#薄膜铌酸锂 #陀螺仪 #氮化硅陀螺
摘要:本研究基于薄膜铌酸锂(TFLN)平台,成功开发了一款在C波段工作、多功能多通道光子集成芯片。该芯片尺寸仅为1.5 cm × 0.47 cm,集成了23个功能器件,如多模干涉耦合器、光栅耦合器、模式点转换器、相位调制器和光电探测器,这些器件通过垂直耦合进行集成。芯片每个通道的损耗小于17.5 dB,偏振消光比大于29 dB,三个位点的调制效率大于4.2 V·cm。该TFLN芯片可用于替代多轴光学陀螺仪中的一些光纤器件,显著提高光子链路的紧凑性并降低成本。为了进行应用验证,对器件进行了光耦合和电气封装,并通过连接三轴干涉光学陀螺仪系统(7200秒数据,0.1 Hz采样频率,偏差不稳定性分别为0.041°/h、0.03°/h和0.022°/h)进行了精密测试,并测量了地球的自转速度。本文为惯性传感器多功能光子集成芯片的开发提供了一个新的概念,展示了精密测量中核心器件小型化和集成化的潜力。
文章名:Thin-film lithium niobate multi-channel multifunctional photonic integrated chip for interferometric optical gyroscope作者:XINYU LI,1 、WENXUAN PEI,1 、YANG LU,1 WENTAO LI,1、ANXU HUANG,1 HONGCHEN JIAO,1,2 DI FENG,1,3、ZHEN ZHOU,1,4 AND LISHUANG FENG1,51School of Instrumentation and Optoelectronics Engineering, Beihang University, Beijing 100191, China
#0:10mm-10mmsto衬底-bto薄膜(300nm厚度可定制)
#1:sto外延片
2寸 外延 sto 2-20nm(可定制)- 2um Sio2(可定制) -Si(可定制)
#2:a向 bto外延片
2寸 外延 a-向 bto(300nm或者500nm,或者定制)-sto 8nm(可定制)- 2um Sio2(可定制) -Si(可定制)
#3:C向 bto外延片
2寸 外延 c-向 bto(150nm或者300nm,或者定制)-sto 8nm(可定制)- 2um Sio2(可定制) -Si(可定制)
#离子注入铒代工
#6寸DUV步进式光刻代工,最小线宽180nm,超高性价比,可以只曝光
#快速氮化硅硅光铌酸锂流片 #高性价比 #低成本
#提供8寸 8umSiO2热氧片,6寸15um热氧片 10um热氧片 8寸10um热氧片
室温低损伤@GCIB抛光代工@束斑小(4-5mm)更均匀
#降低硬质材料化合物晶圆等绝大多数材料的表面粗糙度,比如金刚石 ,磷化铟,砷化镓,碳化硅
#提高复合衬底和镀膜膜层的器件层膜厚均匀性,
比如SOI LNOI LTOI SICOI 等 SMARTCUT得到的薄膜
或者镀膜所得到的膜层 ,比如镀了一层氮化硅,但是由于是cvd镀膜所得到的,表面的膜厚精度很差,粗糙度很差,可以通过粗糙度初步降低粗糙度,然后通过GCIB团簇离子束抛光来修整整面的膜厚均匀性 到0.5%以下举例:
未经过Trimming 工艺的 6寸LN/LTOI晶圆 数据:
Range:100-200A
经过Trimming 工艺的 6寸LN/LTOI晶圆 数据:
Range:60A以内
SOI晶圆:--220nm薄膜/ 3um厚膜-3umSIO2-675umALOOI晶圆;--氧化铝薄膜晶圆,键合工艺和镀膜工艺
TAOOI晶圆--氧化钽薄膜晶圆,镀膜工艺
SINOI晶圆--超低损耗氮化硅薄膜晶圆,210nm-300nm-400nm-800nm
SICOI晶圆;新型量子光学平台500nm-700nm-1um
8寸LTOI晶圆批量供应;铌酸锂的有力的竞争对手,薄膜钽酸锂晶300600
8寸LNOI晶圆;8寸LNOI助力更大规模薄膜铌酸锂产品量产
LN/LT-SOI/Si/SIN W2W&D2W异质集成
流片: 6寸 氮化硅 铌酸锂 硅光 超高性价比流片, 1个BLOCK的价格买一整片晶圆
划重点--全国产-超高性价比-6 寸硅光-氮化硅-铌酸锂流片白皮书
我们为客户提供晶圆(硅晶圆,玻璃晶圆,SOI晶圆,GaAs,蓝宝石,碳化硅(导电,非绝缘),Ga2O3,金刚石,GaN(外延片/衬底)),镀膜(PVD,cvd,Ald,PLD)和材料(Au Cu Ag Pt Al Cr Ti Ni Sio2 Tio2 Ti3O5,Ta2O5,ZrO2,TiN,ALN,ZnO,HfO2。。更多材料),键合(石英石英键合,蓝宝石蓝宝石键合)光刻,高精度掩模版,外延,掺杂,电子束光刻等产品及加工服务(请找小编领取我们晶圆标品库存列表,为您的科学实验加速。
请联系小编免费获取原文

1.引言
光子集成电路(PIC)是第四次科技革命(即半导体技术革命)的核心组件之一,它们为人工智能(AI)和量子计算机等战略性和颠覆性技术提供了核心硬件支持【1-7】。传统的电子芯片依赖于电信号传输数据,电子通过电路运动处理和存储信息。而PIC则利用光子传输数据,实现在速度和效率上的质的飞跃。PIC由波导、调制器、光电探测器等光学组件组成,操作是通过控制光而非电流来实现的。因此,不仅数据传输更快,且因电阻和热量引起的能量损耗也大大减少【8-10】。目前,PIC广泛应用于高速光通信【11,12】、AI处理【13-15】、量子计算【16,17】等领域,这些领域对数据传输速度有极高的要求。在光学传感【18,19】和生物传感【20】领域,光子芯片展现出了在提高检测精度、实时监控和信号质量方面的巨大潜力。
在惯性传感的高灵敏度光学测试系统中,对光学组件的空间、重量和功耗(SWaP)要求不断提高。在使用光学检测方法的惯性元件中,干涉光纤陀螺仪是最成功工业化的产品之一,并且在新产品形式上一直是一个热门的研究话题。基于单个PIC的微型化多通道光纤陀螺仪(集成光学陀螺仪)能够进一步增强SWaP【21,22】。然而,由于所选材料平台或加工技术的限制,尚未有关于在单一芯片上集成各种主动和被动器件的报道。
薄膜铌酸锂(TFLN)凭借其优异的电光特性和覆盖宽广频段的透明窗口,目前是集成光学领域中流行的材料。与大块铌酸锂材料相比,TFLN除了具有明显的小型化和集成特性外,还具备更强的光束束缚能力、功能定制和强大的可重构性【23-27】。它与CMOS工艺兼容,并且能够轻松与SOI、InP、Si3N4等集成光子材料集成【28-30】。近年来,关于TFLN的研究成果在电信领域中屡见不鲜,涵盖了如S弯波导【31】、偏振光束分离器【32,33】、模式点转换器【34】、光栅耦合器【35】等片上被动结构,调制器【36,37】、隔离器【38】、放大器【39,40】等主动结构,以及光频梳【41,42】、量子传感【43】、激光雷达【44,45】和单通道惯性传感【46】等系统。
本文提出了一种基于TFLN平台、在C波段工作并采用多通道PIC的设计方案。芯片尺寸为1.5 cm × 0.47 cm,基于材料的内在特性集成了干涉光学陀螺仪所需的各种被动和主动功能。该芯片包含以下结构:两种类型的功率分配,通过多模干涉(MMI)耦合器、光栅耦合器、模式点转换器(SSC)、相位调制器和光电探测器(PD)芯片,通过垂直耦合集成,共计23个器件。每个通道的损耗小于17.5 dB,偏振消光比(PER)大于29 dB,三个位点的调制效率大于4.2 V·cm。该芯片方案展示了多光子链路集成的紧凑性提高,并保证了工作性能。通过与光电探测器和光纤阵列的空间光耦合以及电气功能所需的焊线,芯片可以升级为多路复用集成光子器件,展示了其强大的可扩展性。为了验证其应用可行性,我们将该器件连接到三轴光纤陀螺仪系统中,替代了传统的离散光纤器件。系统集成效果优于传统的离散器件陀螺仪。通过测试三轴陀螺仪的检测精度,并进一步利用陀螺仪测试地球的自转速度。芯片性能和系统应用测试展示了该器件在光学精密测量系统中的显著应用潜力。
本文提出了一种PIC方案和概念,用于在同一材料平台上多维单片集成各种功能器件。本文对光子芯片链路进行了新的探索,涉及具有不同功能结构的、同一工艺周期准备和大密度集成的光子芯片。基于本工作的研究,我们希望根据不同光学陀螺仪的应用需求定制芯片封装和器件制备。这不仅对惯性器件具有工业化前景,还有助于推动各种光学精密检测系统的升级。
2.整体芯片设计
2.1 芯片整体方案
基于TFLN的多通道可重复使用芯片是在X型LNOI晶圆上制备的(下覆硅氧化层和硅层的厚度分别为约3.7 µm和500 µm),TFLN的厚度为300 nm。首先,芯片的铌酸锂薄膜波导结构经过深紫外光刻(DUV)和反应离子刻蚀(RIE)处理,表面清洗和干燥。通过等离子体增强化学气相沉积(PECVD)在波导表面生长了约500 nm厚的硅氧化层,作为波导和电极之间的缓冲层,随后制备了电极结构。最后,沉积了约3 µm厚的硅二氧化物作为上覆层。在加工后,对芯片进行退火处理,以降低芯片的光学内在损耗和光致变效应。
通过溅射、图形开发和RIE(C3F8, Ar+)制备了调制区电极结构(Au,约400 nm)。三个调制单元所需的电极垫被放置在统一规划的位置,以便设备的电气封装。在电极制备过程中,对硅氧化层上的不同位置进行了反复加工(掩模结构准备、光刻、干法刻蚀、清洗等)。形成了垂直阶梯式结构,确保电极可以从原始高度爬升到硅氧化上覆层的顶部,从而实现电极垫位置的统一规划。晶圆分离后,每个芯片块的输入和输出端面都经过了8°的斜磨和抛光处理。
芯片上用于光学互连的基本波导设计为C波段的基本模波导(仅支持横电模式,TE0)。波导的横截面结构如图1(a)所示。TFLN的脊层(TFLN rib)和板层(TFLN slab)厚度比Hr/Hs为150 nm/150 nm,波导的侧壁倾斜角θr约为65°。波导的设计考虑了以下几个方面:首先是与应用系统的工作波长范围匹配,确保在以1550 nm为中心的某一波长范围内仅传输横电模式(TE0),满足宽谱或窄谱光源的传输条件;其次是最小化高阶模的激发,避免电光性能在电极区的衰减;最后,纯基本模的传输能为芯片提供出色的偏振特性,满足不同应用场景下多功能器件对高偏振消光比的要求。使用有限差分(FD)方法对特征模进行仿真,结果如图1(b)所示。选择了满足这些要求的小工艺公差范围内的波导参数。最终,设计所需的波导顶部宽度Wr约为800 nm,通过简单的几何计算得到了波导的底部宽度。使用S弯波导在TFLN中实现不同位置的光学互连。由于TFLN材料的各向异性,需要对S弯波导的弯曲半径进行仿真设计。计算了不同弯曲半径下TE0和TM0模传输损耗以及偏振串扰水平(单个S弯中的纯TE0传输模式混合)。结果如图1(c)和(b)所示。当弯曲半径≥100 µm时,S弯波导具有所需的偏振保持能力,因此确定了S弯波导的半径选择。

图1. 光学波导结构与参数设计:(a) TFLN脊波导,具有两层,其中脊层和板层的厚度相等,导致波导侧壁具有一定的倾斜角。波导的上下包层为硅氧化物,基底层为硅,金属电极被置于波导结构的某些位置上。(b) 在波导中模拟的内在传输模式计算结果,使用波导顶部宽度Wr作为自变量。在Wr < 1 µm的范围内,仅传输TE0模式。此外,考虑到微纳加工公差对波导损耗、偏振等特性的影响,选择了Wr为800 nm。(c) 在不同弯曲半径下,当弯曲半径大于100 µm时,两种模式的传输损耗趋于一致。(d) 在不同弯曲半径下将纯TE0模式引入S弯波导。通过收集输出端的TM0模式分量大小,计算了模式混合度,反映了偏振保持能力。当弯曲半径大于100 µm时,偏振保持能力约为45 dB。
图2. TFLN多路复用芯片的结构与功能:(a) 1 × 3 MMI的扫描电子显微镜(SEM)图像,显示三个输出端口。(b.1) 使用大视场显微镜观察的光栅耦合器和基于金属的散射吸收结构的整体结构。(b.2) 光栅耦合器的SEM图像,显示多层弧形波导结构。(c) 1 × 2 MMI的SEM图像。(d.1–3) 双臂相位调制器结构,包括1 × 2 MMI光束分裂结构、推拉电极结构和多层爬升结构用于电极垫位置管理,使用大视场显微镜观察。(e) 模式点转换器的SEM图像,显示末端的渐缩波导结构。
图2展示了TFLN芯片的整体工作方案及其各种功能结构的分布。在正常工作状态下,光从输入端口SSC进入芯片,经过1×3 MMI耦合器、第一1×2 MMI耦合器、第二1×2 MMI耦合器、相位调制器,最终从输出端口SSC输出到后续系统。同样,从后续系统返回的光通过第一个1×2 MMI的另一个端口输出到光栅耦合器,然后可以传输到光电探测器芯片,光电探测器芯片与TFLN芯片粘接。加工后,得到的芯片实际图像显示了每个功能结构的加工结果,见图2(a)–(e)。
2.2 光学组件相关性
TFLN芯片中光学传输所需的被动组件包括MMI耦合器、光栅耦合器和模式点转换器。MMI耦合器的功能包括输入光的功率分配以及返回光功率与后续系统的耦合。
图3. 功率分配和耦合的MMI结构:(a) TFLN芯片中的两种MMI结构(及对应的模式场传输),设计为轴对称结构,以确保光功率的均匀分配。(b) 和 (c) 1 × 2 MMI结构参数的模拟结果。多模干涉区域的长度 × 宽度的最佳参数为65 µm × 10 µm。(d) 和 (e) 1 × 3 MMI结构参数的模拟结果。多模干涉区域的长度 × 宽度的最佳参数为94 µm × 15 µm。
本研究中使用的1 × 2和1 × 3 MMI的结构与模式传输如图3(a)所示。最重要的性能参数是插入损耗和分裂比。由于本研究中使用的MMI芯片是对称的,因此可以保证分裂比。利用有限差分时域(FDTD)方法,对MMI结构中多模干涉区域的长度和宽度及其对结构插入损耗的影响进行了模拟和计算。确定MMI结构设计参数的结果如图3(b)–(e)所示。
光栅耦合器用于将返回光输出到光电探测器。其整体结构呈扇形,由扇形锥束扩展器和基于脊波导的亚波长布拉格光栅组成。输入基本模式时的特征结构和模式场传输如图4(a)所示。影响性能的参数包括周期、占空比和光栅周期数。通过数值模拟,我们确定了光栅周期范围在0.9–1 µm之间,如图4(b)所示。在此时,耦合到芯片上表面的耦合效率接近50%,这基本上是没有反射结构设计的光栅耦合器能够达到的极限值。随后对占空比进行了优化,图4(c)展示了模拟结果。当占空比在0到1的较大范围内变化时,耦合效率仅在一个小范围内变化。光栅耦合器的耦合效率随着光栅周期数的增加而逐渐增加,当周期数超过某个数量时,耦合效率几乎收敛。基于上述模拟分析,选择了具有良好公差的设计参数,具体数值如图4所示。
图4. 用于垂直耦合的光栅耦合器结构:(a) 光栅耦合器的三维结构和基本模式传输的光场分布;定义了特征参数,其中Wp为光栅周期,Wg为波导的底部宽度,占空比定义为(Wp - Wg) / Wp。(b) 光栅周期对光栅耦合器耦合效率的影响的模拟分析,结果显示最佳参数为Wp = 0.97 µm。(c) 光栅占空比对光栅耦合器耦合效率的影响的模拟分析,结果显示最佳参数为占空比 = 0.24。光栅周期数选择为100。
为了实现芯片端口与光纤之间的高效耦合,设计了一个绝热的点尺寸转换器(SSC)。该结构包括TFLN脊层中的渐缩波导和TFLN板层中的三个渐缩波导。整体结构及特征波导宽度参数的定义如图5(a)所示。SSC末端的渐缩宽度是影响模式场扩展的核心结构参数。模拟了该参数对波导和光纤模式的重叠积分值的影响,模拟结果如图5(c)所示。当末端宽度为0.31 µm时,耦合效率达到了最大值0.905,波导模式场直径接近6.5 µm。当波导宽度接近0.31 µm时,模式场直径迅速扩展。优化了板层中三个渐缩波导的长度,以确保在模式场扩展过程中基本模式的高效传输。数值结果如图5(d)–(f)所示。当每个部分的渐缩长度分别为80 µm、200 µm和400 µm时,每个渐缩波导的模式转换效率满足应用需求。图5(b)展示了在最佳参数下SSC中基本模式的模式场传输;模式转换效率高达97%。此外,光纤陀螺仪的混合偏振工作方案对TFLN芯片的偏振保持能力有一定要求。因此,我们使用纯TE0和TM0模式作为输入模式,计算了SSC结构输出的两种模式与不同模式场直径的偏振保持光纤之间的耦合效率,以及SSC中不同波导横截面下两种模式的有效折射率变化,以表征SSC中的模式混合问题。结果如图5(g)和(h)所示。基于模拟结果,显示了设计的TFLN SSC传输中的不同模式与光纤之间确实存在差异,但该设计在传输过程中具有良好的偏振保持特性。同时,结合光已在TFLN芯片中偏振并保持的事实,可以保证TFLN芯片输出的高PER。经过光纤线圈传输后,由偏振串扰引起的高阶模式光将在通过SSC返回芯片的过程中被滤除,避免了一些光学噪声。

图5. 用于与光纤边缘耦合的点尺寸转换器(SSC)。(a) TFLN芯片中SSC的结构,其中宽度参数W1 = 3.5 µm、W2 = 1.5 µm、W3 = 0.5 µm、W5 = 0.79 µm和W6 = 0.15 µm。这些参数是为在模式场扩展过程中有效匹配模式的有效折射率而选择的。(b) 模式点转换器工作过程中模式传输结果和每个结构突变位置的模式场大小。(c)–(f) 关键结构参数(W4、L1、L2、L3)与SSC性能之间的关系。选择了W4 = −31 µm和L1 = 50 µm。对于L2和L3,随着长度的增加,它们对模式转换效率的影响逐渐接近零。选择L2 = 200 µm和L3 = 400 µm,以避免结构过长,且引入加工散射点导致损耗增加。(g) 在SSC传输后,TE0/TM0与不同模式点直径光纤之间的耦合效率。(h) 在SSC中不同波导接口处TE0/TM0的有效折射率变化。在结构IV中,有效折射率变化小于0.8%,表明具有良好的偏振保持特性。
图6. 光学相位控制的调制器结构:(a) 双臂调制结构和调制区域内波导横截面的示意图。采用了推拉电极结构。调制区域的长度为Lpm = 7500 µm,输出端口间距为Wpm = 500 µm,电极厚度为Hm = 300 nm。根据数值模拟结果,选择了电极间距Wg = 5 µm和电极高度Hg = 500 nm。(b) 电极间距/电极高度与调制效率之间的关系。(c) 电极间距/电极高度与电极对光吸收损耗之间的关系。
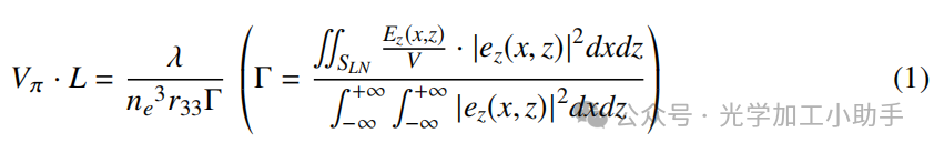
相位调制器选择为双臂同步调制的高互易结构,电极采用推拉结构。图6(a)展示了几何结构及光场和电场的相互作用结果。在双臂调制区域,TFLN波导结构与芯片中的光学波导一致。脊波导侧壁与包层之间的模式重叠以及调制区域内电极的高吸收系数导致一定的光学损耗。因此,应考虑电极参数对调制效率和光学损耗水平的影响,以获得较低损耗水平的相位调制器设计。基于过去的设计经验,在确定一些电极的结构参数后,影响相位调制性能和电极对光吸收损耗水平的最关键参数是电极间距Wg和电极高度位置Hg。采用有限元方法进行模拟,计算结果如图6(b)–(c)所示。调制效率的数值计算基于公式(1):
其中,Vπ是半波电压(对应芯片工作电压值,当光学相位变化为π时),L是调制区域长度。两者的乘积即为调制效率(Vπ·L)。λ是工作波长,r33是电光效应系数,ne是TFLN晶体在z轴方向的折射率。G是TFLN波导中TE0模式的光电场重叠因子,基于波导内电磁场强度的积分和直流电场的强度。
在衡量调制性能和损耗水平后,选择电极间距Wg = 5 µm,电极高度位置Hg = 500 nm。通过数值计算得到的Vπ为5 V,吸收损耗约为0.05 dB/cm。调制区域的总长度Lpm为7500 µm,调制效率约为3.75 V·cm,适用于各种应用场景。调制区域两臂之间的距离Wpm为500 µm,确保了芯片输出端口与光纤阵列的匹配。
光电探测器(PD)芯片(由III-V材料组成)被粘接到TFLN芯片上,以集成检测功能。检测效率不仅与光栅耦合器的设计和加工相关,还与PD在TFLN芯片上的异质集成模式和放置位置有关。这也会影响不同光子链路单元之间光电检测结构接收到的串扰光功率。在光栅耦合器的工作过程中,部分光会散射并漏入上覆层,导致芯片中出现异常的串扰水平。设计了一个空心方形结构,并将其放置在芯片顶层,直接位于光栅耦合器上方。该尺寸与PD芯片的光敏表面尺寸一致。材料为金属,用于吸收由耦合过程引起的杂散光。物理效果示意图见图2(b.1)。
3.实验与分析
3.1. 器件制作与性能测量
使用定制解决方案对TFLN芯片进行封装,可以进一步丰富芯片功能,并实现对其性能参数的全面测试。芯片制作完成后,选择的光电探测器芯片与光栅耦合器对准,然后将PD芯片、端口耦合的光纤阵列和电气线缆连接,并完成其他步骤,最终将芯片封装成一个完整的复合功能器件。定制了一个带有16个引脚的陶瓷外壳,芯片被放置在铝氮化物散热片上并固定在外壳内。光纤阵列与TFLN芯片的输入和输出端口耦合。输入端口与单模光纤(光纤尺寸 = 80/165 µm,模式场 ≈ 6.5 µm)耦合,六个输出端口与偏振保持光纤(光纤尺寸 = 80/165 µm,模式场 ≈ 6.5 µm)耦合。该设备通过金线连接外壳引脚和芯片进行封装。封装后的设备尺寸约为3.6 cm × 1.5 cm × 1 cm。图7(a)展示了封装后的设备内部示意图,图7(b)展示了设备的整体结构。
图7. 定制的多路复用集成光子器件和光学性能测试链接:(a) 封装芯片的结果。(b) 多路复用集成光子器件的实际结构,包括设备主体、输入和输出端口以及耦合的七根光纤。(c) 光学性能测试系统。上部分为每个通道插入损耗和偏振消光比水平的测试链接,下部分为各单元之间回波损耗和串扰水平的测试链接。
设备的光学性能参数(插入损耗、偏振消光比、回波损耗和通道串扰)进行了测试。使用实验室现有的测试设备对设备的光学性能进行了表征。选用工作波段约为1550 nm的放大自发辐射(ASE)光纤激光器作为光源。通过法兰实现光源与设备之间的光学互连。设备的光纤适配器(FC-APC)连接到光功率监测仪和偏振消光比测试仪,并记录了每个端口的相应数据。图7(c)展示了两套测试链接,测试结果总结在表1中。
表1. TFLN芯片的光学性能参数
设备的插入损耗可以分解为以下几个部分:(a) 芯片的波导都是基本模波导。在非偏振光进入芯片后,其他模式光(主要是TM0模式)被耗散,导致大约3 dB的损耗;(b) 1 × 3 MMI耦合器的固有5 dB分裂损耗;(c) 1 × 2 MMI耦合器(共两个)的固有6 dB分裂损耗;(d) 点尺寸转换器(每个通道中有两个)与光纤耦合时约产生1 dB损耗;(e) 其他损耗,包括调制区域内金属对光的吸收损耗、芯片传输过程中产生的损耗、波导表面粗糙度引起的散射损耗等。总的来说,固有的单通道损耗大约为15.5 dB,其他损耗可以归类为附加损耗。测试结果与理论分析一致。
偏振消光比主要受光纤的偏振保持能力的限制,因此偏振消光比不能高于40 dB。测试结果显示,每个端口输出光的偏振消光比相对均匀,反映了芯片的高偏振特性,并证明了波导结构的优异偏振性能。
此外,测试了多路复用芯片各光子链路单元之间的串扰。在测试过程中,使用窄线宽激光器连接设备的六个输出端口。通过测试每个状态下三组光电探测器(PD)的响应变化,获得了三组探测器接收到的串扰强度。光电流信号的I-V转换是通过定制的PCB板实现的,该板包含了放大器的外围电路,转换电阻的电阻值为10 kΩ。使用公式(2)计算了光子链路单元之间的归一化串扰水平(假设PD芯片的响应度相等):
其中,Vc是光电探测器(PD)在某个通道被反向照明时的最大信号幅度响应,Vn是当其他不属于同一光链路的端口被反向照明时,PD的相应信号幅度响应。各通道之间的串扰小于−16 dB,这初步验证了芯片上串扰抑制结构的应用可行性。
接着,测试了三个光子链路单元的调制相关系数。测试链接如图8(a)所示。该设备被构建为一个马赫-曾德尔干涉仪(MZI)以表征电气性能。在设备的输出端口,偏振保持光纤耦合器(X型结构,分裂比为50:50)和光电检测组件(PIN-FET,跨阻增益为1200 kΩ)被熔接。测试光源为窄线宽激光器(约100 Hz)。为了完整表征芯片的半波电压,使用信号发生器(SLGLENT SDG2082X)向推拉电极施加频率为100 kHz的三角波,并持续改变三角波的幅度。使用数字示波器(ROHDE & SCHWARZ RTB2004)记录PIN-FET输出干涉信号的单周期峰峰值的变化。通过将施加电压作为自变量进行拟合,得到了设备的调制曲线和半波电压。
图8. TFLN芯片的相位调制相关测试及结果:(a)MZI调制器用于测试不同工作电压下的干涉状态。(b)蓝点为三个光子链路单元的半波电压测试数据,红色曲线为多项式拟合结果。得到的Vπ分别为5.42、5.46和5.52 V。(c)在不同工作频率下,三个单元的相位调制非线性系数的拟合结果表明,随着工作频率的增加,它们出现了恶化。(d)在不同工作频率下,三个单元的残余强度调制系数的拟合结果表明,它们几乎没有随着工作频率的变化而变化。
通过测试不同工作电压下MZI输出的光强变化,我们通过曲线拟合确定了三个链路的Vπ值,分别为5.42 V、5.46 V和5.52 V。结果如图8(b)所示。此外,使用频率范围为100–1 MHz(三共37个频点)和幅度为1.5×V2π的三角波记录干涉输出波形,并对每个频率下的干涉光输出波形进行了归一化。记录了多个工作频点下的干涉结果。通过拟合计算了芯片中三个光子链路的调制相关系数,获得了相位调制的非线性和残余强度调制系数。电气性能的测试结果使用公式(3)进行了拟合和分析。
其中,V是工作电压,CNL是调制非线性系数,CRIM是残余强度调制系数。总结了在不同调制频率下设备调制系数的变化趋势。这些测试是为了全面评估芯片的电气性能。图8(c)和(d)展示了测试结果。残余强度调制系数未随着工作频率的变化而恶化,始终保持在同一水平。非线性系数在低频带表现出稳定的趋势,而在高频带则迅速恶化。这些现象可以归因于调制带宽的不足,导致在较高工作频率范围内调制线性度保持一致。
3.2. 系统测试
为了验证芯片在惯性传感和光学精密测量系统中的应用可行性,选择了与TFLN芯片结构匹配的三轴光纤陀螺仪作为应用验证的载体平台。三轴光纤陀螺仪是惯性测量单元(IMU)中常见的高精度惯性陀螺仪形式。通过监测系统的准确性和工作状态,可以确定所提出的多路复用PIC方案的应用水平。三轴光纤陀螺仪系统如图9(a)所示。本研究中的TFLN芯片是为干涉型光纤陀螺仪设计的,由于工作原理不同,不能应用于谐振光纤陀螺仪。因此,芯片上未制备TFLN谐振腔(或异质结Si3N4波导谐振腔)。然而,用于干涉型陀螺仪的片上波导线圈的插入损耗通常比外部光纤线圈高一个数量级(≥10 dB),并且由于互易性设计,单层波导线圈无法避免波导交叉结构的出现,这可能导致芯片上的不可控串扰并影响陀螺仪的稳定性。最终,选择外部光纤线圈作为测试系统的敏感单元。三个光子链路单元的输出端口与一个保持偏振的光纤线圈(光纤尺寸为80/135 µm,光纤长度:∼1500 m,外径:∼80 mm,总插入损耗≤1.0 dB,光纤线圈采用十六级对称绕制方法,并经过完整的机械设计和温控设计,使陀螺仪系统的室温偏置稳定性达到0.006 °/h(100s,1σ))进行了融合。公共输入端口连接到ASE光源(Pout = 10 dBm,PER ≤ 0.1 dB,谱宽≈8 nm),构成三轴光纤陀螺仪的光学系统。调制信号的载波添加和光电二极管响应光电流信号的I-V转换(跨阻放大器的电阻值为20 kΩ)通过三轴光纤陀螺仪信号检测PCB板完成,从而构建了三轴光纤陀螺仪的电气检测系统。采用数字开环检测和方波调制解调方法。信号发生器用于输出阶跃波(峰峰值=V2π;周期=1 kHz),并应用于调制器,以补偿现有的寄生角速度(相位差)。通过上位机完成三个陀螺仪单元的输出采集。由于芯片特性,如光源复用和片上多功能集成,系统中光电设备的数量仅为7个(传统的离散设备三轴光纤陀螺仪设备的数量通常为16个或更多)。

图9. 由TFLN芯片组成的惯性传感器设备测试:(a)使用封装设备的三轴光纤陀螺仪。(b)三轴陀螺仪工作状态,显示光路组成、信号调理和数字开环检测的数据采集过程。(c)使用Allan方差求解的三个陀螺仪单元的精度测试结果;随后获得了偏置不稳定性(曲线的斜率为0)。 (d)水平轴从旋转位置与地面轴之间的角度开始,该角度是基于测试地点纬度计算的。蓝点为实验室纬度下地球自转速度的测试结果,红线为理论值,二者几乎一致。
使用数字开环法(方波调制解调)对陀螺仪系统的精度进行了测试。图9(b)显示了三轴陀螺仪系统的测试过程。在测试过程中,当仅将方波信号应用于TFLN芯片时,三个单元的输出波形表明系统出现了附加的角速度,即陀螺仪光路中出现了寄生固有相位差。为了补偿角速度,使用信号发生器同步将锯齿波应用于TFLN芯片(类似于数字闭环反馈过程)。这实现了信号调理,确保陀螺仪的正常运行,并避免在某个角速度方向进入检测死区。选择7200秒的数据(0.1秒采样),并使用数字计算工具得到Allan方差曲线。三个光纤陀螺仪的偏置不稳定度分别为0.022 °/h、0.030 °/h和0.041 °/h。图9(c)显示了由每个光子链路组成的光纤陀螺仪的Allan方差曲线。除了精度测试,还使用构建的光纤陀螺仪测试了地球自转速度,结果如图9(d)所示。通过水平指示器,陀螺仪输出数据在不同偏转角度下被收集和处理,方法是持续改变陀螺仪系统相对于地面轴的偏转角度,然后完成地球自转速度的测量。实验地点位于北纬39°54',测试过程从光纤环轴与地面轴之间的角度为39.9°开始。通过遍历光纤环主轴相对于地面轴的偏转角度,并在每个角度测试精度,绘制出与实验室纬度下地球自转速度投影值变化一致的曲线。这强有力地证明了芯片方案在惯性传感系统中的应用可行性。
4. 结论
本文提出了一种新的TFLN芯片结构方案和高密度多功能片上集成方法,并基于TFLN平台制备了一个多通道集成芯片,具有多功能、高性能和小尺寸的优点。六个通道的插入损耗约为17.5 dB,偏振消光比大于29 dB,三个调制单元的调制效率优于4.2 V·cm。为了验证应用,进行了光耦合和电气封装,以满足惯性传感光纤陀螺仪的应用要求;随后,我们制造了多功能设备。对惯性传感光纤陀螺仪系统的精度进行了测试,计算得到的偏置不稳定度分别为0.022 °/h、0.030 °/h和0.041 °/h。还测试了地球自转速度,从而完成了芯片在光学传感中的应用验证。
未来,可以继续在链路中增加功能设备,并与其他报道的TFLN技术(例如,周期性极化的LN(PPLN),低光学损伤和接近化学计量TFLN)结合。基于日益成熟的晶圆级TFLN光子芯片加工技术、异质集成技术和光电共封装(CPO),将实现基于TFLN的超大规模、多功能光子链路的建设,并实现更高的性能。本文为光学陀螺仪核心器件的微型化、集成化以及后续工程化和产业化提供了革命性的探索,并在片上光学传感多功能芯片的制备中具有一定的前沿探索作用。
本研究中制备的多路复用PIC仍存在一些问题:(a)对于每个单元光子链路,两个通道的光学性能参数一致性需进一步提高,电气性能(调制带宽和调制系数)需优化。这有望提高在各种精密光学测试系统中的应用精度。(b)芯片中的两个1×2 MMI单端口直接连接,可能导致高阶模式在芯片基底中的传播。经过光束分裂/耦合后,光束重新进入波导并与波导中传输的主基模发生干涉。这一过程产生的寄生相位差与直流偏置不同。由于互易性系统的限制,这种寄生相位差很难去除,且陀螺仪系统中的零偏值较大。需要优化芯片内部的杂散光水平。(c)设备连接到光纤陀螺仪后,测试结果揭示了明显的启动时间现象,且系统精度在较小的时间尺度上持续漂移。这一现象是调制器工作点对应的电压响应,随工作时间漂移。可能是由于半导体波导和导电电极之间的被动硅氧化层,导致结电容充放电。TFLN波导的大表面积增加了晶体缺陷,电信号引起的电荷积累以及电光弛豫效应。因此,必须为芯片设计和加工提出新的解决方案来抑制这一现象。上述问题的理论分析和解决方案将深入持续研究,并将在后续论文中发布。