薄膜铌酸锂(TFLN)由于其强烈的电光、压电和非线性特性,已成为光子集成电路的一个有前景的平台,这些特性使得该材料在电子和光子应用中具有重要的技术价值。稀土离子的引入,特别是铒(Er³⁺)离子,使得量子存储、放大和单光子发射等功能成为可能,尤其是在通信波段。本研究提出了一种利用聚焦离子束(FIB)植入技术,对x型切割TFLN进行确定性Er³⁺掺杂的方法,具有亚100纳米的空间精度,从而实现了稀土离子在这一技术相关平台中的无缝集成,为铌酸锂集成纳米光子学提供了可能。通过植入区域的光致发光(PL)测量,揭示了与块状Er掺杂铌酸锂一致的斯塔克分裂4f-4f跃迁,表明其晶格占位相似。300 K至5 K的温度依赖PL测量表明,温度降至约50 K时,光发射强度和寿命出现显著下降。这一异常现象归因于低温下LiNbO₃中热电响应的抑制,这会影响局部电场,从而影响Er³⁺的发射。PL响应对980 nm激发光的调制频率和极化的敏感性,也与薄膜中产生的热效应和内部场机制相一致。结果展示了一种针对性地将Er³⁺离子掺入TFLN的常用切割方法,为其在低温量子设备中的应用提供了进一步的重要考虑。该研究为稀土发射体在可扩展、多功能光子电路中的定向集成铺平了道路,适用于量子和经典应用,充分利用了x型TFLN平台固有的强电光、压电和非线性光学控制能力。
#0:10mm-10mmsto衬底-bto薄膜(300nm厚度可定制)
#1:sto外延片
2寸 外延 sto 2-20nm(可定制)- 2um Sio2(可定制) -Si(可定制)
#2:a向 bto外延片
2寸 外延 a-向 bto(300nm或者500nm,或者定制)-sto 8nm(可定制)- 2um Sio2(可定制) -Si(可定制)
#3:C向 bto外延片
2寸 外延 c-向 bto(150nm或者300nm,或者定制)-sto 8nm(可定制)- 2um Sio2(可定制) -Si(可定制)
#离子注入铒代工
#6寸DUV步进式光刻代工,最小线宽180nm,超高性价比,可以只曝光
#快速氮化硅硅光铌酸锂流片 #高性价比 #低成本
#提供8寸 8umSiO2热氧片,6寸15um热氧片 10um热氧片 8寸10um热氧片
室温低损伤@GCIB抛光代工@束斑小(4-5mm)更均匀
#降低硬质材料化合物晶圆等绝大多数材料的表面粗糙度,比如金刚石 ,磷化铟,砷化镓,碳化硅
#提高复合衬底和镀膜膜层的器件层膜厚均匀性,
比如SOI LNOI LTOI SICOI 等 SMARTCUT得到的薄膜
或者镀膜所得到的膜层 ,比如镀了一层氮化硅,但是由于是cvd镀膜所得到的,表面的膜厚精度很差,粗糙度很差,可以通过粗糙度初步降低粗糙度,然后通过GCIB团簇离子束抛光来修整整面的膜厚均匀性 到0.5%以下举例:
未经过Trimming 工艺的 6寸LN/LTOI晶圆 数据:
Range:100-200A
经过Trimming 工艺的 6寸LN/LTOI晶圆 数据:
Range:60A以内
SOI晶圆:--220nm薄膜/ 3um厚膜-3umSIO2-675umALOOI晶圆;--氧化铝薄膜晶圆,键合工艺和镀膜工艺
TAOOI晶圆--氧化钽薄膜晶圆,镀膜工艺
SINOI晶圆--超低损耗氮化硅薄膜晶圆,210nm-300nm-400nm-800nm
SICOI晶圆;新型量子光学平台500nm-700nm-1um
8寸LTOI晶圆批量供应;铌酸锂的有力的竞争对手,薄膜钽酸锂晶300600
8寸LNOI晶圆;8寸LNOI助力更大规模薄膜铌酸锂产品量产
LN/LT-SOI/Si/SIN W2W&D2W异质集成
流片: 6寸 氮化硅 铌酸锂 硅光 超高性价比流片, 1个BLOCK的价格买一整片晶圆
划重点--全国产-超高性价比-6 寸硅光-氮化硅-铌酸锂流片白皮书
我们为客户提供晶圆(硅晶圆,玻璃晶圆,SOI晶圆,GaAs,蓝宝石,碳化硅(导电,非绝缘),Ga2O3,金刚石,GaN(外延片/衬底)),镀膜(PVD,cvd,Ald,PLD)和材料(Au Cu Ag Pt Al Cr Ti Ni Sio2 Tio2 Ti3O5,Ta2O5,ZrO2,TiN,ALN,ZnO,HfO2。。更多材料),键合(石英石英键合,蓝宝石蓝宝石键合)光刻,高精度掩模版,外延,掺杂,电子束光刻等产品及加工服务(请找小编领取我们晶圆标品库存列表,为您的科学实验加速。
请联系小编免费获取原文

“Ion-Implanted Erbium in X-cut Thin-film Lithium Niobate:
Luminescence and Low-Temperature Response”
作者:Daniel Blight*, Mason Adshead, Alessandro Prencipe, Mayam Sanaee, Katia Gallo and Richard J Curry
单位:Dr. D. Blight, Dr. M. Adshead, Prof. R. J. Curry
Address: Photon Science Institute, Department of Electrical and Electronic Engineering, University ofManchester, Manchester, M13 9PL
Dr. A. Prencipe, Dr. M. Sanaee, Prof. K. Gallo
Address: Albanova University Center, Department of Physics, KTH – Royal Institute of Technology,
Roslagstullsbacken 21, 10691 Stockholm, Sweden
1 引言
由于其非中心对称结构,铌酸锂(LN)具有许多特性,包括高二阶非线性和电光效应,这使其成为光子和量子应用的首选材料。低损耗的LiNbO₃绝缘体(LNOI)[1]波导的示范,开启了在小尺寸光子集成电路(PICs)中利用该材料特性的潜力,模仿了在绝缘硅上的纳米光子元件的密集集成[2, 3]。近年来,LNOI在超快光学调制[4]、非线性光学[5]、微波[6]和量子光子学[7, 8]等领域取得了显著进展。随着向实现“量子2.0”设备的推进,利用纠缠和叠加的量子设备成为了重点,确定性单光子源和在通信波长下的量子存储器备受关注,它们是可靠传输、存储和处理量子信息的方式,最终使得量子互联网的构建成为可能。LNOI平台作为存放这些源的有吸引力的平台,已经有成功的实验实现[9]。此外,为了进一步扩展该材料平台的能力,LNOI PICs已经与其他材料和设备进行了集成,例如激光源[10, 11]、超导和半导体光探测器[12, 13]。特别感兴趣的是在LiNbO₃中加入稀土离子(REI),如铒(Er³⁺),由于其有用的光学特性和设备应用[14, 15, 16]。稀土离子在光学和微波领域提供跃迁[17],它们在LNOI中的集成对于量子光学应用具有吸引力,这使得实现单一多功能光子平台成为可能。通过利用稀土离子的特性,这可以实现光信号的相干电光控制、通过大χ(2)非线性实现的光子-光子相互作用、波导集成的单光子探测能力,以及通过稀土离子的性质实现集成的按需单光子发射体[18]、量子存储器[19],以及最近在氮化硅上实现的集成放大器[29]。在LNOI中实现稀土离子的集成的实验示例可见于量子应用[14]、光放大[20, 21, 22]和激光[15]等领域。Er³⁺离子的引入特别有用,因为它赋予了这些功能,并且位于通信C波段,该波段的光纤吸收损耗最小。
Er³⁺离子通常通过将智能切割方法应用于传统的Er掺杂的同晶LiNbO₃晶片,来掺入LNOI中[23, 24, 25]。这种方法可以产生均匀掺杂的薄膜,且采用这种方法生产的晶片在商业上是可获得的。然而,这种方法需要将材料加热至1100°C[20],接近晶体的居里温度(约1200°C)[26],并且必须在薄膜制造和粘接之前在块体晶体中实现。此外,高温掺杂方法无法精确控制Er³⁺在LN层中的空间分布。为了克服这些限制,另一种方法是离子植入,它可以在低于1000°C的温度下,在同晶LNOI中实现确定性稀土离子的掺入,并且具有极高的空间分辨率[28],这对于复杂的光子集成电路(PICs)中的集成非常理想。稀土离子可以被植入到预定义的区域,而不会影响集成在同一芯片上的其他光子构件的性质。最近,聚焦离子束(FIB)方法的发展,使得直接写入技术成为可能,空间分辨率可以达到几十纳米[28]。这与确定性离子植入和探测相结合,为在现成的波导纳米结构中放置单个发射体提供了潜力,这些纳米结构经过适当设计,可实现Purcell增强和电气控制。这种方法可以避免在围绕随机分布的预先存在的发射体(例如量子点)对共振增强、引导和控制进行对准和构建完整光学电路的复杂性。
在LiNbO₃中,已经报道了Er³⁺(约1535 nm [27])和Th³⁺(约795 nm [30])离子在z型切割薄膜中植入纳米波导后的Purcell增强荧光。然而,x型切割LNOI是最适合PIC设备的形式,它能够提供对最高电光和非线性系数的平面内访问[26],并利用材料的双折射性增强波导色散工程能力[31]。后者特性,以及LN波导在光学和电学领域展示的强各向异性,源于其晶体学类别和铁电特性(包括热电、光伏和光折变效应),也促使了对Er植入x型LNOI层的光致发光(PL)响应进行深入研究。对发射机制的更深理解可能为在纳米尺度上控制光提供新的途径。考虑到未来的量子应用,了解x型LNOI的低温行为尤为重要,因为许多量子2.0设备在低温下工作。
本研究展示了Er³⁺离子在x型500 nm厚的LNOI中的集成,并研究了其光致发光(PL)强度和衰减特性,作为温度和光极化的函数。结果提供了对LN内部电场如何影响Er³⁺发射的洞察,并观察到了热电行为。
2 结果与讨论
2.1 离子植入过程
Er掺杂的TFLN样品是通过如实验部分所述的聚焦离子束植入技术进行制备的。尽管使用的植入系统可以实现最小特征尺寸小至20 nm,但为了方便光学表征,我们选择了几百纳米的植入区域,可以在图1中的光学显微镜图像中辨认出来。写入图案由较大的100 x 100 μm²方块组成,伴随着沿LN薄膜z晶轴方向的较窄测试条带(最小宽度约为700 nm),这些条带沿LN薄膜的y轴写入(更多细节见补充信息或方法部分)。植入使用了170Er同位素,植入剂量范围为1013至1015离子/cm²。植入能量设置为75 keV,预计Er离子分布将在大约25 nm的深度处达到峰值(图1.a),这一结果基于SRIM(离子在物质中的停止范围)模拟(图1.e)。图1.b-d展示了在三个不同植入剂量下,通过非极化明场光学显微镜获得的光学图像。图1.f展示了原子力显微镜(AFM)图像,显示了植入区域(表面粗糙度σ=1.5 nm)和非植入区域(σ=0.5 nm)之间的界面,证明该过程不会显著影响薄膜的表面质量,确认了其与LNOI波导制造技术的兼容性。植入后,在进行光致发光(PL)表征之前,样品进行了退火处理,以使LN晶体结构恢复任何可能由植入引起的晶格损伤并激活发射体,如实验方法部分所述。退火后,植入区域的最小特征尺寸没有变化,因此我们得出结论,退火过程尽管相对较慢,但没有引起显著的固态扩散。
图 1. 实验概览。
a) 植入过程的示意图,显示了 Er 离子植入特征、LNOI 基板的结构以及 LiNbO3 薄膜的晶体学轴。
b)、c) 和 d) 三个不同植入区域的明场光学显微镜图像,分别具有不同的植入剂量(5 × 10¹³、10¹⁴ 和 5 × 10¹⁴ 离子/cm²)。
e) SRIM 模拟的植入离子深度分布,显示植入深度的峰值大约在 25 nm 处。
f) 在其中一个植入方格的边缘(剂量为 5 × 10¹⁴ 离子/cm²)收集的 AFM 图像,确认在 LN 薄膜层面没有发生损伤。
2.2 光致发光光谱
光致发光(PL)光谱是在不同离子注入剂量(分别为 10^13、10^14 和 10^15 离子/cm²)区域获得的。退火样品被装入低温冷冻装置中,以评估低温下的 PL 性能。图 2a 显示了测量设置的示意图(更多细节见补充信息)。除非另有说明,以下描述的所有测量均在 980 nm 激发波长和 8 mW 激光功率下进行,激光源照射的光斑直径约为 1 微米。通过使用压电驱动器扫描样品,并在激发光束下记录植入区域的显微光致发光图。结果验证了铒掺杂过程的决定性特性,并确认了上文提到的小尺寸植入特征的亚微米空间分辨率。进一步的系统性研究聚焦于较大、均匀植入的 100 x 100 μm² 区域(如图 2b 所示),以分析样品的光谱和热响应。如图 2c 所示,不同辐照剂量下获得的光谱显示相同的特征,但在强度上有所不同。集成的 PL 强度与离子剂量成正比,表明 10^15 离子/cm² 的剂量尚未达到铒离子之间的相互作用(如交叉弛豫)对发光产生不利影响的阈值。
图 2:
a) 实验装置示意图,用于研究 Er 离子植入的 X 切 TFLN 在 980 nm 光激发下的光致发光。
b) 采用 1200 nm 长通滤光片的光致发光图,显示其中一个大面积 Er 离子植入区域。
c) 在 50 K 下从包含 10¹³、10¹⁴ 和 10¹⁵ Er 离子/cm² 区域采集的 PL 光谱。
2.2 低温响应
对植入区域的极化和非极化 PL 光谱进行了测量,涵盖了 Er³⁺ 4I13/2 → 4I15/2 过渡的波长范围,温度范围从室温到 5 K。主要结果如图 3 所示。Er³⁺ 4f 能级根据 Er 离子在宿主材料中的局部对称性分裂为最多 2J + 1 个不简并的克拉默双重态,导致 4I15/2 能级中有 8 个不同的能态,4I13/2 能级中有 7 个,分别标记为 Z1(最低能量)到 Z8(最高能量)和 Y1 到 Y7。我们在 50 K 的光致发光光谱中观察到从 Y1 到除了 Z8 之外所有 Z 态的跃迁,以及 Y2 → Z1 的跃迁,这与预期一致。表 1 中将这些跃迁的能量与计算值和文献中的实验数据进行了比较,后者是熔融掺铒的 Er:LiNbO3 大块晶体的相关数据。本文研究中这些跃迁的能量与文献值相当,表明离子注入的 LN 薄膜中的 Er³⁺ 离子经历了与熔融掺铒大块晶体中类似的晶体场,因此它们占据了类似的晶格位置。
图 3:
a) 在 50 K 下采集的极化光致发光光谱,检测路径中使用线性偏振片,分别与晶体 z(c)轴平行(π)或垂直(σ)。
b) 极化光致发光光谱的归一化图,以便更容易地看到相对峰值高度。
c) 在样品温度从 295 K(黄色)到 5 K(紫色)范围内采集的归一化光致发光光谱。插图:同一温度范围内的绝对光谱热图。
稀土 4f-4f 光学跃迁可以通过 Judd-Ofelt 理论描述[32],该理论指出,晶体场使通常禁止的跃迁变得微弱允许,并且可以确定控制跃迁强度的电偶极子和磁偶极子振荡强度。LN 晶体的单轴特性导致与光学 z 轴(c 轴)平行和垂直的模式具有不同的跃迁强度,分别表示为 π 极化和 σ 极化,在我们的实验条件下,980 nm 处的 4I9/2 ← 4I15/2 激发主要是 σ 极化的,这与文献中的结果一致[33]。4I13/2 → 4I15/2 跃迁的极化 PL 光谱可以在图 2a-b 中看到,结果显示,除了 Y1 → Z5 跃迁外,其余跃迁均以 σ 极化为主,而 Y1 → Z5 跃迁则主要是 π 极化。
表 1: 从 4I13/2 Y1 到 4I15/2 能级的光学跃迁波长。该工作中展示了 Stark 分裂能量相对于 Z1 能级的值,并与文献中报道的 Er 掺杂大块 LN 的实验值和计算值进行了对比。本文的值通过拟合观察到的光谱峰获得,样品温度为 50 K。对于 Z8 Stark 能级的星号表示发射信号太弱,无法在光谱中分辨出相应的峰。
2.2 低温行为
图 3c 显示,Er³⁺ 发射峰的半峰宽度(FWHM)随着温度的降低单调缩小,这是典型的行为,因为声子弛豫的宽化效应减小。当以温度为自变量考察光致发光(PL)强度和 PL 寿命时,观察到了更有趣的现象,如图 4 所示。PL 衰减使用仪器响应函数和单指数衰减的卷积进行了拟合;用于分析实验数据的具体函数和程序可以在支持信息中找到。随着样品从室温冷却至大约 100 K,强度和衰减时间均增加。这一行为是预期的,因为当 kBT 降低到非辐射复合过程的激活能以下时,稀土离子内部的 4f-4f 多声子弛豫速率降低[37]。然而,低于 100 K 时,PL 强度和 PL 寿命稳定在一个平台区间,直到大约 50 K,此后随着进一步冷却而迅速下降。PL 强度下降约 50%,PL 寿命下降约 10%。这种现象对于稀土离子掺杂材料的 PL 是不典型的,表明这是 LN 基质特有的效应。
图 3:
a) Er³⁺ 4I13/2 → 4I15/2 光致发光衰减时间(黑色圆圈,左轴)和光谱积分 PL 强度(蓝色三角形,右轴)随温度变化的曲线。
b) 在 80 K 下的 PL 衰减瞬态,显示了检测到的 PL 信号和来自激光光散射的仪器响应函数。其他温度的原始数据和拟合细节可以在支持信息中找到。
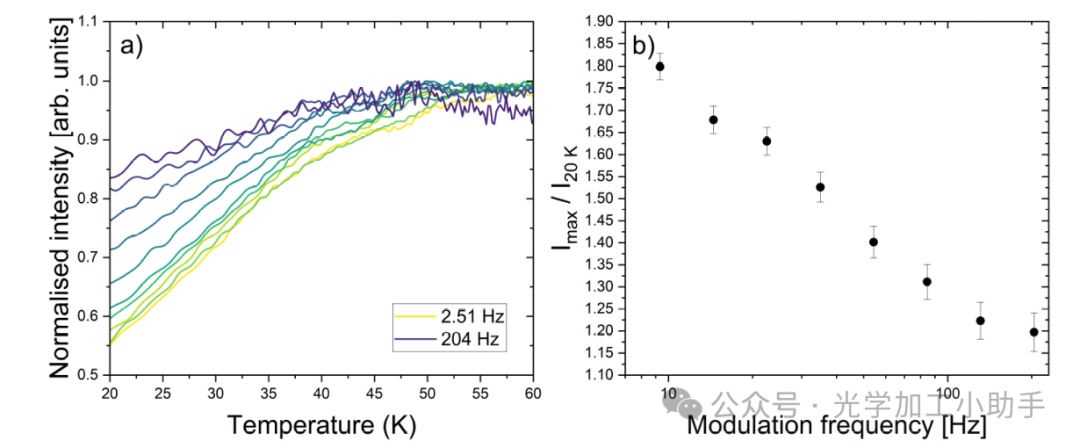
尽管 LN 所包含的丰富的声子、电子和光学效应使得目前很难明确归因于导致 PL 响应异常的确切物理机制,但其与文献中报道的 LN 低温下的热电效应演化的定性相似性[38-39],可能为进一步的研究提供了线索,并与 LN 晶体的铁电特性相关。LN 的铁电特性使其表现出热电效应,即产生自发极化(Ps= 75 μC/cm²,室温下,沿晶体 z 轴方向)的变化,从而在温度变化时产生非常高的电场。热电响应被测量为因温度梯度 ∂T 引起的电压,它与(温度相关的)热电系数(p3=∂Ps/∂T)除以体积比热(cp)成正比。在 LiNbO3 中,这两个量随着温度从室温降低而减小,但 cp 降低的速率更快,导致热电响应略有增加。然而,低于某个阈值温度时,最低能量的光学声子模式被冻结。由于该声子模式支持热电效应,p3 急剧下降,导致在 kBT ≈ 0.2 - 0.3Ω 处出现热电响应的最大值,其中 Ω 是最低能量光学声子模式的能量[38]。在 LiNbO3 中,这一最大值被测量为大约 154 cm⁻¹,出现在低温下[39],对应着热电响应的最大值出现在 44–66 K 的温度范围内。这也与 Bravina 等人[40]的实验数据一致,并且正是我们在此处观察到的发光行为变化的温度范围。实际上,我们的实验中得到的 PL 强度和衰减时间的集成响应随温度变化的定性演化,图 4a 所示,与 LiNbO3 的热电响应随温度变化的情况非常相似。值得指出的是,我们的实验条件与传统的热电响应测试非常相似,即样品暴露于时变的热通量中,这里是由于 980 nm 激发激光的吸收产生的热量,可以沿 LiNbO3 的光轴诱导热电电压。在传统的热电测量中,调制频率在 10 - 1000 Hz 范围内,热电响应被发现大致与热通量调制频率成反比[41]。这些条件与我们实验的条件非常相似。我们在不同调制频率下测量了 PL 强度随温度变化的情况(在 50% 占空比下,调制频率从 2.51 Hz 到 204 Hz),结果如图 5 所示。从中可以明显看出,低温下强度的下降与调制频率成反比,进一步支持了这一现象可能与热电效应有关的假设。

图 5:
a) 正常化的光谱积分 Er³⁺ 4I13/2 → 4I15/2 光致发光强度随温度变化的曲线,激光激发调制频率在 2.51 Hz 到 204 Hz 之间按对数间隔。
b) 相同条件下,最大强度除以 20 K 时的强度——这是低温下强度下降幅度的指示。
为了使我们数据中观察到的趋势与热电效应相关联,必须有一个物理机制能够影响发光。我们推测,这可能是 LN 中铁电特性(即自发极化)的变化,进而引发电场,这是由于材料本身的绝缘特性所支持的。这样的内生电场可以直接通过 Judd-Ofelt 参数和局部场修正影响发光,或者可以通过线性电光效应(Pockels 效应)间接影响发光[26]。无论如何,它应该比 (x-)σ 极化的发光更能影响 (z-)π 极化的发光,因为它的电场与热电效应产生的电场平行。不同调制频率下的极化光谱表明,这对于我们的样品是成立的:π 极化的发光受调制频率变化的影响明显更大(更多细节见支持信息)。
人们可能会好奇,为什么先前研究中未报告这种行为,尽管这些研究曾检查过 LiNbO3 中低温下的铒发光,例如 Gruber 等人的研究[33]。其中一个区别是,我们这里使用的是离子植入而不是在生长过程中掺入 Er 离子,尽管基态的 Stark 分裂的相似性表明,Er 离子占据的是相同的晶格位置,因此这不应成为差异。另一个区别是,这里使用的 LiNbO3 是一层 500 nm 厚的薄膜,粘附在 2 μm 厚的 SiO2 上,置于硅片上。硅在 980 nm 激发波长下的吸收系数比纯锂铌酸要高几个数量级[42, 43]。这导致激光激发时的局部加热更强,因此产生的热电响应比其他在大块单晶 LiNbO3 上进行的研究更大。
3 结论
总之,我们表明,FIB 植入是将 Er 离子有效地掺入 LN 中的一种有效方法,从而可以在 LN 材料平台中利用其光学特性。样品经过有效退火,修复了离子植入过程造成的任何损伤,斯塔克分裂的发射分析表明,Er³⁺ 离子沉积到与熔融掺铒的 LiNbO3 大块晶体中相同的晶格位置。
对发光的温度依赖性系统性分析揭示了在约 50 K 以下的温度下出现了有趣的行为,这被归因于 LN 中的热电现象。由于 Er³⁺ 离子在 LN 中被认为是量子存储和信息处理器件的有吸引力的路径,因此在这些温度下的表现至关重要,因此在设计器件时应考虑这一行为——在我们的实验中,样品从 50 K 冷却到 5 K 时,发光强度减少了 50%。
为了更深入理解这种行为背后的物理机制,需要进一步的实验——可以在样品上 Er 离子植入区外部图案化电极,从而施加外部电场,这有助于阐明 LN 内部生成电场的作用。此外,尽管它们对于片上光子应用不太相关,Y 切和特别是 Z 切的 LNOI 可以被使用,以便 LN 中的内部电场会沿不同的轴向,尤其是在 Z 切的情况下,它会与吸收和收集光的电场垂直。
4 实验部分
植入实验在商业化的 TFLN 晶片(NanoLN Inc.)上进行,样品为 300 nm 厚的 X 切一致性未掺杂锂铌酸薄膜,粘附在 500 μm 厚硅片上的 2 μm 热氧化物层上。
离子植入:样品使用英国曼彻斯特大学的 P-NAME 设施(Ionoptika, Q-One)进行植入[28],该设施提供了同位素选择和小于 100 nm 的空间分辨率以进行 Er 离子的植入。植入柱配置为使用 25 kV 加速电压(对应 75 keV 的植入能量)植入 170 Er³⁺ 同位素,经过模拟计算,得到的平均植入深度为 25.4 nm(参见图 1.e)为分布结果。SRIM 是一个基于蒙特卡洛方法的包,考虑了植入条件以及靶材料的特性,模拟离子植入过程。该工作所关注的输出为植入离子的预期深度。植入区域的剂量由聚焦离子束的扫描时间控制,采用 17 pA 的标称束流,分别为 10¹³、10¹⁴ 和 10¹⁵ 离子/cm² 的剂量。所有 FIB 植入实验均在室温下进行。
退火:植入后样品使用 Annealsys 快速热退火装置在 850°C 下退火 60 分钟,升温速率为 0.5°C/s,降温速率为 0.2°C/s,在 40 sccm 的恒定氧气流中进行。
光学和原子力显微镜(AFM)样品检查:
在离子植入后,使用配有 20× 物镜的广角显微镜(图 1b-d,对应三种植入剂量)获取了样品图像。为了对植入的 LNOI 区域进行详细的形态学分析,采用了配备 MESP-RC-V2 探针的 Bruker ICON AFM 系统。为了评估植入区域与未植入区域之间的表面粗糙度,扫描了包括它们界面(图 1d 中黄色方框所示)的区域,采用了敲击模式。AFM 扫描在 2 µm 的 z 范围内以 0.5 Hz 的速率进行,如图 1f 所示。
光致发光:
光致发光测量在安装在 Montana Instruments Cryostation 中的样品上进行,Cryostation 是一款闭环无冷却剂低温冷冻装置,配有集成的 100x 0.75 NA 显微镜物镜。激发光由 Thorlabs 的 980 nm 激光二极管提供,该激光二极管通过电子调制与 SRS830 锁相放大器一起使用,采用锁相检测方法。在测量使用的激光驱动电流和 50% 占空比下,样品上的时间平均功率约为 3 mW。激光光斑大小约为 1 微米,用于映射测量,但在光谱测量时为了增加检测信号,光斑被调焦至约 5 微米。使用 Thorlabs 长通光谱分光镜(截止波长 1180 nm)分离 PL 和激发激光的光路。在单色仪之前使用 FELH1050 1050 nm 长通滤光片进一步消除任何到达探测器的激光光线。为了采集 PL 映射,样品通过 xyz attocube 压电台在低温冷冻装置内移动。为了检测光谱和时间分辨测量中的 PL 信号,使用了 NIR 灵敏的 InP/InGaAs 光电倍增管。这个光电倍增管与锁相放大器结合用于光谱测量,并与 Keysight Infiniium S 系列示波器结合用于时间分辨测量。仪器响应函数(时间常数 0.23 ms,见图 3.b 和更多细节在支持信息中)被测量并从时间分辨信号中解卷积,以分离 PL 衰减对检测信号的贡献。