上海奥麦达微电子有限公司

专业高效
微纳加工公司

Z切掺镁薄膜铌酸锂晶圆+量子频率转换--薄膜铌酸锂芯片上的电泵浦超高效量子频率转换(中科大潘院士团队)

#掺镁薄膜铌酸锂 #量子频率转换 #Z切薄膜铌酸锂晶圆

摘要——量子频率转换(Quantum Frequency Conversion, QFC)在构建不同工作波长下量子系统之间的无缝互联中发挥着关键作用。为了推动未来量子技术的发展,具备高效率、小尺寸、低功耗和高可扩展性的芯片级集成QFC器件是不可或缺的。

在本研究中,我们在薄膜铌酸锂平台上展示了首个混合集成QFC芯片,实现了电信波段与可见光波段的连接。受益于周期极化微环谐振腔,其归一化转换效率高达386,000 %/W,使得所需泵浦功率仅为360 µW,比传统直波导方案低两个数量级以上。通过向芯片注入电流,我们实现了片上量子效率57%以及约7k次/秒的噪声计数。

这种电泵浦、集成化且具备可扩展性的QFC芯片将显著推动量子网络的集成与芯片级量子光学系统的发展。


6寸X切Z切掺镁薄膜铌酸锂晶圆 ,厚膜 3um 5um 和 薄膜 100-600nm

超高均匀度Range--60A


#2:a向 bto外延片

2寸 外延 a-向 bto(300nm或者500nm,或者定制)-sto 8nm(可定制)- 2um Sio2(可定制) -Si(可定制)

#3:C向 bto外延片

2寸 外延 c-向 bto(150nm或者300nm,或者定制)-sto 8nm(可定制)- 2um Sio2(可定制) -Si(可定制)

#离子注入铒代工

#6寸DUV步进式光刻代工,最小线宽180nm,超高性价比,可以只曝光

#快速氮化硅硅光铌酸锂流片 #高性价比 #低成本

#提供8寸 8umSiO2热氧片,6寸15um热氧片 10um热氧片 8寸10um热氧片

室温低损伤@GCIB抛光代工@束斑小(4-5mm)更均匀

#降低硬质材料化合物晶圆等绝大多数材料的表面粗糙度,比如金刚石 ,磷化铟,砷化镓,碳化硅

#提高复合衬底和镀膜膜层的器件层膜厚均匀性,

比如SOI LNOI  LTOI SICOI 等 SMARTCUT得到的薄膜 

或者镀膜所得到的膜层 ,比如镀了一层氮化硅,但是由于是cvd镀膜所得到的,表面的膜厚精度很差,粗糙度很差,可以通过粗糙度初步降低粗糙度,然后通过GCIB团簇离子束抛光来修整整面的膜厚均匀性 到0.5%以下举例:

未经过Trimming 工艺的 6寸LN/LTOI晶圆 数据:

Range:100-200A

经过Trimming 工艺的 6寸LN/LTOI晶圆 数据:

Range:60A以内

划重点--销售晶圆和加工
SOI晶圆:--220nm薄膜/ 3um厚膜-3umSIO2-675um

ALOOI晶圆;--氧化铝薄膜晶圆,键合工艺和镀膜工艺

TAOOI晶圆--氧化钽薄膜晶圆,镀膜工艺

SINOI晶圆--超低损耗氮化硅薄膜晶圆,210nm-300nm-400nm-800nm

SICOI晶圆;新型量子光学平台500nm-700nm-1um

8寸LTOI晶圆批量供应;铌酸锂的有力的竞争对手,薄膜钽酸锂晶300600

6寸X切Z切掺镁薄膜铌酸锂晶圆 ,厚膜 3um 5um 和 薄膜 100-600nm

8寸LNOI晶圆;8寸LNOI助力更大规模薄膜铌酸锂产品量产

LN/LT-SOI/Si/SIN  W2W&D2W异质集成

流片: 6寸 氮化硅 铌酸锂 硅光 超高性价比流片, 1个BLOCK的价格买一整片晶圆

划重点--全国产-超高性价比-6 寸硅光-氮化硅-铌酸锂流片白皮书

我们为客户提供晶圆(硅晶圆,玻璃晶圆,SOI晶圆,GaAs,蓝宝石,碳化硅(导电,非绝缘),Ga2O3,金刚石,GaN(外延片/衬底)),镀膜(PVD,cvd,Ald,PLD)和材料(Au Cu Ag Pt Al Cr Ti Ni Sio2 Tio2 Ti3O5,Ta2O5,ZrO2,TiN,ALN,ZnO,HfO2。。更多材料),键合(石英石英键合,蓝宝石蓝宝石键合)光刻,高精度掩模版,外延,掺杂,电子束光刻等产品及加工服务(请找小编领取我们晶圆标品库存列表,为您的科学实验加速。

请联系小编免费获取原文

图片
文章名:Electrically pumped ultra-efficient quantum frequency conversion on thin film lithium niobate chip
作者:Xina Wang,1, 2, ∗ Xu-Feng Jiao,1, 2, 3, ∗ Bo Cao,Yang Liu,2, 3 Xiu-Ping

Xie,2, 3 Ming-Yang Zheng,2, 3 Qiang Zhang,1, 2, 3 and Jian-Wei Pan1, 3

单位:

1 Hefei National Research Center for Physical Sciences at the Microscale and School of Physical Sciences,University of Science and Technology of China, Hefei, Anhui 230026, China

2 Jinan Institute of Quantum Technology and CAS Center for Excellence in Quantum Information and Quantum Physics,University of Science and Technology of China, Jinan, 250101, China

3 Hefei National Laboratory, University of Science andTechnology of China, Hefei, Anhui 230088, China

I. 引言

量子频率转换(Quantum Frequency Conversion, QFC)能够在保持光子量子统计特性的同时,实现光子频率的相干转换,是量子科学与技术中实现波长兼容的关键技术 [1,2]。这一能力已被广泛用于解决不同量子系统之间的关键频率失配问题,包括量子存储器 [3–10]、单光子源 [11–15]、基于光纤的量子网络 [16–21],以及基于卫星或无人机的自由空间量子通信系统 [22],从而推动了量子网络的发展。

此外,基于QFC的光子探测与干涉也在多个领域展现出广泛应用,包括量子密钥分发 [23]、单光子激光雷达与成像 [24–26],以及天体物理干涉测量 [27–30]。

在过去几十年中,QFC主要通过体晶以及弱约束波导结构中的和频产生(Sum-Frequency Generation, SFG)与差频产生(Difference-Frequency Generation, DFG)过程来实现 [3–21, 23–32]。近年来,薄膜铌酸锂(Thin-Film Lithium Niobate, TFLN)平台因其优异的光学非线性、灵活的铁电畴工程能力以及强光学约束性能,成为片上QFC实现的有力候选 [33,34]。然而,目前基于TFLN的系统通常依赖于光泵浦架构,需要外部体积庞大的激光器,这不仅带来尺寸上的限制,还在可扩展性上存在瓶颈 [35–38]。为克服这一挑战,将泵浦激光器与TFLN芯片集成的电泵浦方案提供了一条极具潜力的途径。

然而,典型的激光芯片输出功率仅为数毫瓦至数十毫瓦,而传统QFC通常需要数百毫瓦级别的泵浦功率 [3–21, 23–37]。更为重要的是,随着量子网络的发展,迫切需要片上多通道QFC来实现不同量子系统的互联与多重操控,如图1所示。要实现这一目标,每通道的泵浦功率必须降低到毫瓦甚至亚毫瓦量级。因此,发展一种电泵浦的超高效QFC方案已成为一个紧迫且关键的挑战。

图 1. 集成 QFC 芯片的示意图,用于处理多种量子系统,包括电信光纤、单光子源、量子存储器、单光子探测以及片上量子态操控。

在本工作中,我们展示了一种基于TFLN芯片上周期极化铌酸锂(PPLN)微环谐振器(Microring Resonator, MRR)的腔增强QFC过程,并采用混合集成激光芯片作为泵浦源。该器件实现了高达 386,000 %/W 的超高归一化转换效率,使得所需泵浦功率低至 360 µW。因此,QFC可以通过片上分布式反馈(DFB)激光芯片泵浦来实现,具备同时支持多通道QFC的能力。实验结果显示,我们实现了 57% 的量子效率 和约 7k cps 的噪声计数率,证明了在单光子水平下于电信波段与可见光波段之间实现片上QFC的可行性。

II. 方法与设计

本节介绍集成量子频率转换(QFC)芯片的设计与方法,其目标是利用单频 1064 nm 泵浦激光实现 1550 nm 信号光与 630 nm 可见光之间的频率转换,如图 2(b) 所示。分布式反馈(DFB)激光芯片通过边缘耦合的方式与TFLN芯片相连,其输出光高效耦合进入波导作为泵浦光源。方向耦合器(DC)将信号光与泵浦光高效地耦合进微环谐振器(MRR)。周期极化的微环谐振器作为核心器件,通过 type-0 准相位匹配(QPM) 和 三重共振 来实现高效的非线性频率转换。随后,设计了一个和频(SF)传输波导,以优化和频光的输出。接下来,我们将详细阐述 PPLN MRR 非线性原理、三重共振 MRR 的设计、方向耦合器以及 SF 传输波导的实现。

该 QFC 芯片基于 z-cut TFLN 晶圆制备,结构包括 600 nm 厚 MgO 掺杂铌酸锂层 和 2 µm 厚埋氧化硅(SiO₂)层,底层为硅衬底。我们将 1550 nm 信号光、1064 nm 泵浦光以及 631 nm 和频光 配置在准 TM 基模中,以充分利用有效非线性系数 d33。值得注意的是,采用 MgO 掺杂 TFLN 有助于抑制由光折变效应、热效应以及 Kerr 非线性在高品质因子(Q-factor)谐振腔中引起的不良动态效应,从而显著提高 MRR 的稳定性。

在本工作中,我们对 MRR 的设计与以往研究存在显著差异。具体而言,我们选择 双滑轮式(double-pulley)加-丢设计(add-drop),而非传统的全通型(all-pass)结构,以适应小失谐泵浦方案。在先前的研究 [38] 中,研究人员采用与信号光存在 8 nm 失谐的电信波段泵浦光,在全通型结构中实现和频产生。然而,这种方法会引入显著噪声,从而破坏量子态,使得在单光子水平实现 QFC 变得十分困难。通常而言,为了获得低噪声计数率的实用 QFC,三种参与混频的光通常需要具有较大的波长差异,例如本工作展示的 SFG 过程就用于连接 电信光纤与基于金刚石颜色中心的量子存储器

在全通型 MRR 设计 [39,40] 中,尽管可以保证 1550 nm 信号光与 1064 nm 泵浦光在基模下以优化耦合强度高效进入微腔,但在 631 nm 波长处实现高效的 SF 光输出仍然十分具有挑战性。为了解决这一问题,我们采用如图 2(c) 所示的 双滑轮加-丢设计。该结构允许针对三种混频波长进行独立设计,确保每个波长均能实现高效耦合,并最大限度地减少不同模式间的干扰。在该设计中,信号光与泵浦光通过耦合器 A 注入微环谐振器,而生成的 SF 光则通过耦合器 B 输出。该“解耦”式设计虽然引入了额外的耦合损耗,并在一定程度上降低了 MRR 的 Q 因子,但却显著提升了 QFC 芯片实用化的可行性。

A. PPLN 微环谐振腔(MRR)的原理

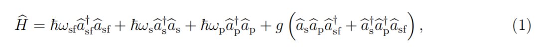
量子频率转换(QFC)过程的哈密顿量可以表示为:

其中 a^sa^p 和 a^sf 分别表示信号、泵浦和斯托克斯(SF)模式的湮灭算符。gg 是非线性光子-光子耦合强度,表示为:
其中,deff 表示有效的非线性系数,ζ 是模式重叠因子,Veff 表示有效模式体积,mj(j = sf, s, p)对应腔模的方位模式数,M 表示方位极化周期。当 msf − ms − mp − M = 0 时,PPLN MRR 中实现了准相位匹配。根据理论模型 [39],双滑轮加扣 MRR 的最大转换效率可以表示为
其中,rsf = κ²_sf, B / (αL + κ²_sf, A) 和 rs = κ²_s, A / (αL + κ²_s, B) 量化了耦合强度与内部损耗的比率。κ²_sf, A 和 κ²_sf, B 分别是 SF 光在耦合器 A 和 B 处的耦合强度。κ²_s, A 和 κ²_s, B 分别是信号光在耦合器 A 和 B 处的耦合强度。此外,α 和 L 分别表示传播损耗和微环的周长。
从公式(3)可以看出,耦合器中的耦合强度和腔内的内部损耗直接决定了频率转换的效率。信号光有效耦合到 MRR 中,并从 MRR 中提取和频光,可以提高整体转换效率。然而,这种方法会降低谐振腔的固有 Q 因子,并不可避免地增加所需的泵浦功率。因此,必须在转换效率和泵浦功率之间找到一个平衡。在我们的设计中,我们首先确保信号光和泵浦光有效耦合到 MRR 的基模中。然后,我们调整耦合器 A 和 B 的耦合强度,以实现高效率的转换,同时泵浦功率小于 1 毫瓦。

B. 三重共振 PPLN 微环谐振器

在本节中,我们将详细介绍三重共振 PPLN 微环谐振器的设计。为了实现高效率的 QFC,并且使用亚毫瓦级的泵浦功率,我们仔细设计了微环谐振器中的耦合器 A 和 B,以下是主要参数:薄膜厚度为 600 nm,刻蚀深度为 420 nm,微环波导宽度为 1.73 µm,微环半径为 74 µm。当实现三重共振时,相关的方位模式数为 ms = 550,mp = 875,msf = 1584。相位匹配条件满足 M = msf − ms − mp = 159。对于总波导与微环之间的相位匹配,需要满足折射率匹配关系:nring · (R+wring/4) = nwg · (R+ gap + wring/2 + wwg/2),其中 nring 和 nwg 分别表示总波导和微环模式的有效折射率,wwg 和 wring 分别是总波导和微环的宽度,R 是微环谐振器的半径,gap 是微环与总波导之间的距离【40】。

我们使用了 3D 有限元模拟来优化耦合器的设计(详细信息见补充材料)。在耦合器 A 中,wwg 和 gap 的设计分别为 600 nm 和 700 nm。而在耦合器 B 中,wwg 和 gap 的设计分别为 300 nm 和 390 nm。相应地,耦合器 A 和 B 上和频光的耦合强度分别为 κ²_sf, A ∼ 0.005 和 κ²_sf, B ∼ 0.05,而信号光的耦合强度分别为 κ²_s, A ∼ 0.03 和 κ²_s, B ∼ 0.004。考虑到典型的传播损耗 α ∼ 0.2 dB/cm 和在耦合器 A 和 B 处信号与和频光的模拟耦合强度,理论上的最大转换效率估计为 ∼ 73%,这可以通过约 100 µW 的泵浦功率实现,足以满足多通道片上 QFC 的需求。

C. 方向耦合器和和频光传输

为了高效地将 1550 nm 和 1064 nm 波段的光耦合到 PPLN 微环谐振器中并收集产生的 631 nm 和频光,我们设计了一个波长分复用器和低损耗的和频光传输光路,如图 2(b) 所示。信号光和泵浦光束通过一个由两个宽度为 0.75 µm、间隙为 0.9 µm 的相同直线波导组成的方向耦合器(DC)组合。

此外,和频光的输出模式必须转化为低损耗的基模,并改变传输方向以便后续操作。我们采用了一个急剧的锥形结构,该结构将波导宽度从 300 nm 快速扩展到 950 nm,有效避免了模式混合,同时保持 TM0 模式。通过优化的锥形长度为 4 µm,模式串扰损耗最小化为 0.24 dB。然后,采用可变曲率的欧拉弯曲波导来旋转和频光的传输方向,而不会引入过多的损耗和模式串扰【41】。欧拉弯曲通过其最大和最小曲率半径定义,分别表示为 Rmax 和 Rmin。有效半径 Reff 定义为覆盖相同区域的 90° 弧的半径。对于 631 nm 的和频光波长和 950 nm 的波导宽度,优化后的参数为:Rmax = 300 µm,Rmin = 28.5 µm,Reff = 50 µm。模拟结果表明,欧拉弯曲波导实现了最小的模式损耗 0.01 dB,从而实现了高效的光传输(详细信息见补充材料)。

III. 结果与讨论

为了构建如图 2(a) 所示的电泵浦 QFC,我们使用对接耦合技术将单模 DFB 激光器芯片与 TFLN 光子电路集成【42–44】。如图 2(b) 所示,这种混合集成方案能够有效地实现组件之间的光模式传输,耦合效率约为 20%。DFB 激光器发射水平偏振的泵浦光,波长约为 1064 nm,具有 85.5 pm/°C 的线性温度依赖性移位,这使得通过热调节实现精确的波长调谐成为可能。这一点至关重要,因为微环谐振器(MRR)表现出 GHz 级别的窄共振峰。在考虑到偏振模式不匹配的情况下,激光器芯片旋转 90°,以确保与 TFLN 芯片的高效耦合。MRR 的周期性极化通过外部电场极化方法实现【37】。随后,采用电子束光刻(EBL)和感应耦合等离子体(ICP)刻蚀工艺制造波导结构,结构的扫描电子显微镜(SEM)图像如图 2(d) 所示。

图 2. 在 TFLN 平台上电泵浦 QFC 的表征。(a) DFB 激光器和 TFLN 芯片的混合集成照片。(b) 集成 QFC 芯片的示意设计图。DC:方向耦合器;PPLN MRR:周期性极化铌酸锂微环谐振器;SF:和频。(c) 双滑轮加扣谐振器结构的示意图。(d) 扫描电子显微镜 (SEM) 图像展示了 TFLN 芯片的整体概况,并细节展示了方向耦合器和耦合器 A。

A. PPLN 微环谐振器和方向耦合器的表征

为了测量三个频率的 Q 因子,设计了一种专用方案,在同一芯片上不包含和频光传输路径。通过分别通过耦合器 A 在泵浦光和信号光波段注入可调单频激光,并通过耦合器 B 在和频光波段注入可调激光,对制造的 PPLN 微环谐振器的性能进行表征。测试芯片上的耦合器 B,其输入和输出端口的直线波导与总波导的宽度相同,均为 300 nm。

信号光、泵浦光和和频光的共振光谱如图 3(a) 所示。所有三个波长均工作在过耦合模式,信号光、泵浦光和和频光的内在 Q 因子分别计算为 Qs,0 = 1.01 × 10⁶、Qp,0 = 3.29 × 10⁶ 和 Qsf,0 = 8.93 × 10⁵,而加载 Q 因子分别为 Qs,l = 1.46 × 10⁵、Qp,l = 5.26 × 10⁵ 和 Qsf,l = 1.64 × 10⁵。信号光和泵浦光的内在 Q 因子由腔内传播损耗和耦合器 B 中的耦合损耗决定,而和频光的内在 Q 因子则由腔内传播损耗和耦合器 A 中的耦合损耗决定。使用由公式(3)导出的表达式 ηmax = (1 − Qs,l / Qs,0)(1 − Qsf,l / Qsf,0),PPLN 微环谐振器的最大转换效率计算为 ∼ 70%,与理论设计表现出良好的一致性。

图 3. (a) 信号光、泵浦光和和频光的共振光谱。(b) 不同信号波长下方向耦合器的测量和模拟耦合效率。

此外,还制作了具有相同参数的独立方向耦合器结构来表征其性能。图 3(b) 显示了信号光的模拟和测量波长依赖的耦合效率,定义为从输入波导传输到邻近波导的光功率的比例。在 450 µm 长的方向耦合器中,耦合效率在 1533 nm 处达到 ∼ 98%,这是我们集成 QFC 芯片的 QPM 波长。泵浦光的耦合损耗也进行了类似的表征,测得为 ∼ 1.2%。信号光和泵浦光束有效地组合在一起,并具有较小的插入损耗。

B. 集成 QFC 芯片的表征

用于表征集成 QFC 芯片的实验设置如图 4(a) 所示。可变光衰减器 (VOA) 用于调节信号的功率。偏振控制器 (PC) 用于在通过带有模式场直径为 2.5±0.5 µm 的透镜光纤耦合到波导之前,调整信号光的偏振。双端耦合测量显示,信号在透镜光纤与 TFLN 芯片之间的耦合效率约为 30%。约 628 nm 的和频光通过非球面透镜 (AL) 收集,经过空间滤波系统 (Filters),然后通过功率计进行检测。1064 nm 左右的 DFB 激光器的波长通过高精度温控模块进行精细调谐,以与腔体共振对准,确保泵浦光在腔内强耦合并稳定积累。然后,扫描信号波长在 1533 nm 附近,并记录收集的和频光的峰值强度。TFLN 芯片的温度设定为 40.5°C,并精细调节至约 0.02 K 的精度,以补偿由于热光效应和光学光致折射效应引起的共振轻微偏移,同时调整泵浦功率。最后,关闭信号光,并将输出光子过滤后耦合到多模光纤中,再通过硅单光子雪崩二极管 (SPAD) 检测。在考虑 SPAD 检测效率、背景噪声和自由空间光学中的传输损耗后,计算得到片上噪声光子计数。

图4. (a) 测量QFC芯片量子效率和噪声的实验设置。
VOA:可变光学衰减器;PC:偏振控制器;TEC:热电冷却器;AL:非球面镜头;滤光器:包括600 nm长通滤光器、800 nm短通滤光器和4 nm带通滤光器;PM:功率计;FC:光纤耦合器;SPAD:硅单光子雪崩光电二极管;LF:带透镜的光纤。
(b) 量子转换效率(蓝色)和芯片噪声(红色)与泵浦功率的关系。
(c) QFC芯片的噪声谱。虚线表示非线性噪声的包络线。

图 4(b) 显示了我们 QFC 芯片的量子效率 (QE) 和片上噪声随泵浦功率的变化。量子效率 η 计算为 η = Psfλsf / Psλs,其中 Ps 是芯片上的耦合信号功率(约 20 nW),Psf 是生成的和频光的输出功率。根据拟合曲线,最大量子效率出现在 360 µW 的泵浦功率下,对应的归一化转换效率为 386,000 %/W。因此,片上最大量子效率为 57%,噪声计数为约 7k cps。测得的片上量子效率与理论量子效率之间的差异归因于多个因素,包括方向耦合器引入的信号损耗、信号光耦合到高阶腔模式以及和频光的传输和收集损耗。从模拟和实验结果得到的最大量子效率对应的泵浦功率非常接近。理论上,泵浦功率与信号、泵浦和和频光的内在 Q 因子乘积成反比【39】。因此,观察到的差异可能源于设计和制造参数之间的差异,包括传播损耗以及耦合器 A 和 B 处的耦合强度。

当前的芯片上的量子效率(QE)与传统的直波导方案[20, 21, 32]相当,并且与之前基于PPLN MRR的工作相比,噪声计数减少了两个数量级[38],确保了高性能单光子QFC的实现。此外,考虑到DFB芯片的输出功率和DFB与TFLN芯片之间的耦合效率,我们的设计可以支持超过10个通道的QFC。通过优化TFLN芯片输入端口的耦合设计,未来的实现可能达到数十个通道。此外,领域工程的灵活性允许定制的相位匹配,有助于实现跨不同量子系统的无缝互联和量子态操作,这些系统在不同波长下运行。

QFC设备的另一个重要特性是噪声光子生成,主要由强泵浦光通过自发拉曼散射(SRS)和自发参数下转换(SPDC)过程引起。此外,泵浦激光的二次谐波生成(SHG)诱发的SPDC和SRS过程也可能贡献不可忽视的噪声光子。为了进一步分析生成机制,噪声光子被耦合到多模光纤中,然后送到光谱仪。正如图4(c)所示,光谱中观察到明显的噪声峰值,与PPLN MRR的共振峰一致。尽管SRS和SPDC过程通常在SFG带宽内表现出平坦的光谱特征,在腔体输出处产生均匀强度的峰值,但图4(c)中显示的噪声峰值强度存在显著变化。这表明噪声主要来源于在信号带内生成的光子,这些光子随后通过SFG转化为SF带光子。此外,值得注意的是,PPLN MRR能够显著抑制芯片上的非线性噪声,这是与传统QFC设备相比的一个独特特点。

四、结论

通过将DFB激光器与TFLN芯片集成,我们成功开发了一款电泵浦的集成化且可扩展的QFC芯片,具有紧凑的混合平台(12 × 12 mm²)。作为实现混合集成的关键元素,PPLN MRR的超高标准化转换效率386,000 %/W确保了每个通道仅需360 µW的超低泵浦功率。通过向芯片注入电流,电信带的单光子被转换到可见光带,以匹配基于钻石色心的量子存储器。实现了57%的芯片量子效率和约7k cps的噪声计数。这样的集成化且可扩展的QFC芯片展现了同时支持多通道QFC的能力,这将显著推动量子网络的集成以及芯片级量子光学系统的发展,如图(1)所示。

为了满足未来量子科学和技术的需求,芯片上的多通道QFC成为一个必要的要求,尤其是对于多模态和多节点量子中继器以及分布式量子计算。特别是,当与芯片上的量子态操控和单光子探测集成时,完全芯片集成的量子芯片将引领量子技术的飞跃,深刻推进量子通信、量子计算和量子计量学的发展。


关于我们:

OMeda成立于2021年,由3名在微纳加工行业拥有超过7年经验的工艺,项目人员创立。目前拥有员工15人,在微纳加工(涂层、光刻、蚀刻、双光子印刷、键合)等领域拥有丰富的经验。 同时,我们支持4/6/8英寸晶圆的纳米加工。 部分设备和工艺支持12英寸晶圆工艺。针对MEMS传感器、柔性传感器、微流控、微纳光学等行业。

中国(上海)自由贸易试验区临港新片区业盛路188号450室 电话:+86 188 233 40140 邮箱:jing.chen@omeda-optics.com

来源:OMeda

关于我们

OMeda(上海奥麦达微)成立于2021年,由3名在微纳加工行业拥有超过7年经验的工艺,项目人员创立。在微纳加工(镀膜、光刻、蚀刻、双光子打印、键合,键合)等工艺拥有丰富的经验。 同时,我们支持4/6/8英寸晶圆的纳米加工。部分设备和工艺支持12英寸晶圆工艺。针对MEMS传感器、柔性传感器、微流控、微纳光学,激光器,光子集成电路,Micro LED,功率器件等行业。

姓名:*
邮件:*
公司名称:
电话:*
您的需求: