划重点:#双层LNOI晶圆#P3F晶圆
从#双重LN晶圆 到 #背面深硅刻蚀#正面面电极 全流程加工
摘要
压电微机械超声换能器(PMUTs)广泛应用于那些要求机械韧性、热稳定性和紧凑形态的领域。铅钛酸铅(PZT)和氮化铝(AlN)作为PMUTs的有源材料,用于实现声学驱动、传感或双向操作。这些平台依赖双层膜结构,通过薄膜沉积来最大化电-机械耦合(k²),并使用中间电极层来建立对立的电场。因此,现有的PMUT平台在可实现的薄膜厚度上存在限制,且材料界面的存在可能会损害机械完整性和热性能。结合PZT和AlN的固有局限性,这些因素促使人们探索替代的PMUT材料平台。近期的研究努力已证明单晶锂铌酸盐(LN)是一个有前景的候选材料,能够提供显著更高的k²和双向性能。LN薄膜转移技术的进展使得周期性极化压电薄膜(P3F)LN的形成成为可能,从而实现了没有中间电极的双层堆叠结构。在本研究中,我们展示了结合机械韧性强的20微米厚P3F LN有源层的双层PMUT。我们通过材料比较建立了LN PMUT的动机,并进行了广泛的膜结构优化,随后提升了PMUT的k²值。我们展示了一个775 kHz弯曲模式的设备,具有200的品质因数(Q)和6.4%的提取k²,提供了65 nm/V的高传输效率,并且有源层机械性能坚固。我们利用高性能展示了极端温度的抗性,展示了该设备在600°C时的稳定工作性能,以及在900°C下的生存能力,突出了LN作为韧性PMUT平台的潜力。

#本文工艺全流程加工
#图案化电极 #深硅刻蚀 #双层LNOI晶圆加工 #芯片划切
其他声学类加工 :
#磁控溅射AlScN #磁控溅射镀Mo #磁控溅射镀pt
#全国产SOI晶圆定制加工 #468寸50nm-15um热氧片
#尺寸4-8寸
#最小起订量1片
#热氧层厚度范围50nm-15um
#膜厚精度最高精度+-5nm
#厚膜SOI-减薄抛光工艺600nm到微米级,加离子束精修,超级高精度膜厚均匀性
#CavitySOI-带空腔SOI晶圆,光刻显影刻蚀键合制作SOI一条龙
普通超薄:SMARTCUT+离子束精修
超级超薄:EPI+SMARTCUT+离子束精修
#超平硅片-TTV500nm
我们为客户提供晶圆(硅晶圆,玻璃晶圆,SOI晶圆,GaAs,蓝宝石,碳化硅(导电,非绝缘),Ga2O3,金刚石,GaN(外延片/衬底)),镀膜(PVD,cvd,Ald,PLD)和材料(Au Cu Ag Pt Al Cr Ti Ni Sio2 Tio2 Ti3O5,Ta2O5,ZrO2,TiN,ALN,ZnO,HfO2。。更多材料),键合(石英石英键合,蓝宝石蓝宝石键合)光刻,高精度掩模版,外延,掺杂,6寸DUVKRF电子束光刻等产品及加工服务(请找小编领取我们晶圆标品库存列表,为您的科学实验加速。
请联系小编免费获取原文
文章名:Bimorph Lithium Niobate Piezoelectric Micromachined Ultrasonic Transducers
作者:Vakhtang Chulukhadze, Zihuan Liu, Ziqian Yao, Lezli Matto, Tzu-Hsuan Hsu, Nishanth Ravi, Xiaoyu Niu, Michael E. Liao, Mark S. Goorsky, Neal Hall, and Ruochen Lu
单位:
# University of Texas at Austin
# University of California at Los Angeles
I. 引言
压电微机械超声换能器(PMUTs)广泛应用于要求机械耐久性、热适应性和紧凑外形的领域。典型应用包括距离测量、生物医学成像、高温传感器和指纹传感器等[1]–[5]。常见的PMUT材料包括铅锆钛酸盐(PZT)、钾钠铌酸盐(KNN)、钛酸钡(BaTiO₃)、氧化锌(ZnO)、氮化铝(AlN)和铝钪氮化物(ScAlN),这些材料在驱动、传感、双向性能和环境适应性等方面各有不同的优缺点[6]–[11]。
PMUT通常依赖双层(双层膜)有源层来最大化换能效率[12]。这种结构旨在弥补弯曲运动过程中固有的应力分布,从而防止单层(单层膜)压电弯曲模式设备中充电完全相消。尽管替代的单层结构可以采用被动机械层来减轻这一效应,但这种结构会引入显著的性能瓶颈:由于被动层中的应力,会导致电-机械耦合(k²)下降,并且由于其与有源层的刚度和热膨胀系数不匹配,增加了热和机械应力。这些配置在图1中进行了总结。
亮点
现有PMUT材料平台的局限性促使对双层锂铌酸盐(LN)进行超声换能的研究。
本文展示了一种基于坚固的20 µm厚转移P3F双层LN材料的LFE PMUT,该材料被置于硅(Si)载体晶片上。
温度适应性测试显示,PMUT在600°C时稳定工作,具有出色的结构稳定性,并且在经历800°C的极端温度浸泡后,能够承受高达900°C的生存条件。

图1: 传统厚度场激励PMUT的横截面图:
(a) 单层配置,带有被动层。
(b) 双层配置,带有三个电极层。
(c) 提出的P3F双层配置,通过单个电极层激励横向电场。
(a)和(b)中,除了固有的材料常数外,制造高质量的双层声学堆叠结构是PMUT性能的关键决定因素。
PZT(铅基钙钛矿材料)由于其强大的传输特性,在行业中仍占主导地位[13]。然而,其在恒定应力下的高电介质常数(εT)和较高的介电损耗限制了传感性能,例如信噪比[14]。尽管存在这些缺点,PZT制造工艺的成熟度仍然支持其作为主要PMUT材料的地位。为了克服PZT所面临的局限性,采用了氮化铝(AlN),因其低介电损耗和高灵敏度。尽管AlN的压电性能适中,导致中等的k²值,但其低εT和低介电损耗提高了灵敏度和信噪比,使其非常适合低功耗、高灵敏度的系统[15][16]。然而,PZT和AlN有各自的互补局限性:PZT在驱动器方面表现优异,但作为传感器表现不佳;而AlN具有高灵敏度,但驱动能力有限。它们的比较列在表I中[17]–[21]。
近年来,压电材料的进展旨在通过寻求无铅替代品,克服传输效率、灵敏度和环境适应性之间的固有权衡。钾钠铌酸盐(KNN)是一种无铅钙钛矿材料,提供了改善的驱动性能,但尽管努力减少其εT,KNN仍然不适合用作声学传感器[7]。与此相反,ScAlN通过加入钪合金来增强AlN的压电响应,显著提高了其压电系数,但代价是略微提高了εT和介电损耗。尽管如此,ScAlN的压电性能仍然不如PZT、KNN和其他现有平台。此外,KNN和ScAlN都受到以下因素的限制:
薄膜沉积工艺限制了可实现的薄膜厚度,并使得在不使用中间电极层的情况下形成双层堆叠变得复杂[22]–[25]。这些挑战突显了对替代压电平台的需求,该平台能够在双向声学性能中找到平衡。
单晶压电锂铌酸盐(LN)最近成为应对这些限制的有前景候选材料[26],[27]。LN提供了高压电耦合系数和适中的电介质常数(εT)的平衡组合,将其定位于KNN和ScAlN之间[28]–[30]。Lu等人首次展示了一个具有硅氧化物(SiO₂)被动层的单层横向场激励(LFE)声学换能器,获得了高达4.5%的k²,并展示了LN在高效声学换能中的潜力[26]。重要的是,与KNN和ScAlN不同,LN主要以单晶大块形式存在,允许通过智能切割或控制化学机械抛光(CMP)精确控制厚度[31],[32]。此外,LN-LN粘接技术的最新进展现已使得使用周期性极化压电层(P3F)生产高质量的双层变得可能[图1(c)],该技术无需中间电极,从而扩展了设计灵活性和制造可靠性[33]–[35]。这些进展促使重新审视LN PMUT。
P3F LN与传统压电平台的不同之处在于其能够高效激励弯曲模式,而不需要在有源层之间增加额外的电极。由于其各向异性,LN晶片的方向可以在LN-LN晶片粘接过程中进行翻转,以改变适当压电耦合常数的极性,有效地形成双层堆叠,而无需使用对立极性的电场。关于各向异性材料中的多层P3F结构的理论框架可以参考文献[36]。虽然P3F LN主要用于...
图2:
(a) 基本的LFE LN PMUT的横截面示意图及其设计参数。
(b) 提出的LN PMUT设计的俯视图示意图,突出显示了LFE激励机制和椭圆形膜片结构。
用于射频(RF)声学应用的锂铌酸盐(LN),在超声换能中的应用已取得显著成功[27],[37],[38]。我们旨在进一步开发这一平台,通过提供一个关于LN PMUT设计及其能力的全面理论和实验框架。
本手稿扩展了在2025年IEEE国际超声波学术会议(IUS)上展示的工作[39]。与此相比,本研究呈现了对双层LN PMUT的全面理论、设计和实验调查。研究首先评估了现有PMUT平台的性能指标(FoM),为基于LN的设备提供了理论依据。随后,开发了一个设计和仿真框架,考虑了LN的平面内各向异性。设备使用了20 µm厚的有源压电层,基于硅(Si)和硅氧化物(SiO₂)中间层进行制造。实验结果展示了高传输效率,并且设备在600°C下稳定工作,能够承受约900°C的温度。因此,我们利用双层LN平台展示了在恶劣环境条件下能够持续运行的高性能PMUT。
II. 设计与仿真
我们旨在通过采用20 µm厚的双层X切LN、400 nm硅氧化物(SiO₂)和200 µm硅(Si)堆叠来利用P3F LN。选择的膜厚度在机械强度和紧凑性之间取得了平衡,同时超越了传统薄膜沉积技术的局限性,这些技术通常用于PZT、KNN或ScAlN。所选声学堆叠的横截面和俯视图可见于图2(a)和(b),展示了通过P3F LN实现的双层有源层,以及采用Lu等人的电激励方案[26]。
设计过程从对PZT-5A、KNN、36% ScAlN以及不同LN切割的比较开始,这一过程激发了我们的设计方法。LN材料的方向进行了优化,以便进行公平比较(见图3),并在COMSOL有限元仿真软件中进行了应用。
图3: X切LN晶片的g₁₁电-机械耦合常数与晶片平面旋转角度(α)之间的关系。
**有限元分析(FEA)**用于定义设计参数,同时考虑LN的平面内各向异性(见图4和图5)。最后,获得的参数用于预测声学换能器的传输效率。
为了证明选择X切LN进行声学换能的合理性,我们对现有压电平台的材料性能指标(FoMs)进行了比较(见表I)。主要的FoM包括应变-电荷压电耦合张量系数(dij,单位为m/V)和应变-电压压电耦合张量系数(gij,定义为dij/εTii,单位为V/m/Pa),分别量化了由电输入引起的机械应变生成和由机械输入引起的电场生成[40]。虽然dij广泛用于评估传输效率,但接收灵敏度的表征取决于测量配置。通常,对于具有大电容密度的材料,偏好使用应力-电荷压电耦合系数(eij,单位为C/m²),因为此时通过电荷读出与设备的接口方法最为理想。然而,LN的较大dij和较低的εTii使其在电压灵敏度方面具有优化性能。因此,我们分别使用dij和gij作为传输和接收FoM。开路电气介电常数εTii和居里温度(TC)作为辅助指标,评估电容密度和韧性。
表I中的比较突出了PZT-5A、KNN、36% ScAlN和LN之间的主要性能权衡,进一步支持了我们选择压电材料的决定。PZT-5A展示了最高的相关d耦合系数,但其较大的εT和较低的TC限制了其传感性能和耐受性。KNN提供了与PZT类似的传输效率,且较低的εT,但与ScAlN和LN相比仍不理想。ScAlN虽然在g和TC方面表现优异,但在传输FoM上不及PZT和KNN。相比之下,不同切割的LN展现了非常高的g,配合适中的d和高TC,这使其成为高温PMUT的理想选择。此外,LN还提供了前所未有的设计灵活性,支持厚度场激励(TFE)和横向场激励(LFE)电极配置。
LN以不同的材料切割方式提供,每种切割方式具有一组独特的电-机械耦合常数和电气特性。表I展示了36°Y、128°Y、Y切和X切LN平台之间不同的激励机制和FoM。然而,尽管表格中显示相似的性能指标,
(a) 由于单位压力输入在P3F LN膜片中产生的电场的横截面视图。
(b) 在相同几何结构中,由压力载荷引起的纵向应力,显示电场与应力分布之间的对应关系。表III:X切LN在150°平面旋转下的g压电耦合张量TC(居里温度)对于所有LN切割方式的研究表明,LN的高温稳定性在800°C时表现出提前的相分离现象,尤其是对于共轭LN[21]。然而,具有化学计量组成的LN在达到TC之前并不会出现此类问题。重要的是,只有正交的LN切割方式才具有商业化的化学计量组成。因此,X切LN由于其高FoM和较强的高温适应性,成为LFE PMUT平台的首选材料。
在使用X切LN设计压电换能器时,我们首先考察了g₁₁耦合常数随晶片平面方向的变化。在图2(b)中所示的顶部和底部层方向中,我们选择顶部LN层来描述设备的旋转。因此,我们发现,沿着从晶体+Y轴偏移150°的电场方向,g₁₁达到最大值(见图3)。由于P3F结构,相同的结果适用于底部LN层,只需额外的180°平面旋转。
LN的明显平面内各向异性要求我们重新考虑膜片的形状和几何结构。我们使用有限元分析(FEA)比较了方形、圆形、矩形和椭圆形膜片在均匀压力载荷下的表现,分别如图4和图5所示,展示了横截面视图和俯视图。顶部和底部LN层之间的180°平面旋转形成了P3F结构。所产生的电场的空间分布与X切LN的完整g压电耦合张量(见表III)相结合,提供了重要的见解。图5(a)和(c)展示了方形或矩形膜片如何产生具有纵向和横向分量的复杂电场。然而,由于g₁₁和g₁₂的符号相反,横向电场具有寄生效应,导致其与期望的纵向电场部分抵消。相反,图5(b)和(d)显示,圆形膜片有助于减轻寄生效应,而椭圆形膜片则进一步抑制了横向反节点。因此,椭圆形几何结构被采用用于后续的优化。
所选择的膜片几何结构引入了新的关键设计
图5: 由于压力边界载荷在(a)方形,(b)圆形,(c)矩形和(d)椭圆形膜片中激发的开路电压的俯视图,展示了(b)和(d)如何减少寄生横向电场的激发。
除了Lu等人报告的参数外,图2(b)中还展示了新的关键设计参数,具体包括Le和A。A定义为椭圆的短轴(W)与长轴(L)的比率,即A = W/L。Le参数定义了电极覆盖的长轴比例,经过优化以匹配膜片中横向能量的分布,同时也为接触垫提供空间。
使用COMSOL有限元分析(FEA)来获得优化操作所需的关键设计参数,工作频率为1 MHz,这些参数列在表II中。keff²和静态电容C₀作为主要性能指标被跟踪。keff²决定了共振结构的电-机械换能效率,而不仅仅是材料本身[41]。对于以电压和压力为主要作用变量的PMUT,其计算公式如下:
其中,Φ表示压力-电压电-机械变压器的匝比,Cad表示声学顺应性,C₀描述静态电容。由于LN的适中电介质常数(εT)和较大选择的厚度,电压灵敏度是优先选择的[42]。因此,Φ在此可以表示为开路电压与体积位移的归一化值。
除了keff²外,C₀作为次要性能指标也被跟踪,因为它对换能器的电气阻抗和系统级集成具有重要影响[43]。
参数扫描(见图6和图7)隔离了每个设计变量的影响,同时保持其他变量不变(见表格)。
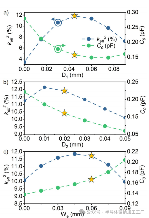
图6:
(a) keff² 和 C₀ 随电极距离 D1 的变化。
(b) keff² 和 C₀ 随电极距离 D2 的变化。
(c) 电极宽度 We 与 keff² 和 C₀ 的关系。除了正在扫描的参数外,所有其他关键设计参数都保持在表II中的值。所选的参数值用星号标出。
图6展示了不同设计参数对性能的影响。D1 为了最大化 keff² 被调整,而 D2 和 We 受到制造对准公差的限制。为了设计长宽比而不大幅改变工作频率,L 被扫描,而 W 保持不变。图7(a)表明,较小的长宽比持续改善 keff² 和 C₀,但刻蚀这样的图案具有挑战性。因此,我们名义上选择了 A = 0.5 作为性能和可制造性之间的折衷。Le 通过跟踪图5(d)中看到的横向电场分布来共同优化 keff² 和 C₀,同时还允许绘制测量接触垫。
图7中的优化设计参数(见表II)用于模拟所得到设备的传输效率(见图8)。图8中的仿真预测了在名义上选择的 Q = 100 下的峰值传输效率(ξpeak)为35.4 nm/V。为了将 Q 与传输效率解耦,我们使用峰值位移除以 Q 作为归一化位移(ξnorm),得到0.354 nm/V的值。这些结果确认了具有厚双层结构的有效换能。
图7:
(a) keff² 和 C₀ 随椭圆形膜片长宽比(A)的变化,表明较小的长宽比导致更高的 keff² 和 C₀。
(b) k² 和 C₀ 随横向电极偏移(Le)的变化。除了正在扫描的参数外,所有其他关键设计参数都保持在表II中的值。所选的参数值用星号标出。图8: 根据表II的设计规格,模拟的Q值为100时的峰值位移,验证了设备设计过程的有效性。
经过验证的设计参数来自表II,并用于设备的制造。
III. 制造与测量
A. 设备制造
设备采用来自NGK Insulators Ltd.的20 µm厚双层X切LN,基于400 nm SiO₂和200 µm Si堆叠进行制造。制造过程使用了3×3 mm²的芯片。顶部电极通过标准光刻和电子束蒸发Ti/Pt/Au(金属层厚度为10/30/60 nm)堆叠来定义。选择这种金属堆叠是因为它具有较高的熔点。为了减少电阻和质量加载效应,选择了100 nm的电极厚度。
图9:
(a) 本工作中的制造流程。
(b) 结果双层LFE PMUT的光学图像。图10:
横截面的扫描电子显微镜(SEM)图像,展示了控制芯片的细节:
(a) 悬挂膜片位于硅腔体上方。
(b) 放大视图,显示双层有源层。图11:
双轴2θ-ω XRD扫描声学堆叠,确认了压电层的单一相。
膜片通过使用Oxford H300深反应离子刻蚀(DRIE)工具进行释放,采用使用等离子体增强化学气相沉积(PECVD)沉积的(SiO₂)保护层来固定样品。刻蚀过程中利用了400 nm厚的(SiO₂)层作为刻蚀停止层。完成DRIE后,样品使用缓冲氧化物刻蚀(BOE)进一步刻蚀,以去除剩余的SiO₂。制造流程见图9(a),设备的最终光学图像见图9(b)。
B. 材料级分析
扫描电子显微镜(SEM)图像用于验证DRIE工艺,图10展示了来自控制芯片的SEM图像。
图12:
三轴摇摆曲线测量LN层,验证晶片的取向和晶体质量。
(a) 和 (b) 图10(a)展示了包含P3F LN结构的Si腔体,揭示了腔体边缘的横向过刻蚀。图10(b)中的悬挂LN层显示出光滑、连续的晶体表面,并且两个LN层之间有明显的界面。此外,SEM确认了20 µm的LN层厚度。通过X射线衍射(XRD)进一步检查了有源层。图11展示了对有源LN层的双轴2θ–ω XRD扫描,确认该薄膜是单相且为X取向(11¯20),因为仅观察到(11¯20)族的衍射峰。图11中叠加的两个LN层可以通过三轴摇摆曲线测量分开,见图12。摇摆曲线揭示了(11¯20)面的小角度错位,值为100′′。此外,摇摆曲线的全宽半最大值(FWHM)为40-50′′,这与先前的文献一致[33]–[35]。
C. 测量与后处理
该设备在机械和电气方面都进行了表征,以评估换能效率。机械测试使用激光多普勒振动仪(LDV)评估换能器的驱动能力。电气部分则使用阻抗分析仪测量设备的阻抗和相位响应。这些测试提供了一个综合数据集,用于评估 Q、keff² 和任何寄生效应。
机械表征使用了Polytec PSV-500 sLDV(扫描激光多普勒振动仪)系统。该系统包括一个集成的单通道信号发生器和四通道数据采集模块。施加到设备上的激励信号是一个带宽为5 MHz的宽频率啁啾信号,并使用5次平均来提高信噪比(SNR)。激励信号通过电压放大器(AALab A301HS)进行放大。位移波形的快速傅里叶变换(FFT)被归一化为输入波形的FFT,从而获得频率响应。sLDV系统自动在PMUT表面预定义的点上进行测量,随后合成所有测量结果以提供任何选定频率下的振动轮廓。第一个模式形状见图13(a)–(c)。
实验中的电气测量使用Zurich MFIA在2端口配置下进行,见图14(a)和(b)。
图13:
LDV测量结果:
(a) 未封装设备,
(b) 封装设备,
(c) 热退火后的封装设备。
插图展示了振动模式形状和提取的性能。
初步的LDV测量在未封装的芯片上使用直流(DC)探针进行[图13 (a)]。数据确认了弯曲模式共振,但显示出较高的模态密度、较小的位移和比仿真预测(见图8)更低的工作频率。为了解决这些差异,芯片随后被安装在一个陶瓷印刷电路板(PCB)上,使用环氧树脂粘合剂进行固定。通过金线键合将设备电极与金PCB接触垫连接。重新测量的设备[图13 (b)]显示出较少的伪模态,并且峰值位移进一步减少。
此外,封装设备的阻抗谱[图14 (a)]揭示了强烈的电容串扰,表明阻抗谱在频率范围内几乎是平坦的。相位响应[图14 (b)]显示出较大的介电损耗,且相位与理想的90°存在显著偏离。虽然频率偏移可能归因于DRIE工艺引入的膜片尺寸变化,但性能下降以及图10(a)和(b)中的横截面图像表明换能器堆叠可能存在固有问题。
为了解决性能下降问题,封装设备...
图14:
LN PMUT的电气测量,展示了:
(a) 阻抗,
(b) 相位。
这些测量在后处理步骤前后进行。
设备经过热退火处理,使用氮化硅(SiN)电阻加热器在开放空气中进行退火。温度以每分钟约25°C的速率升高至400°C,保持一小时,然后再降回室温。由于封装中使用的有机环氧树脂可能引发污染问题,退火过程是在开放空气环境中进行的。
退火后的机械测量[图13 (c)]显示了清晰的主要共振模式,峰值位移幅度接近其仿真值。测得的ξpeak为65 nm/V,Q值为200,频率为775 kHz。相应地,设备的ξnorm为0.325 nm/V。相比之下,仿真预测为1 MHz下的0.354 nm/V。后测量仿真将频率偏移归因于每侧34 µm的边缘过刻蚀。改进的机械性能与退火后的电气测量一致[图14 (a) 和 (b)],显示出共振设备特性的显著改善。然而,尽管寄生串扰大部分得到了缓解,相位响应仍低于90°。尽管如此,尽管额外的退火可能改善性能,但未进行进一步的后处理步骤,且退火后的电气数据用于提取keff²。
为了评估电-机械性能,退火后的电气测量数据使用修改的Butterworth-Van Dyke等效电路模型(mBVD)进行拟合[44]。拟合结果以虚线显示在图14(a)和(b)中,拟合来自图15所示的电路。寄生电容器(Cf)与电阻器(Rf)串联,用于建模串扰网络。使用仿真设备的C₀值来获得它们的值,得到Cf为1.63 pF,Rf为104 kΩ。尽管该模型并不完全代表所有寄生效应
图15:
用于拟合图14中keff²的mBVD模型。Cf和Rf用于建模寄生串扰。
图17:
提取的共振频率和ξnorm随温度变化,突出显示了在高传输效率下,设备在600°C以下的稳定操作。图 18:LN PMUT 在 800°C 及以上温度下的 LDV 测量结果,显示在 800°C 下持续运行一小时后,频率出现轻微偏移。图 19:封装的 LN 捷变器在 (a) 室温和 (b) 900°C 下的光学图像,展示了实验设置以及故障机制。机械测量表明,在 600°C 以下,频率随着温度的升高出现一致的偏移,但性能未受影响,如图 17 所示。在 500°C 时,PMUT 在 663 kHz 下获得了 0.332 nm/V 的高 ξnorm,相较于室温下 775 kHz 时的 0.325 nm/V。通过线性拟合提取的频率温度系数(TCF)在室温到 600°C 的范围内为 -319 ppm/K。这个值显著大于接近室温时报告的值,但考虑到 LN 材料常数的提取尚不完全,这里的数值提供了一个实验数据集 [46]。在 500°C 至 600°C 之间,Si 基板出现裂纹,归因于热应力。然而,活性层未见明显损坏,并继续以弯曲模式运行。基板故障导致了异常情况。图 20:叠加图,展示了测得的位移、原始模拟位移及其更新版本。
图 21:使用测后模拟获得的 SOC,显示与通过测量数据计算的值高度一致,计算值用星号标出。从 600°C 时的 633 kHz 到 700°C 时的 476 kHz,频率发生了变化。随着 Si 基板的持续裂纹和环氧树脂回流,膜的边界条件在 700°C 至 800°C 之间恢复,显示在 590 kHz 下的 ξnorm 为 4.2 nm/V,Q 值为 43,导致 ξnorm 为 0.097 nm/V。该设备在 800°C 下持续运行了一小时(图 18),并在接近 900°C 时因电极开始扩散到环境中而失效。850°C 时的最后一次记录测量显示共振频率进一步恢复,并呈现弯曲模式形状(图 18)。室温和 900°C 下的设备光学图像及测量设置分别见图 19 (a) 和 (b)。900°C 下的光学图像显示,在扩散的金电极和垫片周围,基板发生了故障。设备在高温下的持续生存和相关故障机制将在未来得到进一步研究。
IV. 讨论
双层 LN PMUT 展现了 P3F LN 平台在超声传感中的优势和仍然存在的局限性。通过广泛的设计考虑和后处理步骤,实现了高性能和温度韧性;然而,仍然存在一些性能和制造上的缺陷。理解这些影响,从频率偏移到 keff² 损失和剩余的串扰, 对于进一步的平台开发至关重要。本节通过后测模拟分析了测得的频率偏移及其对 keff² 的影响,从而获得一个验证过的模型。然后,更新后的模拟被用来通过预测接收灵敏度,进一步深入了解双层 LN PMUT 平台。完整的数据集更好地证明了设计选择,并详细说明了所获得的性能。
A. 后测模拟
设备频率与模拟的变化归因于 DRIE 工艺中的横向过蚀,如图 9 (b) 和图 10 (a) 所支持的那样。在膜的每一侧加入 33.8 µm 的横向过蚀后,模拟的共振频率与测量值一致。在图 20 中,更新后的模拟在 775 kHz 下得到 ξnorm 为 0.345 nm/V,与在相同共振频率下测得的 0.325 nm/V 值非常接近。
图 21:使用后测模拟获得的 SOC,显示与通过测量数据计算的值高度一致,计算值用星号标出。
横向过蚀对 keff² 产生了显著影响。模拟值从 11.8% 降低至 6.5%。由于过蚀对 C0 的影响极小,提取的 keff² 为 6.4%,与模拟结果良好一致。剩余的细微差异可能源于 mBVD 拟合的局限性。特别是,作为简单 RC 串联网络建模的损耗串扰分支,无法完全捕获整个频率带宽的阻抗和相位[图 14 (a) 和 (b)]。尽管额外的寄生元件可能改进拟合,但它们的物理意义将不明确。
B. 接收性能
考虑到测量和更新后的模拟之间的强一致性,可以直接使用 FEA 来推算双层 LN PMUT 的接收性能。利用压电系统中的互易性,开路电压灵敏度(SOC,以 V/Pa 为单位)可以通过模拟的特定声学顺应性(Cs,以 m/Pa 为单位)与测得的 ξpeak 的比值获得[47]。因此,开路电压可以如下计算:
对于在 Q 值为 200 时测得的 65 nm/V 峰值驱动位移,模拟得到了 160 pm/Pa 的 Cs。因此,得到的开路灵敏度(SOC)为 775 kHz 下的 2.46 mV/Pa。为了验证计算值,我们将其与直接从 FEA 获得的开路电压进行比较,如图 21 所示。模拟确认了计算估计值,在 775 kHz 下显示为 2.4 mV/Pa。此外,图 21 显示,设备在其并联共振时达到了峰值开路电压,达到 38 mV/Pa。如同发射效率的情况一样,我们通过使用归一化的开路灵敏度(SOC norm)将灵敏度与 Q 分开。因此,我们得到了 12 µV/Pa 的 SOC norm。然而,灵敏度在很大程度上受接口电路的影响,其效果在系统级别上最为明显,这促使我们进一步研究基于双层 LN 的传感器。
虽然外部因素在接收性能中起着重要作用,但与现有的 PMUT 平台进行比较,突出显示了 LN PMUT 的高电压灵敏度。最先进的 36% ScAlN 基空气耦合 PMUT 通过脉冲回波测量显示,在 60 kHz 下的 SOC 为 1 mV/Pa [48]。另一方面,其空气耦合的 PZT 对应物在 40 kHz 下通过点对点实验显示为 2 mV/Pa [1]。这些铁电平台的性能通过加入 DC 偏置进一步增强。例如,15% ScAlN PMUT 的灵敏度从 150 kHz 下的 6.43 mV/Pa 增加到 80 V 偏置下的 9.67 mV/Pa [49]。作为替代,PMUT 还可以利用双电极结构来改善接收性能。例如,[50] 显示,在 30% ScAlN 下 55 kHz 时为 4.4 mV/Pa。相比之下,双层 LFE LN PMUT 在操作于显著更高的频率时实现了类似的 SOC,显示出其作为高灵敏度、坚固 PMUT 平台的潜力。
C. 剩余局限性与未来发展
LFE LN PMUT 依赖于包装和退火等后处理步骤,以实现高性能。理解这些步骤背后的根本问题对于未来 LN PMUT 的实现具有重要价值。仔细观察未封装传感器中激发的杂散模式[图 13 (a)],发现这些不需要的音调也是弯曲模式,激励了基板的不同部分。因此,图 13 中看到的高模态密度归因于刚性 20 µm LN 和相对较软的 200 µm 厚 Si 之间的能量约束较弱。因此,包装约束了基板,抑制了杂散模式[图 13 (b)]。尽管有了这一改进,封装设备仍然表现出较差的机械和电气性能,这通过在开放空气中进行 400°C 退火得到缓解。虽然还需要进一步的研究来确定确切的机制,但初步认为这一改进归因于应力松弛和可能的接触及界面的变化;具体机制尚需进一步研究。
后退火电气测量中观察到的剩余寄生串扰(图 14)对未来 LN 传感器的发展至关重要。尽管 LN 本身表现出低介电损耗,但寄生串扰作为一个主要瓶颈,限制了可实现的性能。虽然通过退火部分缓解了这一效应,但残余的寄生效应仍然限制了可用灵敏度,尤其是在并联共振附近。尽管热处理似乎有益,但串扰的根本来源仍未解决,值得进一步研究。
V. 结论
本研究介绍了用于超声传导的双层 LFE LN PMUT,展示了其高性能与极端温度韧性。通过将 LN 与现有 PMUT 材料平台进行比较,本研究利用 P3F LN 设计了双层 PMUT。制备并测量了一款 775 kHz 的弯曲模式设备,使用了 20 µm 厚的活性层,获得了高传输效率,ξnorm 为 0.325 nm/V,并具有 2.4 mV/Pa 的高电压灵敏度。该设备表现出优异的机械和热韧性,能够维持在 600°C 时的高性能,并在 900°C 下存活。整个实验过程中进行的分析为 LFE LN PMUT 平台提供了深入见解,并明确了未来的研究方向。凭借这些有前景的结果,所提出的材料平台展示了在坚固传感器应用以及双向操作方面的巨大潜力。
致谢
作者感谢 Todd Bauer 博士和 Kwok-Keung (KK) Law 博士的有益讨论。作者还感谢来自德州仪器 Kilby 实验室的 Bichoy Bahr 博士、Udit Rawat 博士和 Yao Yu 博士的宝贵反馈。