上海奥麦达微电子有限公司

专业高效
微纳加工公司

超均匀光滑周期极化薄膜铌酸锂+离子精修--高增益光学参量放大与连续波泵浦,采用域工程化薄膜铌酸锂波导(南京大学)

#超薄超均匀LNOI晶圆 #100nm-550nm超均匀LNOI晶圆 #薄膜铌酸锂晶圆 #掺镁薄膜铌酸锂晶圆 

划重点 :提供100nm-600nm超均匀 LNOi晶圆,Variation<60A-100A

离子束精修工艺,周期极化器件必备工艺,极化易成功,良率高,

差的膜厚均匀性会破坏相位匹配条件

好的膜厚均匀性可以很好的满足相位匹配条件

小编提供的100nm-600nm超均匀超薄晶圆特点,

采用室温离子抛光技术 gascluster ion beam trimming process ,同时可以对整面的膜厚进行选区域修整以获取更优秀的 Thickness uniformity,Variation<60A-100A ,Roughness 0.1nm-0.15nm.

尽管薄膜铌酸锂(TFLN)以其高效的信号生成能力而闻名,但在完全集成的光通信电路中,片上信号放大仍然具有挑战性。本文展示了使用x-cut域工程化TFLN波导的连续波泵浦光学参量放大(OPA),在通信波段内实现了高达13.9 dB的增益,并通过商用光通信模块对其进行了高信噪比信号放大的测试。该OPA设备采用与调制器等设备常用的工艺,在晶圆级别进行制造,标志着TFLN光子集成的重要一步。

#2:a向 bto外延片

2寸 外延 a-向 bto(300nm或者500nm,或者定制)-sto 8nm(可定制)- 2um Sio2(可定制) -Si(可定制)

#3:C向 bto外延片

2寸 外延 c-向 bto(150nm或者300nm,或者定制)-sto 8nm(可定制)- 2um Sio2(可定制) -Si(可定制)

#离子注入铒代工

#6寸DUV步进式光刻代工,最小线宽180nm,超高性价比,可以只曝光

#快速氮化硅硅光铌酸锂流片 #高性价比 #低成本

#提供8寸 8umSiO2热氧片,6寸15um热氧片 10um热氧片 8寸10um热氧片

室温低损伤@GCIB抛光代工@束斑小(4-5mm)更均匀

#降低硬质材料化合物晶圆等绝大多数材料的表面粗糙度,比如金刚石 ,磷化铟,砷化镓,碳化硅

#提高复合衬底和镀膜膜层的器件层膜厚均匀性,

比如SOI LNOI  LTOI SICOI 等 SMARTCUT得到的薄膜 

或者镀膜所得到的膜层 ,比如镀了一层氮化硅,但是由于是cvd镀膜所得到的,表面的膜厚精度很差,粗糙度很差,可以通过粗糙度初步降低粗糙度,然后通过GCIB团簇离子束抛光来修整整面的膜厚均匀性 到0.5%以下举例:

未经过Trimming 工艺的 6寸LN/LTOI晶圆 数据:

Range:100-200A

经过Trimming 工艺的 6寸LN/LTOI晶圆 数据:

Range:60A以内

划重点--销售晶圆和加工
SOI晶圆:--220nm薄膜/ 3um厚膜-3umSIO2-675um

ALOOI晶圆;--氧化铝薄膜晶圆,键合工艺和镀膜工艺

TAOOI晶圆--氧化钽薄膜晶圆,镀膜工艺

SINOI晶圆--超低损耗氮化硅薄膜晶圆,210nm-300nm-400nm-800nm

SICOI晶圆;新型量子光学平台500nm-700nm-1um

8寸LTOI晶圆批量供应;铌酸锂的有力的竞争对手,薄膜钽酸锂晶300600

6寸X切Z切掺镁薄膜铌酸锂晶圆 ,厚膜 3um 5um 和 薄膜 100-600nm

8寸LNOI晶圆;8寸LNOI助力更大规模薄膜铌酸锂产品量产

LN/LT-SOI/Si/SIN  W2W&D2W异质集成

流片: 6寸 氮化硅 铌酸锂 硅光 超高性价比流片, 1个BLOCK的价格买一整片晶圆

划重点--全国产-超高性价比-6 寸硅光-氮化硅-铌酸锂流片白皮书

我们为客户提供晶圆(硅晶圆,玻璃晶圆,SOI晶圆,GaAs,蓝宝石,碳化硅(导电,非绝缘),Ga2O3,金刚石,GaN(外延片/衬底)),镀膜(PVD,cvd,Ald,PLD)和材料(Au Cu Ag Pt Al Cr Ti Ni Sio2 Tio2 Ti3O5,Ta2O5,ZrO2,TiN,ALN,ZnO,HfO2。。更多材料),键合(石英石英键合,蓝宝石蓝宝石键合)光刻,高精度掩模版,外延,掺杂,电子束光刻等产品及加工服务(请找小编领取我们晶圆标品库存列表,为您的科学实验加速。

请联系小编免费获取原文

图片


文章名:High-gain optical parametric amplification with a continuous-wave pump using a domain-engineered thin-film lithium niobate waveguide
作者:Mengwen Chen,1 Chenyu Wang,1 Kunpeng Jia,1, * Xiao-Hui Tian,1,7 Jie Tang,2 Chunxi Zhu,1 Xiaowen Gu,2 Zexing Zhao,1 Zikang Wang,1 Zhilin Ye,1,3 Ji Tang,1,3 Yong Zhang,1 Zhong Yan,3,4 Xuewen Wang,5 Guang Qian,2 Biaobing Jin,1,6 Zhenlin Wang,1 Shi-Ning Zhu,1 AND Zhenda Xie1,
单位:nanjing university
  1. 引言

信息技术的近期发展不仅要求高速通信,还需要集成光通信设备,应用领域包括数据中心通信[1-3]、卫星网络[4,5]、集成光子处理器[6,7]以及光集成传感和通信(O-ISAC)[8-10]。近年来,薄膜铌酸锂(TFLN)设备在调制速度和每比特低功耗方面不断刷新记录[11-13],并具有芯片级的占地面积,这对于进一步向紧凑型光通信设备集成是有益的。这种集成不仅依赖于线性光学设备,正如以前使用TFLN的实验所展示的[14-18],还依赖于片上光信号放大。因为这种光信号放大需要满足针对光损耗的基本信噪比(SNR)要求[19,20],遵循一般的香农-哈特利定理。最常见的片外光信号放大解决方案是使用掺铒光纤放大器(EDFA)[21,22],但这不可避免地会增加系统的体积。类似的概念可以通过在TFLN中激活激光掺杂,适用于片上设备。然而,这些激光活性设备目前仍是通过掺杂铌酸锂晶体并在智能切割工艺之前制造的[23-28],因此整个TFLN芯片必须以相同的离子浓度掺杂,这限制了包括高速电光调制器(EOM)在内的非激光活性设备的性能。

另一方面,光学参量放大(OPA)作为一种替代方案在信号放大方面具有吸引力[29,30],并且已知其具有潜在的高增益和低噪声已有几十年的历史。TFLN设备将光束限制在小的模式场尺寸中,与块体材料相比,具有更强的非线性效应[31,32],因此提供了使用连续波(CW)泵浦进行高增益OPA的全新机会。这种不中断的放大能力为实际调制信号放大奠定了基础。然而,迄今为止,仅有脉冲泵浦的OPA在TFLN上得到展示[33,34],而实现基于TFLN的CW泵浦OPA仍然具有挑战性[35-37]。这些挑战主要源于域工程化TFLN波导的制造不成熟,限制了潜在的非线性光学性能的充分发挥。

在这里,我们展示了基于TFLN的CW泵浦OPA。我们采用级联的二次谐波生成(SHG)和OPA过程,以间接泵浦几何结构,从而大大简化了泵浦条件和耦合设计。测量到的片上参量增益具有宽广的110 nm 10 dB带宽,覆盖了通信波长的C和L波段,增益高达13.9 dB。该OPA设备已用于使用1.25 Gbps和3.125 Gbps的商用通信模块进行通信信号放大的测试,结果显示与没有OPA的情况相比,OPA实现了更低的比特错误率(BER)。这些结果得益于高质量制造的域工程化TFLN波导,具有高非线性并且具有长达12.3 mm的相互作用长度。离子束修整是保持高非线性的关键,通过抑制厚度变化及其对相位匹配的副作用。波导制造和域工程化采用深紫外(DUV)光刻方法,在TFLN晶圆上进行,并与高速EOMs及其他大规模生产的晶圆级设备采用相同的工艺。因此,这些结果为TFLN光子学的片上放大能力提供了新的贡献,并标志着向完全集成TFLN光通信电路迈出的重要一步。

  1. 设备设计与制造

我们在x-cut TFLN晶圆上制造OPA设备,该晶圆与EOMs及其他高性能TFLN设备的制造兼容[13,38,39]。与直接泵浦不同,我们采用级联过程,在该过程中,泵浦通过SHG过程间接生成,因此除了信号光之外,只需输入通信波段的基波(FW),如图1(a)所示。方程(1)描述了我们设备中的级联SHG和OPA过程:

其中,ωj,TE00 ( j = FW, p, s, i) 分别对应于基波(FW)、泵浦光、信号光和闲频光的角频率。这两个过程被设计为对基波导模式(即TE00模式)进行相位匹配。在这种情况下,SHG和OPA可以通过域工程化使用相同的周期3来进行准相位匹配(QPM)。图1(b)示意性地展示了该级联过程中的基波、SHG、信号光和闲频光的强度沿波导的演化,显示了SHG生成以及随着泵浦功率从SHG增大而进入OPA过程。

采用这种方案,输入耦合只需要针对通信波段的波长进行优化。更重要的是,这种间接泵浦方案能够为基模中的短波长泵浦光提供确定性激发,如方程(1)所示。然而,在常规的直接泵浦方案中,由于TFLN波导在短波长泵浦下具有多模特性,耦合设计要实现基模的高效激发会面临挑战。

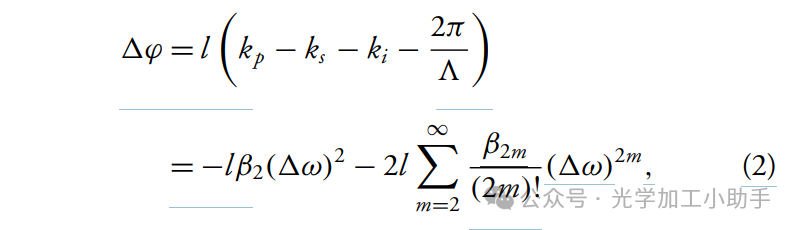
此外,工程化设计宽增益带宽也是OPA的一项重要特性,以满足信号放大的普遍需求。增益带宽由相位匹配决定[40,41]。对于一个长度为l的相互作用区域,频率失谐1ω对应的相位失配1ϕ可以表示为:

其中,k_j (j = p, s, i) 分别是泵浦光、信号光和闲频光的波矢。在一阶近似下,它与群速度色散(GVD)β2成反比。因此,较低的GVD会导致较大的增益带宽。在选择波导宽度时,我们将GVD作为考虑因素之一,因为其对宽度具有敏感依赖性。

色散和准相位匹配(QPM)条件对TFLN波导的横截面尺寸非常敏感。具体而言,目前的TFLN晶圆通常具有几十纳米量级的总厚度变化(TTV),因此会显著改变相位匹配并减少参量增益[42]。这使得从域工程化的TFLN波导中获得高的整体非线性效率(PSHG/P_FW^2,PSHG:SHG功率,PFW:FW功率)变得困难,即使使用非常短的波导时,也能很容易地计算出较高的长度归一化非线性效率[PSHG/(P_FW^2 × l^2)] [43-46]。最近,适应性极化作为提高SHG效率的有效方法被提出[47,48],通过根据映射的几何变化对极化周期进行变动模式化。在这项工作中,我们提供了一种替代方法,即离子束修整[49-51],通过主动改善晶圆整个厚度的均匀性(纳米级),从而实现通过简单的周期性极化获得高的整体转换效率,且这一方法完全兼容晶圆级制造工艺。

图1.
(a) 级联SHG和OPA过程的示意图。片上泵浦通过SHG过程间接生成,除了信号光,只有通信波段的基波输入是必需的。
(b) 级联过程过程中,基波光(FW)、SHG、信号光和闲频光的强度沿波导的演化示意图。
(c) 域工程化TFLN波导的晶圆级制造工艺。波导在域工程化过程之前制造。
(d) 离子束修整后的TFLN晶圆厚度分布图。标出了晶圆上芯片的曝光位置,以及TFLN中央区域较低厚度变化的区域。
(e) 电极制造后的晶圆照片。照片上标出了21个芯片编号。
(f) 域工程化波导的共聚焦显微镜图像。波导区域通过白框突出显示,反转域通过黄色箭头指示。
(g) 从顶部视角的波导扫描电子显微镜(SEM)图像。
(h) x-cut TFLN波导横截面的示意图,以及基波光和泵浦光的模拟TE00模式分布。
(i) 计算得到的信号波长附近的波导色散β2。

聚焦离子束扫描TFLN晶圆,同时进行材料溅射刻蚀。通过协调控制聚焦束斑和局部区域的停留时间,可以实现空间选择性材料去除,进而调整薄膜厚度,从而有效减少薄膜厚度的变化。通常,x-cut TFLN晶圆的厚度变化1t约为20纳米。通过实施离子束修整,晶圆的中央区域可以修整到亚10纳米的1t,而边缘部分则由于修整不完美,1t会较大,如图1(d)所示。尽管如此,我们在中央区域沿厘米长度获得了约2纳米的均方根(RMS)厚度变化。

高效的CW泵浦OPA还需要同时具备高非线性和低光学损耗。通常,域工程化是通过极化前刻蚀制造过程实现的。然而,这一制造过程在波导制造过程中通常会遭遇选择性刻蚀问题[52-54],在这种情况下,由于域结构的不同刻蚀速率,波导侧壁上会形成周期性的台阶。这些周期性台阶不可避免地引入额外的依赖于极化的散射损耗,当使用长域工程化TFLN波导时,这种损耗会占主导地位。我们采用了不同的方法,即刻蚀前极化过程[48,55],以消除选择性刻蚀问题。制造工艺如图1(c)所示。波导和极化电极的图案化是通过深紫外(DUV)光刻工艺分步完成的,并通过高精度的叠加对准进行对接,制造在离子修整的4英寸600纳米厚x-cut TFLN晶圆上。第一步是TFLN波导的制造,在波导的每一端设置边缘耦合器以实现高效的模式耦合。边缘耦合器由双层刻蚀的逆锥形TFLN波导构成,并覆盖有厚SiO2波导。经过DUV图案化后,进行氩离子反应离子刻蚀以形成TFLN波导和双层TFLN锥形波导。DUV曝光的场大小为15 × 16 mm²,每次曝光可以从单个晶圆上得到21个芯片。

第二步是对现有波导进行域工程化。我们在之前的晶圆级薄膜极化工艺基础上,推进了其在波导结构上的适应性极化策略[56]。双梳形极化电极沿±z轴设计,远离波导侧壁,并具有约30%的宽度占空比。图案化的电极通过电子束蒸发沉积,使用40纳米厚的Au层和30纳米厚的Cr层,并通过剥离工艺成型。使用1毫秒长的高电压脉冲,在约100 kV/mm的极化电场下施加,显著超过居里场,从而实现在波导区域内的域反转。图1(e)展示了极化电极制造后的晶圆照片。

通过这种方法,我们成功地制造出了具有高质量极化和光滑侧壁的域工程化波导,如图1(f)和1(g)所示。波导区域内的域占空比接近50:50,且周期较小,为4.17 µm。去除极化电极后,使用等离子增强化学气相沉积(PECVD)沉积了2微米厚的SiO2层,作为上覆包层。经过紫外光刻后,刻蚀形成了SiO2波导,在边缘耦合器区域中。芯片最终通过划片、研磨和抛光分离,并基于对准标记进行处理。

我们测量了波导横截面的尺寸,包括厚度t、顶部宽度w和薄膜厚度s,分别为594、1210和311纳米,并使用测量的尺寸模拟了TE00模式分布,如图1(h)所示。然后计算得到在信号波长处的色散β2约为0.28 ps²/m,如图1(i)所示。

  1. 结果

首先,我们在光纤进出设置中测量了波导的插入损耗,并比较了经过和未经过域工程化的波导。两种类型的波导在C波段的插入损耗一致,为4.1 ± 0.3 dB。这些插入损耗在不同极化段长度从0到12.3毫米的波导中保持相对稳定。12.3毫米长的域工程化波导用于OPA实验。

使用低功率CW可调激光器(TSL-550,Santec)作为基波光源,我们对其SHG性能进行比较,从芯片到芯片测量。

图2.
(a) 来自不同芯片的12.3毫米长波导的典型SHG结果,具有不同的厚度变化1t。选择芯片#10上的波导用于OPA演示
(b) 从OPA波导测得的SHG功率与输入基波光功率的关系。
(c) 基波光消耗比率和生成的SHG功率与基波光波长的关系,表明强烈的片上SHG生成。插图展示了OPA芯片的照片,发光的波导区域被红色框标记。

图2(a)显示了来自同一晶圆不同位置的波导的典型SHG测量结果。在芯片#6#10和#11(来自中央部分的低1t)中,峰值归一化效率在1610到1790%/W·cm²之间测得,相应的峰值总效率在2440到2710%/W之间。而在芯片#1和#3(来自边缘部分的较高1t)中,效率较低,约为1600%/W。我们选择了芯片#10的波导用于OPA实验。通过测量具有相同波导结构的微环谐振器的质量因子(Q),估算其传播损耗约为0.1 dB/cm。对于OPA波导,图2(b)显示了基波功率变化时的SHG功率测量结果。通过蓝色曲线的二次拟合,计算得出归一化SHG效率为2670%/W。

高增益OPA需要强的片上泵浦功率。我们使用EDFA来提高基波光源的功率,并测量其在输出端的消耗比率,以间接测量片上SHG效率。消耗比率通过定量测量相位匹配波长处的残余基波光的相对功率与相位不匹配波长处的功率比来测量。通过快速扫描基波波长,使得测量的比率不受耦合损耗的影响。使用光电探测器测量相对功率。设置基波光源的片外功率为33.6 dBm时,基波波长的消耗比率随波长变化的曲线如图2(c)所示。在相位匹配波长1572 nm处,最大消耗约为90%,表明片上SHG效率最大为90%。

接下来,我们准备进行OPA实验。实验装置如图3(a)所示。

图3.
(a) CW泵浦OPA的实验装置示意图。
(b) OPA芯片的输出光谱,分别为仅有信号光(无OPA)和基波光及信号光共同存在(有OPA)情况下的不同光学带宽下的光谱。
(c) 测得的片上增益与片外基波光功率的关系。
(d) 片上增益与信号波长的关系,包含理论(实线灰色)和实测(灰色点)数据。相应的光谱显示在下方。信号光侧的光谱用灰色背景标记。

OPA芯片被放置在一个温控金属支架上,温度稳定性为2 mK。基波光来自上述放大的可调激光器,一对窄带通滤波器用于滤除EDFA的放大自发辐射噪声。基波光与信号光在一个二向色镜上合并,并通过一个非球面透镜耦合到OPA芯片。两组λ/2和λ/4波片分别用于独立调节基波光和信号光的偏振。在输出端,我们使用一个带透镜的光纤收集OPA芯片的输出。为了增益测量,在功率计之前使用信号波长的窄带带通滤波器。对于光谱分析,带透镜的光纤连接到一个方向耦合器(99:1),其1%的输出端口连接到硅光二极管,用于监测残余泵浦光,99%的输出端口连接到光谱分析仪(OSA,AQ6374,YOKOGAWA)。光谱分析仪前插入具有80 dB隔离的空间光栅滤波系统,以防止任何残余基波光影响光谱检测。

首先使用CW信号输入测试OPA性能,信号来自可调激光器(TSL-550,Santec)。仅输入基波光时,信号波长的功率经过窄带通滤波后低于功率计的背景噪声。我们关闭基波光,仅将信号光耦合到OPA芯片中。OPA芯片的输出光谱如图3(b)所示(实线棕色曲线)。然后我们打开基波光,片外功率为33.6 dBm。在光谱中观察到信号功率的明显增加,表明发生了放大[图3(b)]。通过比较有无基波光的信号功率,即有无OPA,可以得出片上增益为13.9 dB,考虑到OPA设备的4 dB插入损耗,净增益为9.9 dB。归一化到设备长度和基波功率,片上增益为0.78 dB/(W·mm)。光谱中还观察到生成的共轭闲频光。由于强烈的OPA,闲频光的功率水平与信号光相当(<0.2 dB)。

我们进一步测量了放大信号光的光学信噪比(OSNR),并在不同带宽设置下模拟不同波特率的信道。在20到200 GHz的带宽范围内,OSNR值始终超过28 dB。在20 GHz带宽设置下,OSNR约为36 dB,对应的噪声系数[57,58]约为2.1 dB。与传统放大器(如EDFA[59,60]或SOA[61,62])相比,我们的OPA设备具有较低的噪声,这有望在通信系统中实现更高保真度的放大,提供更好的性能指标,如比特错误率(BER)[20,63]。

通过固定基波光和信号光的波长,我们测量了不同基波光功率下的增益,如图3(c)所示。由于相位匹配条件的变化,OPA增益也会随着信号波长的变化而变化。我们在1520到1630 nm范围内测量了不同信号波长下的片上增益,结果显示在图3(d)的上面板中,相应的光谱则显示在下面。测得的OPA的10 dB带宽超过100 nm,覆盖了整个通信C和L波段,这归功于我们的色散工程。CW泵浦的基波光的线宽仅占大增益带宽中的一小部分,形成了一个狭窄的抑制带,这对宽带信号放大至关重要。

在这一高增益OPA过程中,真空量子波动通过光学参量生成(OPG)被放大到宏观水平。这导致了光谱图3(b)和图3(d)中OPG的平坦光谱。

使用我们OPA设备放大调制信号非常有趣,这为未来应用提供了概念验证。调制信号来自具有两个不同数据速率的商用通信模块,分别为1.25 Gbps和3.125 Gbps。实验装置如图4(a)所示。

图4.
(a) 调制信号放大的实验装置示意图。一对商用光通信模块分别作为Alice(发射端)和Bob(接收端)。OPA设备可以进一步与片上EOMs集成,朝着完全集成的通信电路发展。
(b) 在不同输入信号功率下的BER性能,分别为使用OPA、使用EDFA和不放大的情况。

调制信号光从Alice(发射端)通过我们的OPA设备和单模光纤(SMF)传输到Bob(接收端)。使用高速示波器(MSO 71604C,Tektronix)进行眼图分析,从而可以推导出比特错误率(BER)值。OPA增益的存在与否由片外基波光输入控制。当基波光被注入到OPA芯片时,调制信号光可以被放大。我们还进行了一个对照实验,使用低噪声EDFA进行信号放大,与OPA进行比较。

如图4(b)所示,我们在不同输入信号功率下测试了BER性能,分别为有OPA、有EDFA和无放大的情况。值得注意的是,使用OPA增益时,信号功率低至-44 dBm时就能提高到超过检测阈值,从而改善灵敏度。相比之下,在没有放大的情况下,光模块的灵敏度限制在-32 dBm,限制了低功率信号的通信能力。使用OPA增益放大的信号在功率水平超过检测阈值时,BER始终较低,尤其是在信号功率增加到-14 dBm时,BER降至10^-14的低水平。与EDFA的情况相比,在相同功率水平下,使用OPA的性能更好。这些结果突显了我们OPA设备的卓越低失真放大能力,这归功于其高增益和低噪声。需要注意的是,数据编码的电光调制可以通过片上EOM进一步实现,并与我们的OPA设备集成,朝着完全集成的通信电路迈进。

  1. 结论

总之,我们报告了使用TFLN波导的CW泵浦高增益OPA。通过在宽广的通信波段内实现最高13.9 dB的片上增益,成功地对调制信号进行了高保真放大。这些结果为完全集成的光通信电路奠定了基础。OPA设备通过我们先进的晶圆级制造技术制造,展示了高非线性、低损耗、宽带宽和高功率处理能力的关键结合,准备与其他TFLN设备(如高性能EOM)进一步集成。

目前,我们的OPA设备需要瓦级的片外基波光功率。降低功耗的主要限制来自TFLN晶圆上现有的几纳米级TTV,这使得我们在本次演示中无法使用更长的波导以提高整体效率。然而,这不是一个根本性的限制,因为通过改进智能切割技术或进一步开发更高精度的离子束修整技术,预计可以获得更好的TTV。在一根100 mm长、1t小于1纳米的TFLN波导中,我们的模拟表明,功率消耗低于100 mW就足以实现超过40 dB的更高增益,这在单模半导体激光二极管的功率预算内。因此,未来预计可以利用混合集成技术实现泵浦集成的OPA设备。同时,未来的片上滤波也可能采用可调Vernier滤波器[65,66]、光子晶体滤波器[67,68]和布拉格光栅[69,70]等有前景的方案。此外,我们还可以进一步演示相位敏感放大(PSA)[71,72],充分展现其在传统量子极限以下的高SNR优势,这在传统放大器(如EDFA[59,60]和SOA[61,62])中是无法实现的。

我们开发的这一高效、低损耗非线性器件,无论是作为独立设备还是集成设备,都不仅是众多光子学应用中必不可少的OPA设备,如光通信[73–76]、光子处理器[77,78]、光子计算[79–82],还为广泛的基础研究提供了关键解决方案,包括量子光学[83,84]、精密光谱学[85,86]、生物光子学和成像[71,87]。

关于我们:

OMeda成立于2021年,由3名在微纳加工行业拥有超过7年经验的工艺,项目人员创立。目前拥有员工15人,在微纳加工(涂层、光刻、蚀刻、双光子印刷、键合)等领域拥有丰富的经验。 同时,我们支持4/6/8英寸晶圆的纳米加工。 部分设备和工艺支持12英寸晶圆工艺。针对MEMS传感器、柔性传感器、微流控、微纳光学等行业。

中国(上海)自由贸易试验区临港新片区业盛路188号450室 电话:+86 188 233 40140 邮箱:jing.chen@omeda-optics.com

来源:OMeda

关于我们

OMeda(上海奥麦达微)成立于2021年,由3名在微纳加工行业拥有超过7年经验的工艺,项目人员创立。在微纳加工(镀膜、光刻、蚀刻、双光子打印、键合,键合)等工艺拥有丰富的经验。 同时,我们支持4/6/8英寸晶圆的纳米加工。部分设备和工艺支持12英寸晶圆工艺。针对MEMS传感器、柔性传感器、微流控、微纳光学,激光器,光子集成电路,Micro LED,功率器件等行业。

姓名:*
邮件:*
公司名称:
电话:*
您的需求: