上海奥麦达微电子有限公司

专业高效
微纳加工公司

碳化硅基薄膜铌酸锂晶圆--朝向基于碳化硅基薄膜铌酸锂毫米波表面声波谐振器(德州奥斯丁ruochenlu团队)

#SAW器件#表面声波器件#sicln晶圆#碳化硅基薄膜铌酸锂晶圆

划重点:从晶圆 到器件加工 
#SIC-LN薄膜晶圆 6寸 
#电子束光刻小片级验证高频器件
#6寸DUV步进式光刻验证晶圆级高频器件
摘要
 — 近年来,下一代无线系统的进展推动了射频前端(RFFE)向毫米波(mmWave)范围的需求扩展。本研究介绍了两种方法,旨在有效设计基于碳化硅上的锂铌酸盐(LN-on-SiC)异声波导的固体安装表面声波(SAW)谐振器架构,应用于毫米波技术。第一种方法采用 X-cut LN 中的纵向 SAW(L-SAW)模式,通过强声波约束和精确的波长缩放,实现在 22.42 GHz 时具有 6500 m/s 的高相速度和 6.53 的性能指标(FoM)。第二种方法提出了一种新型电极引导的剪切水平 SAW(EG SH-SAW)模式,采用电极设计来限制更高阶的 SH 模式,并缓解内部应力消除。所制造的 EG SH-SAW 谐振器在 23.5 GHz 时工作,耦合系数 k² 为 1.6%,FoM 为 4.16。这两种方法证明了谐振器成功地扩展到毫米波范围,并具有高 Q 值,为未来在毫米波频段中实现频率可扩展的高性能声学器件开辟了潜力。

#本文工艺全流程加工

#图案化电极 #深硅刻蚀 #双层LNOI晶圆加工  #芯片划切

其他声学类加工 :

#磁控溅射AlScN #磁控溅射镀Mo #磁控溅射镀pt

#全国产SOI晶圆定制加工   #468寸50nm-15um热氧片

#尺寸4-8寸 

#最小起订量1片

#热氧层厚度范围50nm-15um

#膜厚精度最高精度+-5nm

#厚膜SOI-减薄抛光工艺600nm到微米级,加离子束精修,超级高精度膜厚均匀性

 #CavitySOI-带空腔SOI晶圆,光刻显影刻蚀键合制作SOI一条龙

普通超薄:SMARTCUT+离子束精修

超级超薄:EPI+SMARTCUT+离子束精修

#超平硅片-TTV500nm

我们为客户提供晶圆(硅晶圆,玻璃晶圆,SOI晶圆,GaAs,蓝宝石,碳化硅(导电,非绝缘),Ga2O3,金刚石,GaN(外延片/衬底)),镀膜(PVD,cvd,Ald,PLD)和材料(Au Cu Ag Pt Al Cr Ti Ni Sio2 Tio2 Ti3O5,Ta2O5,ZrO2,TiN,ALN,ZnO,HfO2。。更多材料),键合(石英石英键合,蓝宝石蓝宝石键合)光刻,高精度掩模版,外延,掺杂,6寸DUVKRF电子束光刻等产品及加工服务(请找小编领取我们晶圆标品库存列表,为您的科学实验加速。

请联系小编免费获取原文

图片

文章名:Toward mmWave Surface Acoustic Wave Resonators in Lithium Niobate on Silicon Carbide

作者:Tzu-Hsuan Hsu , Lezli Matto , Joshua Campbell, Jack Kramer , Zhi-Qiang Lee , Ian Anderson,Kaicheung Chow, Mark S. Goorsky , Ming-Huang Li , and Ruochen Lu

单位:加州大学 德州奥斯丁 


I. 引言

为了实现更高的数据传输速率,无线通信系统正在朝着毫米波(mmWave)频段发展,以获取更广泛的带宽,因为6 GHz以下的电磁(EM)频谱几乎已经被完全分配[1],[2],[3]。为了探索毫米波无线通信的潜力,毫米波频谱中的紧凑型射频(RF)前端组件引起了广泛的研究兴趣[4],[5],[6],[7]。目前,压电声学器件技术被认为是提供高性能、成本效益高且紧凑硬件的最有前景的技术之一。这是因为声波的波长比电磁波短五个数量级,这使得器件可以实现小型化。

近年来,基于薄膜锂铌酸盐(LN)板波谐振器的声学谐振器[8]以及铝钪氮(AlScN)体声波(BAW)器件[6],[9],[10],[11],[12],在向毫米波滤波器(18–50 GHz范围)扩展方面得到了广泛研究。尽管这些器件具有良好的性能,但它们仍面临一些问题,如由于悬浮薄膜结构引起的严重热非线性、S0 Lamb 波器件的低电容密度[10],[12],以及n阶不对称(An)Lamb 波[13]和薄膜BAW(FBAR)器件[6],[11]的频率灵活性受限。作为一种替代解决方案,基于固体安装的LiNbO₃薄膜表面声波(SAW)器件在高相速度(vp)基板上显示出了很好的前景,这些器件可以支撑多频段滤波器,已经在实验上验证了可达8 GHz[14]。然而,毫米波SAW谐振器的设计策略仍未被深入探索。

本研究展示了两种方法,用于实现基于转移的薄膜LN在碳化硅(LN-on-SiC)平台上的毫米波SAW谐振器,工作频率超过20 GHz,具有约2%的k²和大约200的Q值。除了使用L-SAW模式实现高相速度外,本研究首次提出了一种新型的电极引导剪切水平SAW(EG SH-SAW)模式,可以通过合理的电极厚度来解决频率扩展挑战。经过进一步的发展和优化,提出的EG SH-SAW模式在紧凑型毫米波信号处理应用中具有重要的潜力。


II. 固体安装薄膜LN波导中的高速度声学模式

A. LN-on-SiC波导

最近,异声学层(HAL)或压电-绝缘体(POI)基板的SAW平台,利用薄膜LN[19],[20]和锂钽酸盐(LT)[21],[22],加速了高性能固体安装薄膜SAW器件的研究。与依赖多层布拉格反射器以创建半自由声学边界的传统固体安装谐振器不同,HAL SAW结构通过工程化的材料分层和基板接口来实现声学约束,有效地形成了一个半固定的边界,而无需复杂的布拉格堆叠设计。这种方法通过避免布拉格反射器结构中对应力和厚度的严格控制,减少了制造复杂性和成本。特别是,基于薄膜LN的HAL平台已在广泛的频率范围内展示了高性能的固体安装SAW器件,为各种射频带的实际应用提供了可能。

频率扩展一直是射频声学器件开发中的一个重要课题,因为更高数据传输速率的需求和低频段的拥堵,迫使先进无线系统的频率带宽需要向更高频段移动。

图 1
(a) 本研究中所使用的转移LN堆叠信息的截面示意图,用于研究不同波导设计中高相速度(vp)SAW谐振器的设计。
(b) 常用高速度声学波导材料的物性对比[15],[16],[17],[18]。

在HAL SAW平台中,除了材料和声学模式的选择之外,频率扩展的另一个重要方面在于基板的选择。使用具有较高相速度的基板不仅能提供更大的声学阻抗对比,从而实现更好的声波约束,还能使得部署具有更快速度的声学模式成为可能。例如,LN-氧化硅[26],[27],[28]和LN-on-Si[29]在L波段谱段提供了优异的宽带性能,而LN在氧化物上的蓝宝石基板[30],[31]被提议用于S波段或C波段,提供与类似BAW解决方案相当的性能。

为了进一步探索HAL SAW器件的频率包络,LN-on-SiC[14],[32],[33],[34],[35],[36]因其作为固体安装波导基板的卓越声学性能,在C波段及以上频段受到了广泛的研究关注。图1(a)显示了本研究中用于LN-on-SiC SAW谐振器的单位单元有限元法(FEM)模型示意图。值得注意的是,单位单元模型、周期性边界条件设置和LN方向定义遵循了[37]中的描述。

如图1(b)所示,为了探索HAL SAW平台中的频率扩展,选择了薄膜LN,而非其他常用的压电材料,如AlScN,这是由于LN具有更优越的材料压电耦合系数,更适合在大压电厚度与波长比(hpiezo/λ)区域内运行,频率扩展发生的区域。选择了50%占空比的铝(Al) interdigital传感器(IDTs),因为它们在此类应用中表现出良好的性能。

图 2
SH-SAW 和 L-SAW(方法1)之间的位移和应力分布比较,其中 L、T 和 V 轴用于表示本文中提到的几何轴。

图 3
SH-SAW 和 EG SH-SAW(方法2)之间的位移分布比较。顶部示意图突出显示了铝电极与LN波导之间的反相运动,这是定义EG SH-SAW的独特特征。

这段文字介绍了在基于碳化硅(SiC)的锂铌酸盐(LN)平台上研究毫米波(mmWave)表面声波(SAW)谐振器设计的不同方法。以下是主要内容的概述:


材料与方法

材料选择

  • 铝电极(Al):选择铝作为电极材料,因为它与其他常用的重金属(如金)相比,具有较低的质量负载和相速度负载。此外,金由于其在高频下的显著声学衰减,常常导致质量因子的显著下降。

  • 碳化硅(SiC)基板:选择4H-SiC基板,因为它在纵向和剪切方向上提供优越的刚度和声速,优于传统的HAL基板(如硅、蓝宝石或石英)。得益于碳化硅功率电子技术的最新进展,SiC晶片的成本降低,使其成为一种高性能且具有成本效益的解决方案。

频率扩展研究

  • 高相速度SAW模式:研究重点之一是通过选择具有较高相速度的SAW模式来扩展频率范围。纵向SAW(L-SAW)模式是常见的一种高相速度模式,尽管由于其显著的漏泄特性,通常在传统平台上不常使用。在LN-on-Si平台上,由于声波相速度接近硅基板的速度,这种模式会导致较大的声学能量泄漏,表现为低Q值。然而,SiC基板的使用能有效约束L-SAW模式,从而提供更好的性能。

  • 电极引导剪切水平SAW(EG SH-SAW)模式:为了解决频率扩展中的挑战,本研究提出了一种新型的电极引导剪切水平SAW模式。该模式能够通过合理设计电极厚度,最大程度地减少内部应力消除,防止高阶模式的性能下降。通过对电极和压电材料层的结构设计,确保了压电贡献在整个活动区域内保持有效的耦合强度,避免了常见的高阶模式中因交替应力和电场分布导致的相位失配和电-机械耦合部分消除问题。


设备设计与仿真

方法1:L-SAW在X-LN-on-SiC波导中的应用

为了评估L-SAW模式在LN-on-SiC平台上的频率扩展能力,研究分析了具有不同波长的多个谐振器。仿真结果表明,在λ = 280 nm的情况下,L-SAW模式的相速度(vp)约为6500 m/s,而SH-SAW模式在相同设置下的相速度为3250 m/s,显示出近两倍的相速度改进,这对毫米波扩展非常有利。此外,通过仔细检查仿真中的导纳响应,还发现了一些与压电耦合系数和泊松比相关的杂散模式,这些模式可能会同时激发体Lamé模式。通过选择合适的波长(λ),这些不需要的体Lamé模式可以得到有效抑制。仿真预测在λ范围从200 nm到360 nm之间,k²值在4%到9%之间。


总结

本文提出了两种方法,旨在通过高相速度SAW模式和有效工程化的高阶SAW模式实现毫米波SAW谐振器的设计。通过在LN-on-SiC平台上实现这些设计,成功地实现了频率扩展,为未来紧凑型、高性能毫米波信号处理应用提供了巨大的潜力。

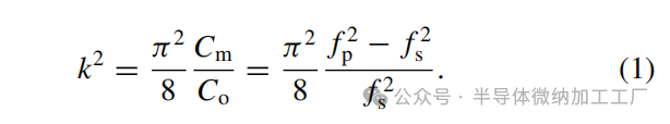
在公式(1)中,fs 和 fp 分别是从导纳图中提取的串联共振频率和并联共振频率,Cm 和 Co 分别是修改后的Butterworth–Van-Dyke(mBVD)模型中定义的运动电容和静态电容[37]。因此,选择280 nm的λ作为L-SAW谐振器的主要设计参数,这在操作频率和电-机械耦合系数之间取得了平衡。

图4: 模拟的导纳谱,展示了在不同λ设计(λ = 360, 280, 和 200 nm)下的毫米波L-SAW在X切LN-on-SiC波导中的表现。

B. 方法2:Y-LN-on-SiC波导中的EG SH-SAW

为了研究EG SH-SAW谐振器的设计,选择了一个固定hLN为500 nm的Y切LN-on-SiC波导,作为这个频率升频方法的主要测试平台。图5展示了提出的EG SH-SAW设计的模拟频谱,其中λ的范围为200到240 nm。在此方法中,至少需要50 nm的铝电极(helec/λ大约为0.25或更高),以便在电极内引导更高阶的SH-SAW波。模拟的值计算结果表明,EG SH-SAW的约为SH-SAW的一半。随着λ从240 nm缩小到200 nm,EG SH-SAW的导纳比进一步增强,同时抑制了伪模态,这与声波导的色散行为的变化相一致。

值得注意的是,在EG SH-SAW的导纳模拟中,选择了统一的损耗因子Qset = 150。此选择旨在更好地识别目标共振,同时捕捉低Q伪模态的存在,并防止在宽频率范围内的谱歪曲。实际上,谐振器所展现的Q可能会受到不同层之间应变能分布的影响,因为每一层的材料损耗因子不同。例如,金属通常具有较低的材料Q。因此,导纳比和测量的Q是一个更为复杂的情况,不能仅仅通过在整个频谱范围内使用统一的损耗因子来解决。

图5: 模拟的导纳谱,展示了在不同λ设计(λ = 360, 280, 和 200 nm)下的毫米波EG SH-SAW在Y切LN-on-SiC波导中的表现。

值得注意的是,基本SH-SAW模式的低vp意味着即使采用20 nm超薄铝电极厚度,仍然很难将传统的SH-SAW上升到毫米波范围。因此,使用EG SH-SAW成为了将SH-SAW器件推向毫米波范围的可行选择。然而,由于EG SH-SAW需要在hLNhelecλ之间进行协同设计,以实现高阶SH-SAW模式在LN/电极界面上的有效约束,仿真结果表明,EG SH-SAW的可以通过调节helec/λ来显著调制。因此,为了优化EG SH-SAW的性能,建议选择Al电极的高helec/λ比率,范围从λ/4λ/2。因此,实际设备演示中选择了200 nm的λ和50 nm的helec用于EG SH-SAW。

C. LN切割选择

尽管本文提出的两种方法,L-SAW和EG SH-SAW,主要集中在特定模式的设计策略上,LN晶体取向的选择在决定支持的声学模式、电-机械耦合效率和速度尺度行为方面也起着至关重要的作用。

对于方法1中描述的L-SAW器件,主要的压电耦合来自于内在的e₁₁系数,这支配了平面内纵向交互作用。

图6: 模拟的导纳谱,展示了在不同helec设计下(λ = 200 nm)的毫米波EG SH-SAW在X/Y切LN-on-SiC波导中的表现。

因此,选择X切LN取向以支持准纵向表面波传播,最小化模式转换,并增强声学能量在表面附近的约束。

相比之下,尽管方法2中展示的EG SH-SAW模式仍然利用平面内剪切耦合系数e₁₆,就像传统的SH-SAW一样,但它需要一个不同的EG机制来有效地约束激发的高阶剪切运动,而不会发生内部应力消除。在这种情况下,LN的切割继续影响模式的形成和效率。为了研究这种依赖关系,进行了仿真,比较了两种常见的SH-SAW LN切割:X切和Y切LN-on-SiC波导。它们都配置了一个500 nm厚的LN层,λ = 200 nm,电极厚度helec = 50 nm,并具有非零的e₁₆常数。在图6中,X切和Y切LN的平面内旋转角度分别选为与Y轴的角度为−10°,与X轴为0°,以提供最佳的e₁₆。对于Y切LN,EG SH-SAW在平面欧拉角接近0°时仍然表现出最佳的换能性能,这与传统的SH-SAW行为一致。对于该取向的偏差会导致耦合减弱和寄生模式活动增加。

如图6所示,Y切LN波导在此配置下成功支持EG SH-SAW模式。

图7: 模拟的导纳谱,展示了在不同helec设计下(λ = 280 nm)毫米波L-SAW在X切LN-on-SiC波导中的表现。

结果显示,尽管在Y切LN情况下表现出清晰的高阶SH共振,但在X切的情况下,并没有在相同电极厚度下实现对高阶模式的约束。当helec增大到90 nm时,才开始出现与EG SH-SAW相似的响应。然而,电极厚度达到90 nm时,且腔距仅为50 nm,制造上的挑战非常大。这些结果确认了EG SH-SAW的激发不仅依赖于e₁₆的有效利用,还需要精确地共同优化LN晶体取向、波导几何结构和电极配置,才能实现所需高阶模式的稳固约束和高效激发。

D. 电极厚度考虑

在设计毫米波L-SAW或EG SH-SAW时,另一个重要的参数是电极厚度。与较低频率下的传统SAW相比,电极主要作为导体使用,不会对模式形状产生太大影响;但在高频毫米波SAW中,电极通常是共振模式形状的一部分。因此,电极厚度对波导结构的形成能力有显著影响。如图7所示,在方法1(L-SAW)中,将helec = 50 nm与λ = 280 nm相比较,helec的增大对增强所需L-SAW的约束作用有限。相反,电极厚度的增加开始激发出一系列更高阶的体积模式,导致在L-SAW频谱中出现一系列不必要的伪响应。

图8: 模拟的导纳谱,展示了在不同helec设计下(λ = 200 nm)毫米波EG SH-SAW在Y切LN-on-SiC波导中的表现。

如前所述,较薄的电极可能会显著影响设备的性能[47],并且Rs的增加也会影响设备的表现。

对于毫米波EG SH-SAW谐振器,helec在定义模式约束和耦合效率方面发挥着关键作用。如图8所示,helec从20 nm增加到90 nm时,显著影响了激发的SH模式和EG SH-SAW模式的共振频率和导纳特性。

在较低电极厚度范围内(例如,helec = 20-30 nm),传统的SH-SAW模式占主导地位,但其较差的速度尺度使其在毫米波应用中不可行。当helec增加到50-70 nm时,发生了过渡,其中高阶EG SH-SAW模式成为主导解决方案。此时,在约23 GHz处出现了明显的导纳峰值,相对于基本SH模式,相速度增加了77%。值得注意的是,这一范围对应于helec/λ的归一化值在0.25和0.35之间。然而,当helec超过80-90 nm时,EG SH-SAW模式开始表现出畸变的模式行为,原因是与邻近的伪响应和体积反射的相互作用,导致光谱纯度下降。因此,电极厚度必须与λhLN一起精心设计,以实现高效的声能引导并最小化寄生模式。最终设计为helec = 50 nm和λ = 200 nm。

图9: 总结的相速度色散曲线,展示了两种方法的频率尺度行为。选定的设备制造参数在性能、光刻可行性和模式完整性之间取得了平衡。这些结果强调了毫米波EG SH-SAW操作对精确电极几何控制的关键依赖性。

为了总结频率尺度行为,相速度色散曲线分别对应于两种方法,并在λ和电极厚度的函数关系下绘制在图9中,以更好地反映可以用来调节共振响应的最重要参数,而不会显著改变模式行为。

IV. 制造与材料表征

方法1中提出的L-SAW谐振器和方法2中提出的EG SH-SAW谐振器均采用两步电子束光刻(EBL)和去除工艺制造,如图10所示,基于NGK Insulators Ltd. 提供的LN-on-SiC晶圆。为了实现最小λ值为200 nm,选择了250 nm厚的薄电子束光刻胶来创建精细的IDT图案,从而将最大电极厚度helec限制为50 nm。

材料性质分析首先使用FEI Nova 600 DualBeam FIB系统进行。图11(a)中展示的LN-on-SiC异质声学层波导结构的晶圆横截面显示了优良的晶圆粘接质量。通过三轴X射线衍射(XRD)测量对LN薄膜的质量进行材料级别分析[14],图11(b)展示了LN-on-SiC晶圆的对称摇摆曲线和ω:2θ扫描。摇摆曲线图中的全宽半最大值(FWHM)值为43角秒,表明转移的LN薄膜具有优良的单晶质量和一致性。

方法1中提出的λ = 280 nm的L-SAW设备的SEM图像见图12(a)。对于λ = 200 nm的EG SH-SAW设备(方法2),图12(b)展示了其IDT的放大视图,突出了每个IDT指尖大小为50 nm的清晰电极图案。在两种方法中,所制造的设备...

共振器设计具有20λ的声学孔径和50%的IDT金属化比率。电极数量(Ne)和反射光栅(RGs)分别设置为40对IDT和每侧20条条纹。

V. 毫米波SAW共振器的性能评估与讨论

为了进行微波性能表征,所有设备都在常温环境下使用GSG探针进行测量,使用MPI TS150 RF探针站和Keysight P5028A向量网络分析仪(VNA)。在数据采集之前,进行了标准的一级短路-开路-负载-直通(SOLT)校准,且未对本研究中报告的任何数据应用去嵌入技术。

对于后续测量数据处理,从VNA获取的S参数在PathWave高级设计系统(ADS)软件中进行了分析,以获得导纳(Y)和Bode-Q(Qmax)。本文中展示的Bode-Q是基于以下方程计算的,并且S参数的处理遵循了最初在[50]、[51]和[52]中讨论的方法,其中端口阻抗匹配在Smith图上对S参数进行了居中处理。

A. 方法1:毫米波范围内的L-SAW谐振器

首先对制造的L-SAW谐振器进行了测量,以提取关键的性能指标,如图13所示。图13(a) 展示了一个λ为360 nm的L-SAW谐振器的宽带导纳响应。主要的L-SAW响应出现在17.9 GHz,如与有限元分析(FEM)仿真结果的交叉验证所确认。尽管Qmax为365,提取的仍然受损,原因是10 GHz至17 GHz之间存在多个伪响应。这些伪响应来源于适合激发和约束这种厚度Lamé模式的特定hLN/λ比率,仿真结果(见第III-A节和先前的工作[46])中有显示。

为了有效地抑制厚度Lamé模式并向毫米波范围扩展,L-SAW谐振器的λ进一步减少至280 nm。如图13(b)所示,这种方法成功地抑制了厚度Lamé模式,并使L-SAW的值得到了提高,这一点通过mBVD模型拟合也得到了验证[53]。拟合参数也包含在**图13(e)**中。图13(c)(d)展示了窄带L-SAW响应,L-SAW出现在22.42 GHz处,提取的为3.4%,Qmax为192。L-SAW设备的性能指标(FoM = k² × Qmax)计算为6.53。

与大约11.7 GHz的基本SH-SAW响应相比,使用L-SAW模式成功实现了相速度的近100%提升,从而实现了显著的频率扩展。由于LN-on-SiC平台提供的优异声学约束以及L-SAW模式的使用,方法1的结果展示了在推动固体安装声学设备性能极限方面取得的显著进展,尤其是向毫米波范围扩展的能力。

图10: 实现50 nm厚精细IDT图案和300 nm厚铝母线的两步电子束光刻(EBL)制造流程。图中展示了一个最小λ为200 nm的制造设备,IDT指尖宽度仅为50 nm的光学图像。
图11:
(a) 用于研究毫米波固体安装谐振器的LN-on-SiC堆叠的横截面透射电子显微镜(TEM)图像。
(b) 使用X射线衍射(XRD)进行的摇摆曲线测量结果,显示了两种堆叠结构的性能。

图12:
(a) 方法1中提出的λ = 280 nm的L-SAW谐振器的扫描电子显微镜(SEM)图像。
(b) λ = 200 nm的EG SH-SAW谐振器的放大SEM图像,突出了50 nm的IDT指尖。

在导纳比中可以观察到基本SH-SAW模式的变化。在13.38 GHz时,导纳比小于3 dB,表明SH-SAW模式受到了铝电极的显著加载。相比之下,在23.5 GHz激发的EG SH-SAW模式展示了大约11 dB的更大导纳比。此外,来自图14(c)中放大的视图谱中的值为1.6%,这对应于EG SH-SAW模式。通过图14(d)中的Bode-Q图提取的Qmax值为260。

总体而言,EG SH-SAW模式已经成功地在毫米波范围内识别并展示,其性能指标(FoM)为4.16。使用EG SH-SAW还显著提高了相速度,比基本SH-SAW模式提高了72%。然而,FEM仿真与测量之间的值存在偏差,这需要进一步的研究。波导设计的潜在改进可以应用于为EG SH-SAW模式提供更优化的操作条件。

例如,为了进一步优化EG SH-SAW模式的激发,可以基于相同的Y切配置减少堆叠厚度。

B. 方法2:毫米波范围内的EG SH-SAW谐振器

按照方法2设计制造的EG SH-SAW谐振器使用与方法1相同的设置进行表征。同样,使用mBVD模型来深入分析EG SH-SAW谐振器的性能,详细的拟合参数列在**图14(e)**中。

图14(a) 和 (b) 展示了所提出的EG SH-SAW以及受阻尼的基本SH-SAW响应的宽带导纳和相位谱。最具代表性的证据是通过EG SH-SAW有效地约束了声学模式,这表明了该谐振器在毫米波范围内的良好性能。

图13:
L-SAW谐振器的宽带导纳测量谱,展示了方法1中提出的设计:
(a) λ = 360 nm,在该情况下,由厚度Lamé伪模式引起的带内伪响应明显可见。
(b) λ = 280 nm,厚度Lamé伪模式被抑制,主L-SAW模式成功地扩展到毫米波范围。
(c) 放大视图的L-SAW模式导纳谱。
(d) 经过适当阻抗匹配后提取的Bode-Q。
(e) mBVD拟合参数。

为了进一步优化EG SH-SAW模式的激发,使用LN-on-SiC HAL波导设计。新的堆叠中hLN被修剪至100 nm。通过减少hLN,预计两种主要模式(SH-SAW和EG SH-SAW)将保持大致相同的性能,同时显著抑制当前在带外激发的伪模式。

图14:
测量的宽带数据:
(a) 导纳,
(b) 相位谱,展示了在堆叠2中制造的EG SH-SAW谐振器。
(c) 放大视图的EG SH-SAW模式导纳谱。
(d) 经过适当阻抗匹配后提取的Bode-Q。
(e) mBVD拟合参数。

通过提出的EG方案,成功抑制了EG SH-SAW模式中的伪模式,从而获得了更加干净的光谱响应。此外,如果铝电极的厚度可以通过增加从50 nm到70 nm进行优化,那么EG方案将会获得更有利的工作条件。尽管如此,本研究展示的结果证明了一个有效的设计,能够利用固体安装波导中高阶声学模式的高相速度,而不会由于内部应力消除问题影响性能,充分发挥了提出的EG方案的优势。

VI. 结论

在本研究中,为了探索将高性能固体安装声学谐振器应用于毫米波(mmWave)范围的可行性,提出并实验验证了两种方法。通过利用LN-on-SiC平台提供的优异声学约束,可以实现高性能的L-SAW谐振器,而不受基板辐射的影响,后者通常会导致显著的性能损失。制造的L-SAW谐振器在22.42 GHz时具有3.4的和192的Qmax

此外,本研究还提出了EG方案,以利用高阶SH-SAW模式的高相速度。通过精心选择LN-on-SiC异质声学波导的hLNhelecλ,我们实验性地展示了一个EG SH-SAW谐振器,在23.5 GHz时具有1.6%的和260的Qmax

作为性能总结,涵盖20-26 GHz毫米波频段的声学器件的最新进展列于表I中。本文展示的结果代表了SAW器件向毫米波频段发展的最新进展。尽管面临细IDT指尖实施和伪模式存在等挑战,但L-SAW的FoM为6.53,EG SH-SAW的FoM为4.16,这仍显著高于现有的毫米波SAW设备。

尽管如此,本研究的发现突显了固体安装声学谐振器在毫米波频段中的潜力。尽管表现出令人鼓舞的性能,但在这两种情况下,相关的伪模式与通过多个压电常数、不同的晶体取向以及LN的泊松比激发的厚度Lamé模式相关[46],这些问题仍然是毫米波SAW设计中的一个活跃课题。未来,优化制造过程和波导设计有望进一步提升L-SAW和EG SH-SAW谐振器在毫米波频段的性能。

致谢

作者感谢Dr. Benjamin Griffin、Dr. Todd Bauer和Dr. Zachary Fishman提供的有益讨论。


关于我们:

OMeda成立于2021年,由3名在微纳加工行业拥有超过7年经验的工艺,项目人员创立。目前拥有员工15人,在微纳加工(涂层、光刻、蚀刻、双光子印刷、键合)等领域拥有丰富的经验。 同时,我们支持4/6/8英寸晶圆的纳米加工。 部分设备和工艺支持12英寸晶圆工艺。针对MEMS传感器、柔性传感器、微流控、微纳光学等行业。

中国(上海)自由贸易试验区临港新片区业盛路188号450室 电话:+86 188 233 40140 邮箱:jing.chen@omeda-optics.com

来源:OMeda

关于我们

OMeda(上海奥麦达微)成立于2021年,由3名在微纳加工行业拥有超过7年经验的工艺,项目人员创立。在微纳加工(镀膜、光刻、蚀刻、双光子打印、键合,键合)等工艺拥有丰富的经验。 同时,我们支持4/6/8英寸晶圆的纳米加工。部分设备和工艺支持12英寸晶圆工艺。针对MEMS传感器、柔性传感器、微流控、微纳光学,激光器,光子集成电路,Micro LED,功率器件等行业。

姓名:*
邮件:*
公司名称:
电话:*
您的需求: