划重点:提供钛酸钡薄膜晶圆 ,可用来做钛酸钡电光调制器铁电BaTiO3薄膜在硅(Si)和氮化硅(SiN)平台上的异质集成,对于未来纳米光子薄膜调制器的开发起着至关重要的作用。由于铁电薄膜的电光(EO)特性强烈依赖于其晶体相和纹理,因此将BaTiO3薄膜集成到这些平台上并非易事。到目前为止,已经开发出一种常规集成方法,使用SrTiO3模板薄膜结合高真空沉积方法,但该方法生产效率低、成本高,并且需要单晶衬底。为了弥补这一差距,迫切需要一种具有成本效益、高通量且可扩展的高纹理化BaTiO3薄膜集成方法。因此,本文提出了一种使用La2O2CO3模板薄膜结合化学溶液沉积(CSD)工艺的集成方法。在本研究中,本文对溶液处理的BaTiO3薄膜的结构和电光特性进行了表征,并评估了其在光学环形谐振器中的集成。BaTiO3薄膜表现出纤维状纹理,具有较大的Pockels系数(reff)139 pm V−1,并且集成到基于环形谐振器的调制器中,显示出1.881 V·cm的V𝝅L值和>40 GHz的带宽。这使得BaTiO3薄膜在光子集成电路(PIC)平台上的低成本、高通量和灵活集成成为可能,并为大规模制造纳米光子BaTiO3薄膜调制器提供了潜力。#0:10mm-10mmsto衬底-bto薄膜(300nm厚度可定制)
#1:sto外延片
2寸 外延 sto 2-20nm(可定制)- 2um Sio2(可定制) -Si(可定制)
#2:a向 bto外延片
2寸 外延 a-向 bto(300nm或者500nm,或者定制)-sto 8nm(可定制)- 2um Sio2(可定制) -Si(可定制)
#3:C向 bto外延片
2寸 外延 c-向 bto(150nm或者300nm,或者定制)-sto 8nm(可定制)- 2um Sio2(可定制) -Si(可定制)
#离子注入铒代工
#6寸DUV步进式光刻代工,最小线宽180nm,超高性价比,可以只曝光
#快速氮化硅硅光铌酸锂流片 #高性价比 #低成本
#提供8寸 8umSiO2热氧片,6寸15um热氧片 10um 8um热氧片 8寸10um热氧片
室温低损伤@GCIB抛光代工@束斑小(4-5mm)更均匀
#降低硬质材料化合物晶圆等绝大多数材料的表面粗糙度,比如金刚石 ,磷化铟,砷化镓,碳化硅
#提高复合衬底和镀膜膜层的器件层膜厚均匀性,
比如SOI LNOI LTOI SICOI 等 SMARTCUT得到的薄膜
或者镀膜所得到的膜层 ,比如镀了一层氮化硅,但是由于是cvd镀膜所得到的,表面的膜厚精度很差,粗糙度很差,可以通过粗糙度初步降低粗糙度,然后通过GCIB团簇离子束抛光来修整整面的膜厚均匀性 到0.5%以下举例:
未经过Trimming 工艺的 6寸LN/LTOI晶圆 数据:
Range:100-200A
经过Trimming 工艺的 6寸LN/LTOI晶圆 数据:
Range:60A以内
SOI晶圆:--220nm薄膜/ 3um厚膜-3umSIO2-675umALOOI晶圆;--氧化铝薄膜晶圆,键合工艺和镀膜工艺
TAOOI晶圆--氧化钽薄膜晶圆,镀膜工艺
SINOI晶圆--超低损耗氮化硅薄膜晶圆,210nm-300nm-400nm-800nm
SICOI晶圆;新型量子光学平台500nm-700nm-1um
6寸LTOI晶圆批量供应;铌酸锂的有力的竞争对手,薄膜钽酸锂晶300600
8寸LNOI晶圆;8寸LNOI助力更大规模薄膜铌酸锂产品量产
LN/LT-SOI/Si/SIN W2W&D2W异质集成
流片: 6寸 氮化硅 铌酸锂 硅光 超高性价比流片, 1个BLOCK的价格买一整片晶圆
划重点--全国产-超高性价比-6 寸硅光-氮化硅-铌酸锂流片白皮书
我们为客户提供晶圆(硅晶圆,玻璃晶圆,SOI晶圆,GaAs,蓝宝石,碳化硅(导电,非绝缘),Ga2O3,金刚石,GaN(外延片/衬底)),镀膜(PVD,cvd,Ald,PLD)和材料(Au Cu Ag Pt Al Cr Ti Ni Sio2 Tio2 Ti3O5,Ta2O5,ZrO2,TiN,ALN,ZnO,HfO2。。更多材料),键合(石英石英键合,蓝宝石蓝宝石键合)光刻,高精度掩模版,外延,掺杂,电子束光刻等产品及加工服务(请找小编领取我们晶圆标品库存列表,为您的科学实验加速。
请联系小编免费获取原文
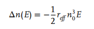
文章名:Integration Of Solution-Processed BaTiO3 Thin Films with High Pockels Coefficient on Photonic Platforms作者:Ewout Picavet, Enes Lievens, Kobe De Geest, Hannes Rijckaert, Edgar Gutierrez Fernandez,Oier Bikondoa, Eduardo Solano, Petriina Paturi, Nishant Singh, Tinus Pannier, Jiayi Liu,Xin Yin, Dries Van Thourhout, Jeroen Beeckman, and Klaartje De Buysser许多钙钛矿材料优异的功能特性推动了这些材料在硅(Si)和氮化硅(SiN)平台上的异质集成路线的发展,以用于光子集成电路(PICs),从而实现各种新型光子器件的制备。[1–3] 这些光子器件最重要的组成部分之一是纳米光子相位调制器,铁电材料如LiNbO3、[4,5] Pb(Zr,Ti)O3、[6,7] 和BaTiO3[8,9] 被集成到这些PIC平台上,以将其优异的电光(EO)特性与集成硅光子学(SiPh)的低制造成本相结合。这为生产基于线性电光效应(Pockels效应)的纯电光相位调制器开辟了一条道路,该调制器具有高线性度、高效率、低光学损耗且没有不必要的残余幅度调制。Pockels效应的简化描述是,通过以下方程,外加电场(E)引起的折射率变化(Δn(E))与电场之间的线性关系:在这个方程中,reff(单位:pm V−1)是有效的Pockels系数,n0是没有电场时的折射率,E(单位:V cm−1)是施加的电场。在铁电材料中,BaTiO3被认为是最具前景的未来材料之一,原因有三。首先,它具有所有电光材料中最大的Pockels系数之一。[10–12] 其次,它是一种无铅材料。第三,它是一种化学和热稳定的金属氧化物材料。多年来,这使得高速度BaTiO3薄膜调制器的开发成为可能,这些调制器具有低传播损耗,[13] 高速调制,[14,15] 和低功耗,[16] 确认了在PIC平台上异质集成BaTiO3薄膜调制器的巨大潜力。
尽管BaTiO3薄膜具有出色的性能,但将高度纹理化的BaTiO3薄膜集成到光子集成电路(PIC)平台上并非易事。由于BaTiO3薄膜的电光特性强烈依赖于其晶体相和薄膜纹理,因此开发了一种外延集成工艺,以获得高度纹理化的BaTiO3薄膜。[17–20] 传统上,SrTiO3模板薄膜是在单晶硅(Si)上外延生长的,由于SrTiO3材料(a:3.905Å)与BaTiO3材料(a:3.994Å,c:4.0335Å)之间的高晶格匹配,便于将BaTiO3薄膜外延集成到SrTiO3薄膜上。[21,22] 随后,通常通过高真空技术如分子束外延(MBE)、[23–25] 脉冲激光沉积(PLD)、[24,26] 和射频溅射法[24,27] 来沉积高度纹理化的BaTiO3薄膜。一旦形成外延的BaTiO3薄膜,就可以通过直接晶片键合、转移打印和翻转芯片等集成方法将其集成到非单晶硅衬底上。[9,15] 尽管集成是可行的,但这种传统路线存在一些缺点。首先,已证明SrTiO3模板薄膜是传播损耗的重要来源。[13] 其次,使用高真空方法似乎是制造具有强电光效应(Pockels效应)或必须制造用于非线性电光效应的BaTiO3超表面的高度纹理化BaTiO3薄膜所必需的。[12,28,29] 第三,BaTiO3薄膜的形成必须在单晶硅衬底上进行,这大大限制了集成的灵活性。所有这些都限制了在大规模上制造和集成BaTiO3薄膜到纳米光子薄膜调制器中的能力。因此,亟需一种低成本、高通量且更加灵活的集成方法,为BaTiO3薄膜在PIC平台上的大规模集成铺平道路。在这里,我们提出了一种基于两个根本性变化的替代处理路线:使用La2O2CO3模板薄膜和通过化学溶液沉积(CSD)工艺集成BaTiO3薄膜。La2O2CO3模板薄膜具有低损耗和固有的自定向行为,确保与各种衬底的兼容性,并允许在需要更高退火处理的情况下在光子平台上进行原位处理路线(直接集成),当由于处理平台的热预算而无法进行原位处理时,也可以采用外位处理路线(通过键合方法集成)。[6,33] 通过这种方式,可以在光子平台的不同处理阶段实现集成的灵活性和/或与热预算的兼容性。此外,通过溶液处理进行集成为低成本和高通量工艺提供了一条途径。
在本研究中,首先对溶液处理的BaTiO3薄膜堆层进行了结构表征,以研究其晶体相、薄膜纹理和表面粗糙度。然后,评估了其电光(EO)特性,并将BaTiO3薄膜集成到SiN O带环形谐振器中,以评估和验证所提出的溶液工艺作为集成路线,用于制造高速薄膜调制器。BaTiO3薄膜表现为四方相(P4mm),并具有纤维纹理,较长的c轴在平面内随机对齐,同时具有典型的微观结构和较低的表面粗糙度。该高度纹理化的薄膜具有较大的reff、高调制效率和较大的带宽,在SiN O带环形谐振器中表现出良好的性能。总之,该溶液工艺为BaTiO3薄膜在光子平台上的低成本、高通量和灵活集成提供了一条新的路线,可以实现新型纳米光子薄膜调制器的大规模制造。
2.结果与讨论
2.1. 溶液处理BaTiO3薄膜的微观结构表征
由于BaTiO3薄膜的电光(EO)特性与其晶体相和薄膜纹理密切相关,因此首先评估了集成BaTiO3薄膜的这些结构特性。在图1a中,通过比较BaTiO3薄膜的二维低角度入射广角X射线散射(GIWAXS)图像的方位积分与铁电四方相BaTiO3晶体相(P4mm)的粉末衍射文件(PDF)进行评估。这里,所有的衍射峰都与PDF文件(PDF: 00-05-0626)高度一致,没有出现额外的二次相。四方晶体相通过(002)/(200)衍射峰的分裂清晰可见(见插图),这是由于c轴晶格参数的延长所导致的。
除了形成所需的铁电晶体相外,BaTiO3薄膜还表现出较高的纹理度。在图1b中,BaTiO3薄膜在不同衬底(Si、Si/SiO2、Si/SiN、康宁玻璃(CG)和CG/ITO)上的外扩展 𝜃-2𝜃 X射线衍射(XRD)测量显示仅有强烈的(h00)衍射峰。因此,BaTiO3薄膜表现出优选的(h00)外扩展方向性,且不受衬底性质的影响。这种优选的取向是由La2O2CO3模板薄膜引起的,La2O2CO3薄膜作为一种自定向模板薄膜,与晶体和非晶衬底兼容。[33] BaTiO3薄膜的优选外扩展取向通过计算得到的Lotgering因子(LF)为0.978(见实验部分)定量表达。虽然LF值接近1,但BaTiO3薄膜中仍包含少量体积分数的随机取向区域,因为在𝜃-2𝜃 XRD测量中也出现了(110)和(111)晶面的痕迹。此外,使用Williamson–Hall方法计算了所有BaTiO3薄膜在不同衬底(Si、Si/SiO2、Si/SiN、CG和CG/ITO)上的晶粒大小(D)和微应变(𝜇ϵ)。[34,35] 结果显示,BaTiO3薄膜的平均晶粒大小D为66.68 ± 2.47 nm,微应变𝜇ϵ为3.23 ± 0.16,其中误差表示标准偏差。低标准偏差证实了衬底类型对BaTiO3薄膜形成几乎没有影响。为了进一步评估BaTiO3薄膜的纹理,在图1c中显示了更窄的2𝜃区间(43°–47°)下的外扩展和内扩展 𝜃-2𝜃。这里可以清楚地看到,a轴的(200)晶面(2𝜃 = 45.411°)是外扩展定向的,而拉长的c轴的(002)晶面(2𝜃 = 44.972°)是内扩展定向的。因此,我们将这些BaTiO3薄膜称为a轴定向薄膜,因为较短的a轴定向在外扩展方向上。[12] 随后,BaTiO3薄膜的晶格参数(a = 3.99(1) Å,c = 4.02(8) Å,c/a = 1.00(9))可以通过这两个衍射峰计算得出。这些计算值与铁电块状BaTiO3的晶格参数(PDF:00-05-0626)(a = 3.994 Å,c = 4.038 Å,c/a = 1.011)高度一致。很可能,较长的c轴(4.02(8) Å)在内扩展方向上的优选定向与试图匹配更大的La2O2CO3模板薄膜晶格参数(4.076 Å)有关。然而,需要注意的是,本文给出的内扩展晶格参数c应视为一种近似值,因为晶格畸变(如应变、缺陷等)和薄膜中可能存在小的c轴定向体积分数。进一步的研究还探讨了在多次BaTiO3沉积后,这种优选的a轴定向是否仍然保持,因为在使用SrTiO3模板薄膜的传统方法中,BaTiO3薄膜的厚度往往会影响拉长c轴的优选定向。[25,36] 这与较小的SrTiO3晶格参数(3.905 Å)有关,它会在薄膜(<50 nm)中诱导c轴定向,而在较厚的薄膜(>50 nm)中则会放松为a轴定向。图S1(支持信息)展示了单次沉积(65 nm)和三次沉积(190 nm)厚度的BaTiO3薄膜的外扩展和内扩展 𝜃-2𝜃结果。这些结果证明,a轴优选定向得以保持,并不受BaTiO3薄膜厚度的影响。

图1. a) 将BaTiO3薄膜的方位积分GIWAXS数据与四方铁电BaTiO3相(PDF: 00-05-0626)进行比较。BaTiO3薄膜的四方晶体相通过(002)/(200)衍射峰的分裂清晰可见(见插图)。b) 在不同衬底上集成的BaTiO3薄膜的外扩展𝜃-2𝜃 XRD测量。所有衬底上都存在具有强外扩展(h00)优选取向的薄膜。c) BaTiO3薄膜优选将其拉长的c轴在内扩展方向上定向。d) 在(101)晶面的极图测量中未发现优选的内扩展取向,出现了圆形迹象。e) 溶液处理的BaTiO3薄膜中的纤维纹理示意图,导致拉长的c轴(极轴)在内扩展方向上的随机取向。
为了评估薄膜的内扩展取向,对BaTiO3薄膜的(101)晶面在2𝜃 = 31.507°处进行了极图测量,并将结果绘制在图1d中。在此,观察到在𝜒 = 45°处有一个环形衍射峰,表明没有优选的内扩展取向,这与La2O2CO3模板薄膜的对应纤维纹理取向一致。[33] 换句话说,BaTiO3薄膜可以集成在不同的衬底上,并具有纤维纹理,其拉长的c轴在内扩展方向上随机取向。由于拉长的c轴也是薄膜的极轴,因此BaTiO3单元格的极轴在内扩展方向上是随机取向的,如图1e所示。因此,这导致了随机内扩展取向的极化域的形成,这与传统外延集成的BaTiO3薄膜形成鲜明对比,后者由于使用外延SrTiO3模板薄膜,通常仅存在90°和180°的域壁。[37–40]
除了通过X射线衍射进行的结构表征外,BaTiO3薄膜的高度纹理化还通过高分辨率透射电子显微镜(HRTEM)进行可视化,如图2a、b所示。在这里,使用La2O2CO3模板薄膜在Si/SiO2衬底上集成高度结晶的BaTiO3薄膜得到了确认。HRTEM图像中观察到的大干涉图案(图2a)是莫尔条纹。[41–43] 在高倍放大图像(图2b)中,BaTiO3薄膜的优选外扩展取向清晰可见,并且通过快速傅里叶变换(FFT)分析得到了确认(见插图)。为了确定是否存在Si扩散到BaTiO3薄膜中,使用X射线光电子能谱(XPS)深度分析检查了整个薄膜堆层的成分梯度(图S2,支持信息)。在这里,代表性元素(Ba、Ti和O)在BaTiO3薄膜中均匀分布,且Ba/Ti比接近1。表面信号的成分异常与BaTiO3薄膜在环境条件下对表面污染的敏感性有关。[44,45] 因此,没有发现Si扩散到BaTiO3薄膜中,确认La2O2CO3模板薄膜也起到了有效的扩散屏障作用。
图2. a) 集成在Si/SiO2衬底上的La2O2CO3/BaTiO3堆层的HRTEM图像,显示出高度结晶的BaTiO3薄膜。b) BaTiO3薄膜的HRTEM图像和FFT分析,显示出BaTiO3薄膜的优选外扩展取向。
除了结构特性外,低表面粗糙度也是BaTiO3薄膜的重要前提条件,因为表面粗糙度会显著影响传播损耗,作为散射源。[46] 图3a、b展示了BaTiO3薄膜的平面扫描电子显微镜(SEM)图像。薄膜的表面形貌致密平滑,并具有颗粒状微观结构。观察到直径为10–80 nm的相互连接的颗粒,这与通过XRD计算得到的晶粒大小一致。薄膜中可见一些深度不一的孔隙,但这些孔隙的深度仅限于5–30 nm(见插图)。[47] 通过原子力显微镜(AFM)对BaTiO3薄膜表面进行分析,量化了其粗糙度(图3b),结果表明65 nm厚的BaTiO3薄膜的均方根(RMS)粗糙度为2.51 nm。该值低于或与其他处理过的BaTiO3薄膜相当。[48–51]
图3. 通过SEM和AFM表面分析显示,铁电堆层具有(a, b)致密的微观结构,并带有一些小孔隙,(b) 65 nm厚的BaTiO3薄膜的低表面粗糙度(RMS为2.51 nm)。
2.2. BaTiO3薄膜Pockels系数的确定在将我们的纤维纹理化BaTiO3薄膜集成到光子集成电路(PIC)之前,评估其在光学和电场下的性能非常重要。在进行电光(EO)测量之前,我们首先确定了薄膜的介电常数和损耗正切(图S3和图S4,支持信息)。结果表明,薄膜的内扩展介电常数为3660,损耗正切为0.07。然后进行电光测量,并使用实验部分中的方程(6)计算Pockels系数。由于光功率通过光电探测器线性映射到电压,方程(6)可以表示为光电探测器电压VPD。如果我们现在考虑由于调制电压(即在调制电压Vmod之后进行求导)引起的光电探测器电压的变化,我们可以得到以下表达式(见方程S11,支持信息):其中,𝜆(1550 nm)是激光的波长,g(10 μm)是电极之间的距离,𝛼(0.942)是电场的修正项(见实验部分),[52] n(2.1)是折射率,t(190 nm)是薄膜的厚度(选择该厚度是为了获得良好的信噪比),VPD,0(V)是光电探测器的电压,∂VPD/∂Vmod是由于调制信号引起的光电探测器电压的变化。图4. a) BaTiO3在极化后表现出滞后回线,这是由于极化域在电场反复扫过时发生了平面内取向的重新排列。b) 施加电场后,单位晶胞内电偶极矩重新定向的示意图。绿色单位晶胞的极轴旋转了90°,而紫色单位晶胞的极轴旋转了180°。c) 薄膜中仍然存在少量剩余的reff,并且在长时间内稳定存在。此外,在EDC = 5 V μm−1时,薄膜中仍保持较高的reff,并且非常稳定。计算得到的BaTiO3薄膜的reff作为外部直流偏置电场(EDC=V/g)的函数,如图4a所示(原始数据可见于图S5,支持信息)。最初,未极化的BaTiO3薄膜几乎没有电光反应,因为极化域在平面内随机取向,两个反向的极化域的反应相互抵消。随着EDC的增加,reff急剧增加,这源于平面内极化域的重新排列,消除了反向极化域。最终,所有极化域都最大限度地与施加的电场分量对齐,reff达到饱和。图4b展示了可能的域重新排列过程概览。在这里,重新定向通过单位晶胞中的电偶极表示,电偶极可以通过90°(绿色)或180°(紫色)旋转极轴,以最大化其电偶极与施加电场的对齐。由于极轴与单位晶胞的拉长轴平行,施加的EDC还导致单位晶胞的空间变化,从而在BaTiO3薄膜中产生应力和应变。[53] 一旦样品完全极化,在EDC的完整扫动过程中会观察到对称的滞回回线,这是堆层铁电特性的明显标志。[24,51] 在大|EDC|值下斜率减小,源于非线性电光效应。[23] 为了评估BaTiO3薄膜的平均最大响应和剩余响应,测量了不同电极垫,并对每个垫进行了多次测量。结果显示,平均最大reff为138.68±5.78pmV−1,剩余reff系数为26.38±18.05pmV−1,其中指定的误差为标准偏差。误差源自处理条件中的小变动,包括电极间距和厚度变化。此外,从滞回回线的形状可以推导出一个极化场Ec =0.5V μm−1,这比块状BaTiO3大一个数量级。这种增大通常在铁电薄膜中观察到,原因是域钉扎和有限的去极化场。[54] 此外,评估了电光响应随时间的稳定性,并在图4c中展示。在这里,剩余reff(EDC=0Vμm−1)和最大reff(EDC=5Vμm−1)在40小时内被测量。除了最初几个小时的微小变化,这些变化与域重新定向的瞬态现象有关外,电光响应在时间上非常稳定。表1. 在透射几何设置中集成BaTiO3薄膜的测量reff比较。所有测量均在1550nm的波长下进行。
为了评估我们溶液处理的BaTiO3薄膜的reff值,将其与文献中已报告的reff值进行比较,比较结果显示在表1中。这里只考虑在透射几何结构中测量的reff值,如本研究中使用的那种,因为其他报告的reff值采用不同的测量方法,导致reff的定义不同,因此在所有情况下不能直接进行比较。用于将我们结果与文献进行比较的reff定义如下:
其中,r33和r13是Pockels张量的分量。如前所述,最高的reff值通常通过高真空沉积方法获得,特别是通过分子束外延(MBE),并使用SrTiO3模板薄膜。据我们所知,我们是首个提出一种替代溶液处理工艺的研究,该工艺能够得到可比的reff值(见表1)。
这种结果的原因很可能是双重的。首先,本研究中获得的高最大reff系数归因于溶液处理BaTiO3堆层中的固有优选a轴取向,先前的研究表明,随着薄膜中a轴取向体积分数的增加,电光响应显著增加。[24,56] 我们薄膜中a轴取向的较大内在比例,与使用SrTiO3模板薄膜的传统处理BaTiO3薄膜形成对比,因为只有在超过临界的最小薄膜厚度后,a轴取向才会变得占主导地位,或者需要后退火工艺来将c轴取向转变为所需的a轴取向。[26,36,57,58] 其次,由于随机的平面内极化取向,几乎所有单位晶胞都能通过90°或180°的域反转将其极轴与EDC方向对齐。换句话说,每个单独的极化域都能够最大限度地将其极轴与施加的电场分量对齐。此外,这种随机的平面内取向大大简化了电极集成的复杂性,因为电极可以集成到任何平面内取向中,仍然能提供相同的电光响应。图5. C波段环形调制器的设计与响应。
a) 制备在BaTiO3薄膜上的SiN波导的俯视图。
b) SiN波导在BaTiO3薄膜上的横截面TEM图像。注意:在此放大倍数下,La2O2CO3薄膜(7 nm)不可见。
c) 波导结构中的TE光学模式模拟。
d) O带环形调制器的归一化传输谱,Δ𝜆FSR为1.057 nm。
e) 不同直流电压下的归一化传输谱。
f) 在施加电压与BaTiO3薄膜上的共振波长偏移之间的关系,显示出15 V以上直流电压下的预期线性趋势,调节效率为18.39pmV−1。
2.3. 将BaTiO3薄膜集成到SiN环形谐振器中为了验证在功能器件中的操作,将BaTiO3薄膜集成到SiN O带环形谐振器中(见实验部分)。图5a,b展示了一个带有金电极垫和波导横截面的环形调制器的俯视图。由于BaTiO3薄膜中的极化域在平面内随机取向,因此极化域的分布将沿环形谐振器的周长均匀分布,这意味着可以在整个周长上沉积电极。波长约为1310 nm的光耦合进入基本准横向电(quasi-TE)光学模式。图5c显示了该准TE模式的模拟,结果表明光学模式的33%被限制在BaTiO3薄膜中。O带环形调制器的传输谱如图5d所示。与自由空间中的测量类似,施加外部直流偏置电场(EDC),这会导致BaTiO3薄膜中的折射率发生变化,进而改变环形谐振器的共振波长,使其成为一个功能性的电光调制器。在图5e中,图示了共振波长随施加电压变化的关系。调节效率通过施加电压引起的波长变化斜率Δ𝜆/ΔV计算,如图5f所示。该图显示了第一个非线性趋势区域(EDC = 2.3 V μm−1以下)和第二个线性趋势区域(R = 0.9991)(EDC = 2.3 V μm−1以上)。这是预期的,因为在第一个区域中,并非所有极化域都已对齐,导致折射率的变化(方程1)是增加的reff和直流偏置的组合。一旦达到EDC = 2.3 V μm−1的直流偏置电场,所有极化域都完全对齐,reff饱和。因此,观察到共振偏移与施加的直流电压之间呈线性关系。该线性部分显示了Δ𝜆/ΔV = 18.39 pm V−1的调节效率。然后使用此调节效率来确定半波电压–长度乘积,其定义如下: 其中,L(654.50 μm)是相位调节器的长度,𝜆FSR(1.057 nm)是自由光谱范围,Δ𝜆/ΔV(pm V−1)是环形谐振器的调节效率。通过半波电压–长度乘积,可以使用方程(5)计算出负责波导结构相位调节的Pockels系数rwg。请注意,这与前面提到的Pockels系数不同,因为电场和光的极化方向不同。在这里,耦合到波导中的光的极化是TE模式,并且与电场平行。其中,𝜆(1310 nm)是波长,g(6 μm)是电极之间的距离,n(2.1)是BaTiO3薄膜的折射率,Γ(0.4)是电光重叠积分(方程S1,支持信息),V𝜋L是环形谐振器的半波电压–长度乘积。[6] 为了评估BaTiO3薄膜的平均调制效果,测量了不同的环形结构,并且每个环形结构进行了多次测量。结果得到了半波电压–长度乘积V𝜋L = 1.881∓0.078 V·cm和rwg = 111.47∓4.42 pm V−1,其中指定的误差为标准偏差。误差源自处理条件中的小变动,包括电极间距和厚度变化。这些结果与当前最先进的外延BaTiO3薄膜报告的结果相当。[23,25]图6.a) |S21| S参数的频率响应。所有曲线均以未偏置直流操作为基准进行归一化。随着直流偏置电压的增高,观察到前向传输增大,因为在较高的直流偏置电压下,Pockels系数增大。虚线表示外推数据。
b) 在10V直流偏置下,环形谐振器的带宽。测量到较大的电光效应带宽(24 GHz)和电光带宽(43 GHz),表明具有高速调制的可能性。该器件的带宽对于每个直流偏置给出了相似的值,表明器件带宽与调制强度无关。
为了完善BaTiO3 SiN O带环形调制器的结果,进行了高速度的散射矩阵测量。|S21| S参数作为调制频率的函数进行测量,因为|S21|代表设备的前向传输,结果如图6所示。在图6a中,|S21|在不同的直流电压下展示了测量结果。在这里,随着直流电压的增高,明显观察到前向传输的增加,这可以归因于在较高直流电压下,BaTiO3薄膜中的Pockels系数增大(见图4)。前向传输的增加在较小的直流电压下是线性的,并在较高的直流电压下趋于饱和,这与直流偏置下测量到的Pockels系数一致。在图6b中,给出了在10V直流偏置下器件的电光-电光(EOE)带宽和电光(EO)带宽。首先,EOE带宽定义为3 dB截止频率,约为24 GHz。其次,EO带宽定义为6 dB截止频率,约为43 GHz。这里显示的带宽很可能不是由纤维纹理化BaTiO3薄膜的材料特性所限制,而是由器件设计所决定的,因为Pockels效应理论上在≈1012 Hz的频率范围内存在,即在太赫兹范围内。在最先进的电光调制器中,已经报道了高达100 GHz的带宽。因此,通过优化调制器设计以实现高速操作,最有可能实现更高的带宽。[59–61]
3.结论
总之,采用替代La2O2CO3模板薄膜将溶液处理的BaTiO3薄膜集成到光子集成电路(PIC)平台上,得到了一种纤维纹理化的铁电BaTiO3薄膜,其拉长的c轴在平面内随机取向。由于拉长的轴也是薄膜的极轴,因此极化域在平面内随机取向。此外,BaTiO3薄膜具有较低的表面粗糙度(RMS = 2.51),且由于La2O2CO3也起到了扩散屏障作用,因此铁电薄膜中没有Si扩散。电光特性评估结果表明,BaTiO3薄膜具有较大的reff值,达到138.68 ± 5.78 pm V−1。最终,BaTiO3薄膜被集成到SiN环形谐振器中,具有V𝜋L为1.881 ± 0.078 V·cm,以及43 GHz的电光带宽。因此,我们开发了一种基于溶液的BaTiO3薄膜集成工艺,采用La2O2CO3模板薄膜,这为传统加工方法提供了有价值的替代方案。通过这种方法,能够实现BaTiO3薄膜在PIC平台上的低成本、高通量和灵活集成,为未来大规模集成BaTiO3薄膜在PIC平台上的应用提供了可能。BaTiO3薄膜的制备:
首先,对衬底(Si、Si/SiO2、Si/SiN、CG和CG/ITO)进行超声波清洗,依次使用丙酮、异丙醇和蒸馏水清洗5分钟,然后将其在120°C的热板上加热,以去除溶剂残留物。为了生产晶态BaTiO3薄膜,采用了两步制造工艺。首先,制备了La2O2CO3模板薄膜,然后集成了铁电BaTiO3薄膜。两种薄膜均采用化学溶液沉积(CSD)工艺进行沉积。La2O2CO3模板薄膜(7 nm)的前驱体溶液配方和沉积过程已在其他文献中报告。[33]为了集成BaTiO3薄膜,前驱体溶液由醋酸钡(Alfa Aesar,99%)和钛酰丁酯(Merck,97%)与添加剂一起溶解在1-丁醇(Merck,⩾99%)中。最终溶液浓度为0.4 M,溶液在沉积前通过0.2 μm的PET滤膜过滤。[48] BaTiO3前驱体溶液通过KLM SCC-200型号的旋涂机,在3000 rpm的旋涂速度下旋涂于La2O2CO3薄膜上,旋涂时间为30秒。最后,湿BaTiO3薄膜在200°C下于常温气氛中进行煅烧10分钟,随后在Jipelec jetfirst 150快速热退火(RTA)炉中,在静态空气下进行750°C退火,以获得高度结晶的BaTiO3薄膜。
相位组成、纹理和表面表征:
BaTiO3薄膜的相位组成和纹理通过GIWAXS、𝜃-2𝜃 XRD测量、极图和HRTEM进行表征。GIWAXS数据在西班牙ALBA同步辐射设施的NCD-SWEET光束线获得。入射X射线束的能量设置为12.4 keV(𝜆 = 0.9998 Å),并使用通道切割的Si(111)单色器。使用一组贝(Be)透镜(共6个),也称为贝复合折射透镜(CRLs),对光束进行准直,最终在样品位置得到50 × 150 μm²(垂直 × 水平)的光束尺寸。入射角𝛼i在0°到1°之间筛选,最终设置为0.325°,以确保表面灵敏度。曝光时间为10秒。散射图案使用Rayonix LX255-HS区域探测器记录,该探测器由1920 × 5760像素(水平 × 垂直)数组组成,像素大小为44.27 × 44.27 μm²。散射矢量|q|通过使用Cr2O3作为标准样品进行标定,得到样品到探测器的距离为201.65 mm。内在的2D GIWAXS图案根据散射矢量的组成进行了修正,并在后续通过散射矢量(q)转换为2𝜃进行报告。𝜃-2𝜃 XRD测量使用Bruker D8 Advance X射线衍射仪(Cu-K𝛼,𝜆 = 1.54184 Å)进行,配备LynxEye XE-T硅条形探测器。衍射测量在2𝜃 = 20°至50°之间进行,步长为0.02°,步时间为4秒,并使用额外的Ni滤光片。随后,通过XRD强度(20° - 70°)计算LF值,LF定义为以下公式:LF=(p−p0)(1−p0)\text{LF} = \frac{(p - p_0)}{(1 - p_0)}LF=(1−p0)(p−p0)其中,p表示与优选取向轴对应的峰强度的总和占所有衍射峰强度总和的比例,p0是材料中随机粒子分布的p值。LF值在0到1之间变化,LF = 0表示随机取向,LF = 1表示完美取向。[63]对于不同厚度的样品,还进行了附加的纹理实验,这些实验在欧洲同步辐射设施(法国)XMaS-BM28光束线进行,由英国EPSRC资助的UK-CRG提供支持。[64] 使用Dectris - Pilatus3 300k探测器(487 × 619像素,像素大小为0.172 × 0.172 mm²)收集(002)和(200) BaTiO3衍射峰。探测器位于距离样品1.1米的位置。光束能量设置为12.4 keV(𝜆 = 0.1 nm)。为了获得外扩展衍射,样品探测器在布拉格条件下定位,入射角𝜃 = 13.3°,探测器位于垂直方向上的2𝜃 = 28.7°位置。为了收集平面内衍射,采用了浅入射角(𝜃 = 0.24°)和探测器在水平方向上的2𝜃 = 28.7°的布拉格条件。多帧图像被采集并进行了平均处理,每帧曝光时间为1秒。薄膜的极图测量使用Panalytical Empyrean XRD进行,采用Cu K𝛼辐射、Bragg–Brentano HD光束条件、五轴测量仪和PixCel3D探测器。HRTEM图像使用JEOL JEM-2200FS透射电子显微镜(200 kV)在根特大学的TEM核心设施上获取,配备了球差校正器。为了进行TEM测量,使用FEI Nova 600 Nanolab Dual Beam聚焦离子束(FIB)扫描电子显微镜(SEM)上的原位起吊程序制备了横截面TEM薄片。薄膜的成分通过XPS深度分析在S-probe XPS光谱仪上测量,使用单色Al辐射(1486.6 eV)。采用Ar+离子溅射(4 keV),溅射区域为3 × 3 mm²,进行连续的50秒溅射周期。氩气压力通过热阀控制。在每个周期中,从表面去除原子,并对新表面250 × 1000 μm²区域进行定量分析。测量了Ba(3d5/2)、La(3d5/2)、Ti(2p)、Si(2s)、C(1s)和O(1s)峰的强度,通道能量为90 eV,能步长为0.1 eV。使用3 eV的洪水枪。为了抑制样品的充电,放置了一个3毫米高的镍网在样品上方。使用CasaXPS软件(Casa Software Ltd., UK)估算了相对原子浓度,采用Shirley背景和Scoffield灵敏度因子。BaTiO3薄膜的表面微观结构通过JEOL FEG SEM JSM-7600F扫描电子显微镜(加速电压10 kV)进行分析。薄膜的表面粗糙度通过Bruker Dimension Edge原子力显微镜(AFM)在空气中以轻敲模式测量。粗糙度的RMS值通过3 × 3 μm的微图像计算得出。
电光特性表征:
为了量化电光效应,使用类似于Abel等人工作中描述的设置在自由空间中进行了测量。[23] 通过确定激光束(使用1550 nm光纤耦合激光二极管产生)的电场诱导极化变化,计算了reff。使用UV光刻技术、Ti/Au电子束蒸发沉积和剥离工艺在样品上定义了互指电极图案。这里,所需的电极图案通过Karl Suss MA6 Mask Aligner设备嵌入到光刻胶中。首先沉积了10 nm的钛膜和400 nm的金膜,使用Leybold UNIVEX涂层系统沉积,并使用剥离工艺去除未曝光的光刻胶区域。初始的钛膜充当金膜和衬底之间的粘合膜。线性偏振光以45°的偏振方向(相对于电极)垂直入射通过BaTiO3薄膜。激光光束首先通过非球面准直透镜进行准直,然后通过另一块非球面透镜聚焦到电极之间,电极间距为10 μm。施加的电场引起的BaTiO3薄膜中的折射率变化导致入射光的双折射。在通过半波板和偏振器后,透射功率与诱导的延迟成正比。使用频率为f = 25 kHz、幅度为Vmod = 5V的调制信号,并通过锁相检测方案放大电光响应。测量设置的示意图可以在图S6(支持信息)中找到。在该设置中,透射光功率Pout由以下公式给出(见方程S7,支持信息):
其中,𝜆是激光的波长,g是电极之间的距离,𝛼是电场的修正因子,[52] n是折射率,t是BaTiO3薄膜的厚度,Vmod是调制信号的幅度,Pin是入射激光功率,reff是有效Pockels系数。折射率是通过使用QE Pro系列光谱仪的反射计设置计算的。修正因子𝛼用于修正平行板电容器近似,其中E = V/g。𝛼是通过有限元求解器计算的,并定义为E = 𝛼V/g。根据上述公式,可以确定BaTiO3薄膜的reff。与先前报告的外延铁电BaTiO3薄膜的自由空间测量不同,这里不需要将电场与BaTiO3薄膜的平面内晶体轴(例如,[011])对齐,因为由于BaTiO3薄膜的纤维纹理,极化域在平面内随机取向。[23,25,55] 因此,纤维纹理化BaTiO3薄膜的电光响应不依赖于样品上电极的平面内取向。最后,通过在40小时内施加恒定的直流偏置电压,且每分钟进行一次测量以计算reff,研究了BaTiO3薄膜随时间的稳定性。
器件制备与表征:
在本研究中,采用了硅氮化物(SiN)光子集成电路(PIC)平台,主要有两个原因。首先,SiN波导可以直接集成在BaTiO3薄膜上,从而最小化了处理步骤。其次,SiN的低折射率使得光功率能够在BaTiO3薄膜中得到较好的限制,从而提高了模式重叠度。设计的仿真结果见图S7和图S8(支持信息)。按照前述方法,首先在Si/SiO2(3 μm)衬底上沉积了120 nm的结晶BaTiO3薄膜。随后,使用先进真空Vision 310等离子体增强化学气相沉积(PECVD)系统,在BaTiO3薄膜上方沉积了150 nm厚的SiN层。沉积完成后,使用Raith Voyager电子束光刻(EBL)系统对设计进行图案化。然后,通过先进真空Vision 320反应离子刻蚀(RIE)设备将图案刻蚀到SiN层中。最后,通过紫外光刻、Ti/Au电子束蒸发和剥离工艺在样品上定义了电极图案。器件横截面的图示见图S9(支持信息)。BaTiO3薄膜的直流操作通过使用SiN O带环形谐振器进行研究,采用简单的台式测量设置。使用Santec的可调TSL-510 O带激光器生成1310 nm波长的光。由于内部PECVD SiN波导在1310 nm波长下的传输损耗低于1550 nm波长,因此该光被耦合进光子芯片并通过特定设计的光栅耦合器从芯片中耦合出(图S10和图S11,支持信息)。透射光通过Newport 1936-R光功率计进行记录。使用Keithley 2400标准系列源测量单元(SMU)和MPI同轴直流探针与环形谐振器上的金电极接触并施加电压。通过使用Agilent PNA-X N5247A网络分析仪研究了制造的SiN-O带环形谐振器的高速操作。该网络分析仪既作为信号源也作为电气调制信号的接收器。相同的可调O带激光器Santec TSL-510用于生成1310 nm波长的光。使用Ground-signal GS-50A RF探针实现网络分析仪与环形谐振器电极之间的电气连接,输出通过Finisar XPDV3120 70-GHz光电探测器进行测量,并重新耦合回网络分析仪以提取完整的网络散射矩阵。该设置的示意图见图S12(支持信息)。