列的紧密镊子陷阱。在这项工作中,超表面的焦距为0.7毫米,有效数值孔径(NA)大于0.6。
b,左图:展示六个超表面的基片照片,每个超表面具有不同的镊子阵列图案。基片大小为18毫米×18毫米。超表面的直径为1.16毫米。中图:扫描电子显微镜(SEM)图像,显示超表面的一部分。尺度条,500纳米。右图:超原子的单位单元尺寸为290纳米,宽度在100–190纳米之间,高度为750纳米。它们从预定库中选择,用于为入射光束引入各种相位延迟,而不改变其振幅。
c,88Sr的能级图,展示与这项工作相关的光学跃迁。原子在461纳米的宽跃迁下冷却并成像,同时使用679纳米和707纳米的再泵浦光源。通过在689纳米的组合跃迁线上进行窄线冷却(线宽为7.5千赫),可以生成微开尔文温度的锶样品。
d,原子捕获与成像的示意图。镊子激光器在520纳米工作。在照射到超表面之前,激光强度通过声光调制器(AOM)控制。超表面生成并聚焦镊子阵列,随后通过高数值孔径显微镜物镜准直,通过1:1望远镜传递,并使用高数值孔径物镜将其聚焦到超高真空玻璃腔体内,以捕捉原子。在成像过程中,原子的荧光光子通过单光子敏感的电子倍增电荷耦合器件(EMCCD)相机进行检测。尺度条,10微米。
超表面在光学镊子中的应用
超表面已成为操控光波的强大平台。通过在超表面平面上操控光波前的幅度和相位,它们能够实现光场的全息控制。我们的超表面由纳米制造的超原子组成,每个超原子都是一个介电纳米柱,其横截面尺寸小于它们操控的光的波长。具有不同尺寸的超原子以亚波长间距排列在二维网格中,以设计光波前并在焦平面上生成所需的光强图案。超表面可以在毫米到厘米尺度上制造,具有超过1百万个像素。由于超原子的亚波长尺寸和间距,超表面能够实现高光学效率和高精度的镊子图案生成。
我们使用传输型超表面来处理520纳米可见光(图1a)。这些超表面是基于Gerchberg-Saxton算法优化方法设计的相位掩模(详见方法部分)。经过优化的超表面编码了一个相位图案,该图案可以同时生成并聚焦镊子阵列。多个超表面被放置在一个单一的基片上(图1b),通过平移基片可以轻松切换不同的镊子阵列。超表面在两种互补的介电平台上实现:富硅氮化硅(SRN)——允许快速、与互补金属氧化物半导体(CMOS)兼容的制造——以及二氧化钛(TiO2),后者具有优异的功率处理能力,并与更短的光学波长兼容。超表面设计时假设入射的是平面相位前,并且具有圆形的足迹,以减少圆形输入光束在边界处的衍射效应。超表面的直径范围从1.2毫米到3.5毫米。它们可以处理至少25瓦/平方毫米(SRN)或2000瓦/平方毫米(TiO2)的光强度,而无需主动冷却,衍射效率约为60%,有效数值孔径(NA)大于0.6。关于超表面全息图的设计与优化、超原子库、洁净室制造过程,以及超表面与声光偏转器(AODs)和液晶空间光调制器(SLMs)的比较的更多细节,见方法部分。
光学镊子阵列被投射到超高真空腔体的玻璃腔内(详见方法部分)。投影系统的示意图见图1d。在照射到超表面之前,520纳米的激光经过声光调制器,以实现快速切换和陷阱深度控制。带有超表面的基片被安装在一个二维平移台上,这使得可以在不同阵列几何形状之间快速切换,同时最小化重新对准的需求。超表面在焦平面生成的镊子阵列,通过显微镜物镜(NA = 0.6)转换为光学动量空间,通过1:1望远镜传递,然后通过物镜(NA = 0.5)将其转换回玻璃腔中的镊子阵列。使用声光偏转器(AODs)、液晶空间光调制器(SLMs)或数字微镜装置(DMDs)生成镊子阵列通常需要使用大直径透镜的缩小光学系统,这些透镜容易产生像差,并且对功率处理和视场有限制;相比之下,对于我们的超表面,由于其本身具有较高的数值孔径(NA),不需要缩小光学系统。理论上,超表面可以直接在其焦平面上捕捉原子(例如,通过将它们放置在真空腔内或其附近),而不需要额外的中继光学系统。
图2 | 捕捉在超表面生成的光学镊子阵列中的锶原子的荧光图像。每张图像是100张单独图像的平均值,没有奇偶投影。
a,自由女神像图案,包含183个陷阱,平均间距为3微米。
b,准晶体(Ammann–Beenker镶嵌图案),包含225个陷阱,平均间距为4微米。
c,方形晶格,包含1,024个陷阱,平均间距为2.5微米。
d,项链图案,包含16个陷阱,平均间距为1.45微米。
尺度条:a–d,10微米;d(放大图),5微米。
图3 | 在16 × 16超表面阵列中的单原子准备与检测。
a,单个荧光图像。陷阱位置通过虚线框标出。尺度条,8微米。
b,经过奇偶投影后的占据位置的直方图;阵列的平均占据数为106(11),由虚线标出,对应的平均陷阱占据率为41(4)%。
c,16 × 16阵列中典型陷阱的光子计数直方图,如a所标出。实验重复500次并取平均值。数据能够高保真地区分一个原子和零个原子。插图显示了对应于空陷阱(左)和已占据陷阱(右)的光子计数。虚线标出阈值,如方法部分讨论的那样确定。
我们从一个超冷的88Sr原子云中将原子加载到超表面光学镊子阵列中。使用标准技术,借助Sr的独特能级结构(见图1c),将原子冷却至微开尔文温度。随后,通过荧光成像(方法部分)检测被捕捉的原子。图2展示了在不同超表面生成的镊子阵列中的原子荧光图像,包括一个完全任意的图案(自由女神像)、一个准晶体图案(Ammann–Beenker镶嵌)、一个周期性32 × 32方形晶格图案和一个具有微米尺度近距离镊子间距的项链图案。阵列的大小仅由我们当前设备中约1瓦特的可用镊子激光功率限制,最多能捕捉几百个原子。
单原子捕捉与表征
我们展示了在16 × 16超表面阵列中进行单原子捕捉与检测。实现这一过程的步骤对光学镊子势的质量和均匀性非常敏感。阵列的初始加载是统计性的;每个陷阱至少被一个原子占据,但精确的原子数量是随机的。接下来的步骤是进行奇偶投影:最初拥有奇数(偶数)个原子的陷阱被转化为仅有一个原子(没有原子)的位点(图3a)。这一过程通过将原子光关联到接近689纳米原子共振的电子激发Sr2分子态来实现,进而诱导成对原子丧失。经过奇偶投影后,41(4)%的陷阱中包含一个原子,对应于阵列中超过100个单原子,如图3b所示。
为了确定阵列中的占据情况,我们在461纳米跃迁上进行荧光成像,同时保持原子被捕捉。通过低噪声相机收集荧光光子,并评估陷阱位置的光子数量。为了最大化每个原子散射的光子数,我们同时通过689纳米的排斥性Sisyphus冷却在mJ = ±1跃迁上进行冷却,从而抵消在461纳米跃迁上反复光子散射带来的反冲加热。在这里,mJ是角动量量子数J沿镊子偏振轴的投影。图3c显示了阵列中典型陷阱的光子计数直方图。该直方图显示了两个峰值:一个峰值集中在0光子,表示没有原子,另一个峰值集中在约4.5光子,表示一个原子。单原子峰值之上的光子计数缺失表明奇偶投影的高效性。零原子峰与单原子峰之间的光子计数存在,来源于在520纳米陷阱成像过程中锶原子的损失。类似的观察结果在文献50中有报道。我们将这一损失归因于在Sisyphus冷却过程中填充的3P1态的电离过程。这一机制将在未来的工作中进一步分析。对于其他捕捉波长,例如813纳米(参考文献51),已知没有这种损失。我们确定成像保真度为>95(3)%。当使用较小的4 × 4阵列且不受镊子激光功率限制时,我们观察到填充率为49(3)%且成像保真度为99.8(5)%(方法部分)。
接下来,我们对16 × 16阵列的均匀性进行表征。陷阱深度和频率的高度均匀性确保了整个阵列中的光移和驻点振动模式保持恒定;陷阱位置的高精度对于精确控制原子间相互作用至关重要。我们使用被捕捉的原子作为高灵敏度探针,来测量每个陷阱的深度、频率和位置。关于这些测量的更多细节,见方法部分。图4展示了我们的表征结果。对于陷阱深度以及径向(轴向)陷阱频率,我们在整个阵列中分别发现了7.5%和5%(8%)的标准偏差。与4微米的陷阱间距相比,位置误差大约在1.5%的水平,这与锶原子在陷阱中的振动波函数的范围相似。
图4 | 通过原子响应表征超表面阵列的均匀性。使用一个16 × 16的方形阵列,陷阱间距为4微米。
a–c,左图:表征阵列中每个陷阱的陷阱深度U(a)、径向陷阱频率νr(b)和陷阱位置(c)的均匀性。右图:分别展示每个陷阱观察到的相关量的直方图。插图展示了每个测量的陷阱特性。
数据表明,我们的超表面阵列的均匀性与现有技术的性能相当,甚至超过了它们。例如,使用液晶SLM生成的阵列通常会有10%的陷阱深度波动(参考文献9, 52)。为了通过反馈减少这种波动的方法正在积极研究中(参考文献32, 53, 54),但对于大规模阵列,这些方法在根本上是有限的,如下一节所讨论的那样。对于超表面阵列,我们将剩余的不均匀性归因于中继光学系统的缺陷和超原子制造误差,这两者都有相当大的改进空间。在通过中继光学系统传输之前,我们测量了超表面焦平面的强度不均匀性,最低可达4%(方法部分)。
超表面光学镊子阵列的可扩展性
在这一节中,我们讨论了超表面光学镊子阵列的可扩展性,并展示了它们与其他基于像素的光束整形设备(如DMD和液晶SLM)的性能对比。我们发现,超表面提供的小像素尺寸和大像素数对于实现大规模且均匀的镊子阵列至关重要。
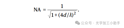
为了说明这一点,我们首先考虑使用基于像素的设备重现一个简单的透镜,如图5a所示。像素尺寸用d表示,像素密度为1/d,入射激光束的波长用λ表示。我们首先将一个球面透镜转换为一个菲涅尔透镜,通过对前者的相位轮廓ϕ(x)取模2π。将菲涅尔透镜的相位轮廓用基于像素的设备来逼近时,有限的采样限制了可以重现的相位梯度的陡峭度,∂ϕ/∂x ≱ π/2d。这限制了在透镜边缘重现陡峭相位梯度的能力。更大的像素尺寸将减少可达到的相位梯度,减少设备的可用直径,并有效降低可实现的数值孔径(NA)。基于这一论点,我们推导出了一个近似的解析表达式,用于给定像素尺寸与波长比的情况下,所能达到的有效数值孔径:
NA=1(1+(4dλ)2)\text{NA}=\frac{1}{\left(1+\left(\frac{4d}{\lambda}\right)^2 \right)}NA=(1+(λ4d)2)1
(详见方法部分)。在图5b中,我们绘制了在可见光和近红外范围内的多个常见镊子波长下,针对广泛的像素密度所得到的有效数值孔径,说明相对于激光波长的较小像素尺寸可以显著提高有效数值孔径。对于几微米的像素尺寸(这是DMD和液晶SLM的典型尺寸),在d ≫ λ的情况下,数值孔径将限制在0.05以下。而对于亚波长像素,在d ≱ λ的情况下,数值孔径可以达到0.5或更高。超越透镜的例子,我们模拟了可以通过基于像素的设备生成的光学镊子阵列(图5c)。对于较小的像素尺寸d,可达到的有效数值孔径更高,因此单个镊子可以被聚焦得更紧密。这使得超表面能够在相同的区域内容纳更多的镊子陷阱。
在一系列模拟中,我们改变了像素尺寸d,但保持设备的像素数量为300 × 300,同时优化相位掩模,以在焦平面上生成间距为5微米的3 × 3方形阵列(方法部分)。如图5c所示,陷阱的半高宽度(FWHM)随着像素密度1/d的增加稳步减小。因此,具有亚波长像素的全息超表面能够在焦平面上生成足够紧密的光学镊子阵列,用于直接捕捉原子,而具有较大像素的设备则需要额外的缩小光学系统。
超表面的较小像素尺寸还使得在紧凑的设备足迹内容纳大量像素成为可能。这具有优势,因为生成的高质量陷阱的数量与像素数量正相关。为了量化这种关系,我们考虑了像素数量从1,000 × 1,000(10^6)到16,000 × 16,000(256 × 10^6)不等的设备,并研究了陷阱强度在阵列中的均匀性,作为镊子陷阱数量的函数(方法部分)。图5d中的结果显示,对于固定的像素数量,当陷阱数量增加时,均匀性单调下降。数据表明,一个经验法则是,大约需要300个像素来生成一个高质量的镊子陷阱。这一点需要注意的是,这是一个基本的限制,例如通过在SLM或DMD中使用主动反馈无法改善。例如,一台高端SLM(具有4,000 × 4,000像素)能够生成的高均匀性(均匀性>95%)镊子陷阱数量将被根本限制在约50,000个;而超表面的像素数量可以远远超过8,000 × 8,000,从而允许创建超过200,000个陷阱的阵列,前提是有足够的激光功率。
360,000个镊子阵列
作为超表面阵列高可扩展性的展示,我们实验性地实现了一个包含360,000个镊子陷阱的阵列(图6)。这些陷阱排列在一个600 × 600的方形晶格中,相邻位点之间的间距为2.5微米。超表面的直径为3.5毫米,包含大约1.14亿个像素,采用二氧化钛(TiO2)材料制造,这种材料具有卓越的功率处理能力(方法部分)。
我们记录了整个阵列的高分辨率图像,并表征了镊子强度的均匀性。使用图6a所示的设备,该设备具有约190微米 × 140微米的高分辨率视场,我们对阵列进行了光栅扫描,阵列的实空间大小为1.5毫米 × 1.5毫米,并将超过100张单独的图像拼接成一张复合图像。该复合图像由20,380 × 20,416个像素组成,并以光栅化的形式提供在补充图1中。图6b展示了阵列边缘和角落的典型高分辨率图像,展示了阵列中镊子强度的高质量和均匀性。通过对整个阵列的定量分析,我们发现镊子强度的均匀性为92%(图6c)。随着超表面尺寸的适度增大,具有超过1,000,000个陷阱的阵列已经在现实可达的范围内。
图5 | 基于像素的光束整形设备的性能
a,球面透镜的相位轮廓近似,分别对于无限小像素尺寸(d ≪ λ)、中等像素尺寸(d ≈ λ)和大像素尺寸(d ≫ λ)。对于较大的像素尺寸,陡峭相位梯度∂ϕ/∂x的重现受到限制。这限制了设备的可用直径,并降低了有效数值孔径(NA)。
b,基于像素的设备生成的透镜的有效数值孔径,作为像素密度1/d与常见捕捉波长λ的函数。虚线垂直线表示d ≪ λ、d ≈ λ和d ≫ λ三个区域之间的近似分隔。黄色星标表示本工作中使用的超表面的像素密度。
c,基于像素的光束整形设备的聚焦能力。对于520纳米的激光波长,固定的设备分辨率为300 × 300像素,像素密度1/d变化,生成一个优化的3 × 3方形阵列,焦平面间距为5微米(插图;更多细节见方法部分)。数据点显示了陷阱的紧密程度,通过半高宽度(FWHM)进行测量。误差条表示阵列中的标准偏差。像素密度范围从最先进的液晶SLM(d = 4微米)到本工作中使用的全息超表面(黄色星标,d = 290纳米)。虚线表示有效NA模型的拟合(更多细节见方法部分)。尺度条,5微米。
d,模拟陷阱强度的均匀性,作为镊子陷阱数量的函数,设备像素数量范围从1,000 × 1,000(浅绿色)到16,000 × 16,000(深蓝色)像素。均匀性定义为100%减去阵列中陷阱强度的标准偏差(以百分比表示)。模拟假设像素尺寸为d = 290纳米(更多细节见方法部分)。误差条表示数值模拟中每个图案的均匀性扩展的保守上限。
结论
在这项工作中,我们展示了在超表面光学镊子阵列中捕捉单个原子。我们证明了这些阵列的均匀性与现有方法实现的相当;通过优化制造工艺和系统集成,预计均匀性会进一步改善。由于亚波长像素尺寸,全息超表面可以达到高效的数值孔径(NA)。这使得在超表面的焦平面上生成紧密聚焦的镊子阵列成为可能,从而实现原子的直接捕捉,无需缩小或中继光学系统。凭借其高像素数和卓越的功率处理能力,超表面为实现超过100,000个原子的镊子阵列提供了现实的路径。这满足了未来在量子模拟、量子计算、量子传感和基于原子阵列的光学钟等应用中的关键需求。
我们设想了超表面光学镊子阵列平台的未来扩展。通过将此处展示的静态阵列与动态排序光束相结合,将能够重新排列原子并创建满载阵列。此外,超表面可以通过多种方式实现功能化:共振超表面可以设计为仅在狭窄的光谱带内对光 impart相位图案,而对该光谱带外的波长保持不变。这将使得能够创建多功能超表面,通过它们可以生成、排序和成像原子阵列。此外,通过采用波长或偏振复用,超表面可以设计为在不同波长下产生相同的镊子阵列图案,这可能对单物种和双物种原子系统都非常有用。最后,开发允许反馈和重新排列原子阵列的主动超表面,将成为未来研究中的一个有趣前沿。
图6 | 600 × 600 镊子阵列的实现与表征
a,上图:包括高数值孔径(0.85)成像物镜的光学表征装置。下左图:直径为3.5毫米的TiO2超表面在焦平面上生成一个600 × 600的陷阱阵列,覆盖1.5毫米 × 1.5毫米的区域,成像在电荷耦合器件(CCD)相机上。
b,阵列的完整图像,拼接自126张单独的高分辨率图像(补充图1)。这里展示了阵列边缘和角落的八张高分辨率图像,展示了阵列中陷阱的均匀性和质量。
c,单个镊子中的光功率直方图。通过对每个陷阱中心周围区域的强度求和来确定功率。
尺度条:3.5毫米(a,左下),1.5毫米(a,右下),250微米(b,中间),5微米(b,左上)。
方法
用于可见光谱超表面的材料平台
在原子捕捉中使用超表面时,拥有多个光子材料平台是有益的,以适应不同的激光波长要求、功率处理能力和可用的制造工艺。我们实现并评估了两种CMOS兼容的材料平台,它们都支持可见光谱:TiO2和SRN。
二氧化钛
TiO2超表面利用其高折射率(在520纳米波长时n ≳ 2.4)和可忽略不计的吸收特性,实现了高衍射效率和低损耗,适用于广泛的波长范围。已有的制造方法包括:(1)在图案化电子束光刻胶上进行TiO2的成型原子层沉积(ALD);(2)使用铬硬掩模,通过感应耦合等离子体刻蚀在溅射TiO2薄膜中刻蚀结构。尽管这些方法能够提供卓越的光学性能,但它们的生产速度受到ALD生长速度较慢和硬掩模去除过程中的挑战的限制,这促使我们寻求一种具有更快制造速度的平台,以适应大规模生产。
富硅氮化硅(SRN)
我们引入了SRN作为一种超表面平台。SRN薄膜通过高速等离子体增强化学气相沉积(PECVD)直接沉积在熔融石英晶片上。通过改变等离子体增强化学气相沉积过程中使用的前驱气体(SiH4、N2和NH3)的比例,我们可以精确控制SRN薄膜的复折射率的实部,其值可以在1.9到3.1之间调整。这种可调性使得我们能够进行多样化的设计,同时保持完全兼容CMOS的均匀沉积和刻蚀步骤——这些特性已经被应用于制造具有约0.98数值孔径(NA)的可见光区大孔径金属透镜。在本工作中,我们使用厚度为750纳米、折射率n = 2.3且吸收可忽略不计的SRN薄膜。正如下面详细介绍的那样,所得到的SRN超表面实现了高前向散射效率,并能承受至少25 W/mm²的高连续光强。对于需要更高功率处理的应用,TiO2提供了极高的稳定性,能够承受超过2,000 W/mm²的光强,这对于将镊子阵列扩展到超过100,000个陷阱尤为有利。
相位-only全息图的设计与优化
为了设计生成具有特定焦距和数值孔径(NA)镊子阵列的相位-only全息图,我们采用基于Gerchberg–Saxton算法的方法。该算法利用Rayleigh–Sommerfeld衍射积分,通过前向和反向光传播在设备平面(在我们这里是超表面平面)和焦平面之间进行迭代。这个迭代过程收敛到一个相位轮廓,能够产生期望的焦平面光强分布。在每次迭代中,超表面平面上的输入幅度被设定为单位值,从而强制算法满足相位-only条件。
标准的Gerchberg–Saxton算法是为通用全息术设计的,通常会在生成的光学图案中引入斑点和噪声。尽管可以通过在更新全息图时使用“软操作”来减轻这一问题,但要实现高质量的点状陷阱仍然是一个巨大的挑战。为了解决这个问题,我们使用了加权的Gerchberg–Saxton算法,该算法经过修改,以适应超表面全息图的亚波长像素尺寸和直接聚焦能力。在第(k+1)次迭代中,目标幅度分布由计算得到的焦平面幅度和前一次迭代中的目标幅度决定,具体公式为:
其中,Ak+1target(x,y)A_{k+1}^{\text{target}}(x, y)Ak+1target(x,y) 和 Aktarget(x,y)A_k^{\text{target}}(x, y)Aktarget(x,y) 分别表示第 (k+1)(k+1)(k+1) 次和第 kkk 次迭代中的目标幅度分布,AcalculatedA_{\text{calculated}}Acalculated 是计算得到的焦平面幅度。为了防止目标幅度产生极端的数值,在每次更新中都进行数值归一化和“软操作”。通过这种方法,我们可以生成高质量的相位-only全息图,能够在任意几何形状下生成几乎均匀的点状陷阱阵列,即使是包含超过100,000个陷阱的阵列,其模拟标准偏差也低于3%。一个相位-only全息图和相应的模拟镊子阵列示例显示在扩展数据图1中。
超原子库的设计
为了构建我们的超表面超原子库,我们利用严格耦合波分析(RCWA)来计算单个SRN或TiO2纳米柱的相位和幅度响应。超原子是非双折射的,具有方形横截面。相邻纳米柱之间的中心到中心的距离(即超原子的像素尺寸)设定为290纳米。SRN的纳米柱高度设定为750纳米,TiO2的纳米柱高度设定为600纳米,宽度范围为100纳米到190纳米,以在520纳米的波长下提供2π范围内的全面相位覆盖,同时保持接近单位的透射或前向散射效率(扩展数据图2)。该库实现了超过95%的高总透射率,整个超原子集的实验衍射效率超过60%。为了防止在制造过程中因缺失或塌陷的纳米柱引起缺陷,最小的纳米柱的边缘宽度为100纳米。纳米柱的亚波长宽度和超原子的尺寸使得能够高分辨率地采样设计的超表面相位轮廓,并实现一个可达到的数值孔径(NA)为0.9。
TiO2和SRN超表面的制造
TiO2超表面的制造
由ALD生长的TiO2制成的超表面已经被证明是实现衍射极限聚焦、宽带相位控制和复杂光束整形的有前景平台,尤其在可见光范围内。我们的TiO2超表面是在500微米厚、双面抛光的熔融石英晶片上制造的。首先,旋涂并烘烤600纳米厚的ZEP-520A光刻胶(180°C,3分钟)。使用针式探测仪(KLA P-17)验证光刻胶的厚度。在施加防电荷层(DisCharge H2O X2)后,使用100 KeV电子束光刻(Elionix ELS-G100),电流为2nA,步长为4纳米,绘制纳米柱模板。随后,光刻胶在正丁酸酯中显影,在异丙醇中冲洗并用氮气干燥,得到的孔洞深度决定了最终TiO2纳米柱的高度。接下来,在100°C的ALD反应器(Cambridge NanoTech Savannah 200)中对非晶TiO2进行成型沉积,直到孔洞完全填充。使用感应耦合等离子体刻蚀(BCl3/Ar, Oxford PlasmaPro 100 Cobra)去除顶部多余的TiO2材料,直到光刻胶表面。最后,通过600W的下游等离子体灰化(PVA Tepla IoN 40)去除光刻胶模板,留下在熔融石英基片上的自由立TiO2纳米柱。
SRN超表面的制造
本文中展示的SRN超表面通过兼容CMOS的纳米制造工艺制造,如扩展数据图3a所示。首先,将设计折射率为2.3的750纳米厚SRN层沉积到切割好的500微米厚熔融石英基片上。随后,将两层光刻胶(PMMA 495k A4 和 950k A2)旋涂到SRN层上,并使用电子束光刻(Elionix ELS-G100)进行曝光,剂量为770 μC·cm⁻²,电流为2nA。为了防止在电子束光刻过程中,由于非导电基片引起的电子充电效应,在芯片上旋涂了一层防充电层(DisCharge H2O X2)。曝光后,光刻胶在异丙醇和去离子水的混合溶液(3:1)中显影2分钟。显影后的光刻胶上涂覆一层25纳米厚的Al2O3层,通过电子束蒸发形成硬掩模,以便刻蚀。接着,使用Remover PG在过夜时间将Al2O3层去除,留下在SRN层上的图案化掩模。最后,通过感应耦合等离子体刻蚀系统(C4F8/SF6/Ar/O2, Oxford PlasmaPro 100 Cobra)将该图案刻蚀到SRN层中,形成SRN纳米柱。
制造的TiO2和SRN超表面具有圆形足迹,直径范围从1.16毫米(大约4,000 × 4,000像素)到3.48毫米(大约12,000 × 12,000像素;扩展数据图4a,b)。通过扫描电子显微镜(SEM)观察制造的超表面(扩展数据图3b),显示出纳米柱无缺陷且具有垂直的侧壁。
超表面的光学性能
超表面具有圆形足迹,便于与入射光束对准,并减少超表面边缘的衍射。激光束被超表面捕获和整形的部分取决于输入光束的大小和超表面的效率。我们选择比超表面稍大的光束尺寸,以确保超表面上的光强分布相对均匀,并且光学波前平坦,这也是我们超表面设计的基础。例如,对于直径为1.16毫米的超表面,输入光束的直径大约为1.5毫米(扩展数据图4c,d)。因此,一部分输入功率会通过基片传输,而没有被调制。排除与光束不重叠的部分后,我们观察到超表面的衍射效率为60%。未来,可以为高斯输入光束设计相位掩模,从而使更多的入射功率得以利用。
超表面的高前向散射效率使得在给定的入射激光功率下可以实现大量的镊子。与SLM或AOD不同,在这些设备中,零阶衍射未被调制,表现为明亮的镜面反射斑点,而超表面中的未调制激光功率通过亚波长散射扩散到整个4π立体角,从而使原子平面基本上没有背景噪声。这突显了我们方法的巨大潜力,最近的研究表明,色散工程和逆向设计的超表面已经在数百纳米的波长范围内展示了超过90%的效率,最近的一个准三维超表面甚至展示了超过99%的异常折射效率。
超表面平台还具有较高的功率处理能力。我们通过最大化输入功率并减小入射光束的腰部来测试损伤阈值。我们观察到SRN超表面的损伤阈值至少为25 W/mm²,约为液晶SLM的5倍。通过降低SRN中的“硅富度”,从而减少材料的消光系数,应该能够进一步提高SRN超表面的功率处理能力。此外,替代材料也有望提供更好的功率处理能力;对于TiO2超表面,我们观察到在高达2,000 W/mm²的功率下没有出现退化迹象。关于超表面与AOD和SLM的特性比较,详见扩展数据表1。
根据测量的SRN超表面的损伤阈值,我们提供了一个估算,说明在当前设备参数下,能够实际生成多少个陷阱。假设一个2.3毫米 × 2.3毫米的设备,具有60%的衍射效率,激光功率为130瓦,每个镊子陷阱约为1毫瓦的激光功率,可以生成大约80,000个镊子;因此,超过100,000个位置的超表面镊子阵列在当前技术条件下是现实可行的。通过对功率处理能力的适度改进,并将设备足迹增大到10毫米 × 10毫米,即使是SRN超表面,超过1,000,000个陷阱的阵列也在现实可达范围内。TiO2的功率处理能力已经远远超过生成超过1,000,000个陷阱所需的要求。
在正文中,我们报告了陷阱深度的不均匀性为7.5%,这是通过原子测量得到的。值得注意的是,测量超表面图像平面中陷阱的光学强度不均匀性要显著低得多。通过直接测量超表面后方图像平面中每个镊子位置的峰值光学强度(即不使用中继光学系统),我们发现光学强度的不均匀性为4%。我们将原子阵列中较高的陷阱深度不均匀性归因于中继光学系统引入的缺陷。去除或改进中继光学系统应能将原子陷阱的不均匀性降低到4%。值得注意的是,我们通过改进超表面的设计和制造,能够迅速将光强不均匀性从最初的20%降低到个位数百分比,而且进一步改进的潜力也非常大。均匀性对入射光束相对于超表面的角度或位置的轻微失调不敏感,并且与具体的阵列几何形状无关。
超冷锶原子的准备与成像
超冷锶原子的准备从生成冷原子束开始,使用二维磁光陷阱(2D MOT),该陷阱直接从电阻加热的分配器中加载,如先前的工作中所描述的。原子通过推光束被转移到玻璃腔真空室,在那里它们被捕获并通过一个在461纳米跃迁上的三维MOT冷却至约1毫开尔文。我们同时操作679纳米和707纳米的两个再泵浦激光,以关闭461纳米冷却方案中的一个损失通道。为了进一步冷却原子,我们在狭线689纳米跃迁上操作第二个MOT。我们通过将689纳米跃迁的线宽扩展到3 MHz来开始MOT之间的转移,以匹配461纳米MOT的温度分布,然后平滑地收窄至单频689纳米MOT,平均捕捉到105个原子,温度为1微开尔文。
从超冷锶气体中,我们通常将光学镊子阵列加载到100 μK的陷阱深度。陷阱光源由一台5瓦的520纳米光纤激光器提供,该激光器具有二次谐波生成(Azurlight, ALS-GR-520-5-A-CP-SF),并由一台自制的扩展腔二极管激光器(工作在1,040纳米,QPhotonics, QLD-1030-100S)进行种子激发。520纳米激光输出后,我们使用声光调制器来动态控制镊子陷阱的深度。在超表面之前,我们使用一个放大望远镜将光束腰部增大,使其大于超表面的面积。超表面之后,使用一个具有高功率处理能力的显微镜物镜(NA = 0.6, Thorlabs, LMH-50X-532)对生成的图案进行准直。然后,镊子图案通过一个1:1的望远镜传递,最后通过一个物镜(NA = 0.5, Mitutoyo, G Plan Apo 50X)聚焦到原子上。
我们通过荧光成像来检测镊子阵列中的原子占据情况。我们在461纳米跃迁上共振散射光子,持续50毫秒,通过聚焦镊子的高数值孔径物镜收集荧光,使用长通光学分光镜将光从镊子路径中分离,并在电子倍增电荷耦合器件(EMCCD)相机(Andor iXon Ultra 888)上成像。在相机前,我们使用焦距为200毫米的镜头进行成像,使得单个相机像素对应的实空间尺寸为260纳米 × 260纳米。
单原子检测保真度
为了确定我们在镊子陷阱中区分一个原子和零个原子的能力,我们使用一种无模型的方法,不需要详细建模光子计数统计。在这里,我们讨论了4 × 4阵列的这一方法,相关数据见扩展数据图5。对于正文中的16 × 16阵列,我们使用相同的方法。与较小的阵列相比,较大的阵列在单原子检测保真度上略有下降,这主要是由于可用激光功率的限制,而非超表面全息图的缺陷。经验上,我们发现每个镊子陷阱提供大约7.5毫瓦的功率能提供最佳成像条件,而16 × 16阵列的可用功率仅约为4毫瓦。
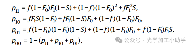
我们的方法与参考文献72中使用的方法类似,涉及在实验的同一轮次内,间隔25毫秒的短时间序列中记录原子阵列的两幅荧光图像。除了检测保真度F外,它还提供了原子阵列的初始填充率f和原子在两幅图像之间的生存率S。从这两幅图像中,我们记录每个陷阱位置的原子荧光信号(光子计数)。对于每个陷阱,有四种可能的结果及其相应的概率:两幅图像中都有原子(p11),第一幅图像中有原子但第二幅图像中没有(p10),第二幅图像中有原子但第一幅图像中没有(p01),两幅图像中都没有原子(p00)。每个事件的概率由以下公式给出:
其中,F0表示零原子的检测保真度,F1表示一个原子的检测保真度,S是图像之间的生存率,f是初始填充率。最初,用来区分零个原子和一个原子的光子计数阈值x是一个变量。通过迭代调整x(扩展数据图5d),我们解算上述方程来最大化总成像保真度,定义为F = fF1 + (1 − f)F0。通过优化每个单独镊子的阈值x,我们得到阵列的平均检测保真度为F = 99.8%,平均生存率为84.1%,平均填充率为49.2%。生存率S的下降归因于与520纳米捕捉波长相关的增强损失过程(见正文)。
陷阱表征
陷阱深度是通过捕获原子所受到的光移来测量的。我们使用689纳米MOT光束探测1S₀和3P₁态之间mJ = ±1跃迁上的光移。当探测光与移位的共振匹配时,原子会被加热并从陷阱中逸出。扩展数据图6a显示了单个陷阱中的典型损失共振。通过使用高斯模型拟合共振特征,我们确定了与自由空间共振的失谐Δ。由此,我们得出陷阱深度U = Δ / (α1S₀ - α3P₁),其中α1S₀(α3P₁)是1S₀(3P₁)态的偏振。我们报告的是统计方差而非测量不确定性,因为统计方差是总不确定性的主要贡献部分。
镊子阵列的位置信息准确性
镊子阵列的位置信息准确性是通过比较测量的陷阱位置与用于超表面设计的目标陷阱位置来提取的。通过将每个原子的荧光信号拟合到二维高斯分布,可以获得陷阱位置。预期位置与测量位置之间的位置信息不准确度定义为Δ = √(Δx² + Δy²),其中Δx(Δy)是x(y)方向的偏差。超表面的方向没有固定于实验室框架中,可以自由旋转。我们通过旋转和位移坐标图案来最小化测量位置与目标位置之间的平均距离。经过此优化后,我们发现陷阱位置的平均偏差为60纳米。如扩展数据图6b所示,测量和目标位置之间的偏差在各个方向上均匀分布,表明不存在系统性偏差。该偏差也与锶原子基态振动波函数的范围相当,分别在径向和轴向方向上约为30纳米和90纳米。
陷阱频率的测量
陷阱频率通过参数加热进行测量。镊子光的强度以5%的幅度在30毫秒内正弦调制,同时调节调制频率。分别在扩展数据图6c和6d中展示了在径向和轴向陷阱频率的两倍处的个别陷阱损失特征。径向方向上的参数共振显示出轻微的非对称性。径向方向上有两个不同的陷阱频率,我们将其归因于捕获势场并非完美的圆对称。我们使用双高斯分布拟合线形,并将几何平均值绘制为径向陷阱频率。轴向方向上的参数共振显示出对称的凹陷,我们使用单高斯分布进行拟合。扩展数据图7展示了每个陷阱中的轴向陷阱频率及其统计分布。我们报告统计方差而非测量不确定性,因为统计方差是总不确定性的主要贡献部分。
基于像素的光束整形设备的有效数值孔径(NA)
数值孔径(NA)衡量了一个光学元件(例如透镜)能够从点光源接收光的角度范围。对于真空中的球面透镜,NA由sinθ给出,其中θ是透镜接受锥体的半角,θ = arctan(D/(2f)),其中D是透镜的直径,f是透镜的焦距。
我们以透镜为例,推导基于像素的光束整形设备的有效数值孔径(NA)分析表达式(图5a)。第一步,我们将焦距为f的透镜的相位轮廓减少为具有连续局部相位变化的菲涅尔透镜,且相位模2π。当我们使用基于像素的设备来逼近菲涅尔透镜的相位轮廓ϕ(x)时,有限的采样限制了如何捕捉透镜边缘的陡峭相位梯度。我们假设相邻像素之间的相位跳跃不应大于π/2,以忠实地重现透镜的行为。对于像素尺寸为d的设备,这限制了相位梯度为∂ϕ/∂x ≱ π/2d。像素尺寸d相对于波长λ越大,能够忠实捕捉的相位梯度越小。由于透镜的相位轮廓在边缘处具有最陡峭的梯度,当无法重现边缘附近的梯度时,基于像素的设备的可用直径实际上会减小。
为了推导有效数值孔径(NA)与像素尺寸d和波长λ的关系,我们考虑以下内容(扩展数据图8)。我们将设备的每个单独像素视为一个点散射体,根据惠更斯原理,它会产生一个径向波前,其相位变化对应于给定像素的相位。我们定义θm为设备能够忠实重现边缘附近相位梯度的最大角度。在这个角度上,相邻像素之间的相位差达到了π/2。从波传播的角度来看,这相当于相邻像素之间的波前进展为λ/4,像素之间的距离为d。有效的数值孔径(NA)由sinθm给出。
使用扩展数据图8a,b的构建,并定义相邻像素之间的角度分离Δθ,以下关系成立:
将各项重新组合后,我们得到:
将两个方程平方并相加,得到:
由于像素尺寸和波长远小于焦距,即d, λ ≪ f,我们忽略了d/f和λ/f中的二次项。由此,我们得到关系cosθm = (4d/λ)sinθm。使用有效数值孔径(NA)的定义,这得出:
根据这个关系,我们可以区分三个区域(图5b):
d ≫ λ:像素尺寸太大,无法捕捉陡峭的相位梯度。透镜只能在中心的近轴区域内忠实重建,导致有效数值孔径(NA)接近0。
d ≈ λ:有效数值孔径对像素尺寸与波长的比值d/λ非常敏感。d/λ的微小减少可以显著提高有效数值孔径。
d ≪ λ:像素尺寸非常小,以至于几乎可以重现任何相位梯度,从而使有效数值孔径接近1。
对于我们的超表面,d/λ ≈ 0.6,通过这个简化模型计算得到的有效数值孔径(NA)为0.41,而我们超表面的实际NA为0.6。由于具有较高的NA,全息超表面能够直接在其焦平面上生成衍射极限的陷阱,且陷阱尺寸处于微米尺度。对于当前的液晶SLM,由于其相对较大的像素尺寸(4–20微米),有效NA为0.05或更低。它们需要高质量的低倍率光学系统,并且该光学系统具有较高的NA,才能实现具有微米尺度陷阱间距的镊子阵列。这样的光学系统可能会充当无意的低通滤波器,切断高频空间傅里叶分量,从而使得生成均匀且分辨良好的镊子阵列变得具有挑战性。尽管通过迭代优化SLM图案可以部分缓解这些问题,但全息超表面为从根本上规避这些问题提供了一种解决方案。
基于像素的光束整形设备的阵列模拟
为了数值模拟基于像素的光束整形设备的全息性能,我们采用基于快速傅里叶变换的数值方法,解Rayleigh–Sommerfeld衍射积分,以获得给定相位-only全息图的性能,该全息图具有指定的像素尺寸和分辨率。这种方法在设计和优化相位-only全息图方面非常有效,并且计算结果与我们的实验结果之间具有出色的一致性。
我们分析了具有不同像素尺寸的全息图,从商用液晶SLM的像素尺寸(3.74微米,来自HOLOEYE Photonics AG的GAEA-2 SLM)开始,并逐渐减小到本文使用的超表面亚波长像素尺寸(290纳米)。对于每种像素尺寸,全息图的分辨率设为固定的300 × 300像素。焦平面的位置根据全息图的物理尺寸(300d × 300d)和有效数值孔径(NA)计算。每个全息图都使用修改后的Gerchberg–Saxton算法进行优化,以在焦平面生成一个5微米间距的3 × 3方形陷阱阵列,而无需中继光学系统。通过对每个陷阱的光强分布在x轴和y轴上的半高宽(FWHM)值取平均(假设光轴沿z轴),我们提取了整个阵列的FWHM值的平均值和范围,如图5c所示。我们的结果表明,亚波长像素尺寸使得能够直接生成衍射极限的陷阱,且FWHM小于工作波长。
数值数据的趋势与上述推导的分析有效数值孔径(NA)关系很好地契合。单个陷阱的半高宽(FWHM)与NA的关系为FWHM = 0.51λ/NA。利用上述推导的有效数值孔径关系,并乘以一个缩放因子α,我们得到拟合函数:
缩放因子α是唯一的自由参数,这个模型与数值模拟结果(图5c)具有非常好的吻合度。
此外,我们通过数值模拟研究了在增大阵列尺寸的同时,陷阱强度的可达均匀性。我们计算了陷阱强度的标准化标准偏差,作为焦平面中生成的镊子数量的函数,设备分辨率范围从1,000 × 1,000到16,000 × 16,000像素。模拟假设像素尺寸为d = 290纳米,数值孔径(NA)为0.6,对应于本工作中使用的超表面。焦平面的位置由全息图的尺寸(分辨率 × 像素尺寸)和NA确定。使用上述算法优化全息图,并通过优化后的全息图进行最终的前向传播,计算在焦平面形成的镊子阵列。我们对每个镊子的强度轮廓进行积分,并计算整个阵列的标准偏差。
如图5d所示,我们发现对于每个分辨率,均匀性在超过一定数量的镊子后开始迅速下降。从数据中我们经验性地得出,至少需要每个镊子陷阱300个像素才能保持均匀性大于95%。
600 × 600 镊子阵列表征
600 × 600阵列在焦平面上覆盖了1.5 × 1.5毫米²的区域。捕捉整个阵列的单张图像并解析出间距为2.5微米的单个镊子是具有挑战性的。我们进行光栅扫描,并将整个阵列分成126张高分辨率图像,这些图像使用高数值孔径显微镜(NA = 0.85)记录。然后,这些图像被拼接在一起,创建整个阵列的复合图像。为了减少高数值孔径显微镜的边缘效应,每张图像与相邻图像重叠若干行和列。整个600 × 600阵列的复合图像(补充图1)、沿阵列一边滚动的视频(补充视频1)以及放大和缩小阵列的视频(补充视频2)都在补充信息中提供。
如正文中所讨论的,我们测量到阵列的强度不均匀性为8%。这是阵列实际不均匀性的上限。如扩展数据图9a所示,构成完整图像的单张图像一致地显示出由成像光学系统引入的强度梯度,而不是由超表面本身引起的。我们没有对这种成像引起的缺陷进行修正;它们被包含在不均匀性计算中。为了评估在大阵列中不同位置上单个镊子的圆度,我们展示了来自阵列中心和边缘的平均镊子图像(扩展数据图9b)。尽管阵列边缘的镊子显示出轻微的光晕效应和一些挤压,指向阵列的中心外侧,但靠近中心的镊子显示出较高的圆度。
扩展数据图1 | 计算得到的相位-only全息图及其相应的焦平面陷阱图案
a, 由修改后的Gerchberg-Saxton算法生成的相位-only全息图,具有4,000 × 4,000像素和290纳米的像素尺寸。
b, 焦平面上的模拟强度分布,显示一个自由女神像图案,由183个陷阱组成。
扩展数据图2 | RCWA计算的SRN超原子库的相位响应和透射特性
a, 超原子库的相位响应,作为纳米柱宽度a的函数。
b, 超原子库的透射或前向散射效率。所有超原子的透射率均超过95%(用灰色虚线标记)。
扩展数据图3 | 清洁室制造工艺和SRN超表面的SEM图像
a, CMOS兼容的制造工艺示意图。
b, 制造的SRN超表面的SEM图像显示出最小的缺陷和干净的侧壁。
扩展数据图4 | 超表面图像、激光束轮廓及通过超表面衍射后的光束轮廓
a, 一张2.32毫米直径的超表面照片,旁边是美国一美分硬币。
b, 生成600 × 600阵列的3.5毫米直径超表面的照片。
c, 入射到超表面的1.5毫米直径光束的光束轮廓。
d, 对齐超表面与光束后,未衍射光的远场图像。该诊断与最大化衍射功率结合使用,确保良好的光学对准。
扩展数据图5 | 在4 × 4超表面镊子阵列中的单原子准备与检测
a, 奇偶投影后的100张荧光图像平均值。高均匀性表明所有陷阱被填充原子的几率大致相等。
b, 单个荧光图像。陷阱位置由虚线框标出。
c, 奇偶投影后的占据位点数量直方图;标记的虚线表示陷阱的平均占据率,值为49(3)%。
d, 确定光子计数阈值x,以区分陷阱中的零个或一个原子。数据点显示在实验的500次迭代中,特定陷阱的光子计数。颜色越深,点的密度越高。阈值x将数据分为四个象限,象限标签为pij,其中i = 0, 1,j = 0, 1表示第一幅和第二幅图像中原子的缺失(存在)。
e, 4 × 4阵列中陷阱位置的光子计数直方图,如b所标。500次实验重复取平均。数据允许高保真度区分具有一个原子和零个原子的位点。虚线标记了整个阵列的平均阈值。
扩展数据图6 | 16 × 16阵列中的均匀性测量
a, 通过捕获场中1S₀ - 3P₁共振的光移Δ测量陷阱深度。数据展示了单个陷阱的共振特性。
b, 观察到的陷阱位置与目标位置之间的位移。
c-d, 分别展示了通过参数加热测量的径向和轴向陷阱频率。
图中的所有误差条表示来自20次测量重复的1σ标准误差(s.e.m.)。
扩展数据图7 | 轴向陷阱频率测量
左图展示了在16 × 16阵列中,间距为4微米的陷阱的轴向频率测量值;右图展示了它们的统计分布。
扩展数据图8 | 基于像素的光束整形设备的有效数值孔径(NA)计算
a, 具有焦距f的透镜的相位轮廓通过像素化相位掩模进行模拟。每个像素的尺寸为d。一个平坦的波前照射到设备上,并被转换为聚焦波前。θm是相邻像素之间的相位推进保持小于π/2的最大角度。灰度表示超表面像素的相位偏移。
b, 放大单个像素的波前推进,遵循惠更斯原理,角度θm由相邻像素之间的波前推进达到λ/4(对应于相位偏移π/2)的条件确定。Δθ表示相邻像素之间的角度分离。颜色标度表示超表面后方波前的相位偏移。
扩展数据图9 | 成像600 × 600镊子阵列
a, 整个阵列的复合图像,由126张单独的高分辨率图像拼接而成。每张图像捕捉到一个实际空间区域,大小为190 × 140 μm²。单个图像显示了测量的光强度的间断,这来自成像系统中的不完美,并对报告的镊子不均匀性产生了影响。
b, 来自阵列中心和边缘的平均镊子图像。每张图像平均了大约300个陷阱。阵列边缘的镊子显示出挤压效应,并且有一个指向阵列中心的弱光晕。
扩展数据表1 | 光束整形设备的比较