上海奥麦达微电子有限公司

专业高效
微纳加工公司

多层玻璃键合--低损耗石英多层基板和通过铜直接键合实现的基板集成双平面混合耦合器

#玻璃键合 #多层玻璃键合 #石英玻璃键合 #双面混合耦合器

摘要 本文介绍了一种采用铜直接键合方法的熔融石英玻璃(石英)多层基板。通过五层石英层组成的基板集成波导(SIW)两平面混合耦合器在60 GHz频段表现出低损耗特性。石英即使在较高频段也具有低损耗特性,但多层结构的制作存在一定难度。我们提出了一种铜直接键合方法,用以实现低损耗的多层石英基板,并对由五层石英基板组成的直线SIW和两平面混合耦合器进行了表征。直线SIW在57 GHz至64 GHz频段表现出最大0.013 dB/mm的低损耗特性,石英的介电常数为3.75,损耗因子为0.00034,铜的导电率为4.0 × 10⁷ S/m。内层石英基板上的SIW与外部波导之间的插入损耗最大为0.12 dB,频率范围为58 GHz至63 GHz。两平面混合耦合器在低插入损耗1.1 dB的情况下,表现出0.75 dB的低幅度不平衡。这些结果充分表明,使用铜直接键合方法的石英多层基板能够实现低损耗的多层微波组件。由于该制作技术具有可扩展性,且石英层数可以增加,因此可应用于低损耗、体积紧凑的波束转换电路和馈电电路。

关键词 熔融石英玻璃,石英,室温扩散键合,两平面混合耦合器

石英玻璃玻璃 金金 铜铜  室温键合,成熟方案

我们为客户提供晶圆(硅晶圆,玻璃晶圆,SOI晶圆,GaAs,蓝宝石,碳化硅(导电,非绝缘),Ga2O3,金刚石,GaN(外延片/衬底)),镀膜(PVD,cvd,Ald,PLD)和材料(Au Cu Ag Pt Al Cr Ti Ni Sio2 Tio2 Ti3O5,Ta2O5,ZrO2,TiN,ALN,ZnO,HfO2。。更多材料),键合(石英石英键合,蓝宝石蓝宝石键合)光刻,高精度掩模版,外延,掺杂,6寸DUVKRF电子束光刻等产品及加工服务(请找小编领取我们晶圆标品库存列表,为您的科学实验加速。

请联系小编免费获取原文

图片
文章名:Low Loss Quartz Multilayer Substrates and Substrate Integrated Two-Plane Hybrid Couplers Enabled by Copper Direct Bonding
作者:TAKASHI TOMURA 1 (Member, IEEE), JIRO HIROKAWA (Fellow, IEEE), OSAMU KAGAYA  2 (Member, IEEE), NOBUTAKA KIDERA2, DAISUKE YAMANAKA (Member, IEEE), HISAAKI FURUKAWA3, AND KATSUAKI MIYATANI3
单位:

1 Department of Electrical and Electronic Engineering, Institute of Science Tokyo, Tokyo 152-8552, Japan 

2 Materials Integration Laboratories, AGC Inc., Kanagawa 230-0045, Japan 

3 Innovative Technology Laboratories, AGC Inc., Kanagawa 230-0045, Japan

I. 引言
合成熔融石英玻璃(以下简称石英)具有低损耗的电气特性,适用于高效微波组件,如传输线、滤波器、波束转换电路和天线。在传统的PCB工艺中,由于其加工方便(如图案化和孔位制作),有机核心/叠层基板被广泛使用。常见的有机基板包括PPE(聚苯乙烯醚)[1],[2]和PTFE(聚四氟乙烯)[3]。改良的PPE是一种热固性树脂,适用于多层配置,但其损耗大于PTFE。PTFE在这些材料中具有最低的损耗,但由于其是热塑性树脂,因此不适合用于多层结构。PTFE多层基板通常通过使用粘结薄膜来制作,这使得在任何层中实现孔位变得困难。

无机材料也用于实现PCB,包括低温共烧陶瓷(LTCC)[4]和石英。LTCC基板适合用于多层结构,并广泛应用于射频模块和组件。然而,它们在共烧过程中会出现材料收缩,导致容差较低和电导率较差。石英在上述有机和无机材料中具有最低的损耗,是最适合低损耗微波组件的材料。然而,由于石英是无机材料,处理多层PCB时存在许多挑战。

二维波束转换电路[5],[6]通过仅改变输入端口来二维控制波束方向。[6]的作者提出了一种64×64二维巴特勒矩阵,由两平面混合器和交叉耦合器组成[7],能够缩短轴向长度。为了减少传输损耗,使用了空心波导,但这导致了结构庞大和重型。这些二维波束转换电路如果能采用多层石英基板,其体积可以显著缩小,因为石英基板在上述PCB材料中具有低损耗特性。

单层石英组件已经表现出优异的性能,但多层组件由于键合材料或工艺原因,损耗更高、效率较低。单层石英基板的制作技术已被开发出来,例如玻璃通孔(TGV)。许多组件,如传输线[8],[9],[10]、滤波器[11]、耦合器[12]和天线[13],[14],[15],已报道并表现出低损耗和高效率特性。已有若干多层石英基板组件的报道,如滤波器[16]、阵列天线[17]、波导槽阵列天线[18]、雷达MMIC的玻璃封装[19]。然而,由于键合或连接方法,这些组件的传输、插入和辐射损耗低于单层组件。

之前报道的多层石英基板损耗较高,因为在键合和金属层连接时使用了焊料材料。在[18]中,使用焊膏将铜金属化的石英层键合,但焊膏会熔化并出现在波导内,增加了波导的传输损耗。结果,天线增益为30.3 dBi,而理论最大天线增益为33.8 dBi,即天线的总损耗为3.5 dB。在[16]中,使用真空共晶焊接技术将两块石英基板键合,带通滤波器(BPF)的插入损耗为4.0 dB,而类似的PTFE制成的BPF插入损耗较低,为2.0至2.56 dB,如[16]中的表3所示。尽管石英本身具有低损耗特性,但由于焊接材料的损耗较高,焊接过程会增加天线和滤波器的损耗。

我们建议采用直接铜键合技术制作多层石英组件,以实现低损耗的二维馈电电路。直接铜键合无需使用任何焊接材料,如焊料或粘接薄膜。这项技术已被用于空心波导组件的制造,如滤波器[20]和天线[21],[22]。然而,空心传输组件由于空气的介电常数,无法实现小型化。

                                     表1. 石英多层微波组件

本文的创新之处在于展示了直接铜键合技术能够实现低损耗特性的多层石英基板。石英多层微波组件的比较见表1。虽然已有石英多层空心波导组件[18],[20]的研究,但它们不适用于组件的小型化。文献[23]中提出了一种共面波导(CPW)中介层,但其玻璃层数为二层。多层石英基板的SIW组件[16],[17],[19]已有提出,但都使用了焊料作为键合方法或键合材料,导致了较高的损耗。本文应用了直接铜键合技术实现了具有低损耗特性的多层石英基板,并设计并表征了两平面混合耦合器,展示了其有效性。据我们所知,这是首次将直接铜键合技术应用于多层石英SIW组件。

图1. 两平面混合耦合器的结构 (a) 鸟瞰图和 (b) 耦合区域的横截面图。石英厚度为 t1 = t3 = t5 = 0.3 mm,t2 = t4 = 0.8 mm,铜厚度 tc = 16 µm。其他参数为 a = 1.74 mm,ac = 4.2 mm,l = 1.6 mm,a1 = 0.25 mm,a2 = 0.63 mm,a3 = 1.37 mm,l1 = 2.25 mm,w1 = 0.73 mm,l2 = 2.02 mm,w2 = 3.66 mm,d1 = 0.2 mm,d2 = 0.4 mm,p1 = 2a1,p2 = 2a2。

本文介绍了一种基于石英的两平面混合耦合器和直线SIW线,表明直接铜键合技术可以用于低损耗的多层传输线和微波组件。两平面混合耦合器和直线SIW线由五层石英基板组成,如图1所示,金属层在室温下直接键合,不使用任何键合材料。混合耦合器的设计结果和通过模态分解分析其工作机制将在第二章中详细介绍。多层石英基板的制作方法将在第三章中阐述,并提供详细的制作结果。在第四章中,测量结果显示了混合耦合器和SIW线的低损耗传输损耗,展示了该制作方法的有效性,并与其他研究结果进行了比较。

II. 结构与设计
该两平面混合耦合器包括八个输入/输出SIW和耦合区域,如图1所示,并将输入功率分为四分之一。它包含五层石英层(D1至D5)和六层金属层(L1至L6),并具有通孔。端口1至端口4位于同一侧,端口5至端口8位于对面。端口1、2、5和6的SIW线路位于D2石英层中,其余端口的SIW线路位于D5层中。

耦合区域的横截面如图1(b)所示,该区域通过去除宽壁铜层和通孔来实现输入/输出线路的耦合。耦合区域的横截面尺寸远大于单模操作的尺寸,因此在该区域内可以传播多模,具体细节将在后续介绍。四个脊由铜图案和通孔组成,能够控制多个传播模式的截止频率和传播常数。

该两平面混合耦合器的期望操作是,所有入射功率以相等的幅度传输到另一侧端口,即期望的S参数为:|S11|² = |S21|² = |S31|² = |S41|² = 0,并且|S51|² = |S61|² = |S71|² = |S81|² = 1/4,当端口1被激励时。

A. 两平面混合耦合器
该两平面混合耦合器的设计分为两步:固壁设计和SIW设计。在固壁设计中,所有的通孔被替换为实心PEC壁,并使用基于模式匹配与有限元方法(FEM)混合的内部电磁分析代码进行尺寸设计【24】。在初步设计完成后,实心PEC壁被替换为通孔,并通过FEM对整个结构进行分析。所有参数都经过调整,以补偿实心PEC壁与通孔线路之间的差异。在仿真中,石英的材料常数为 εr = 3.75,tan δ = 0.00034,铜的电导率为 σ = 4 × 10⁷ S/m。下一章将详细描述的钛层在设计中未建模。

图2. 设计的两平面耦合器的S参数。

设计结果显示,反射在60 GHz至64 GHz的频率范围内较低,且传输均匀,如图2所示。反射抑制在58.9 GHz至64.6 GHz范围内低于−15 dB。传输在59.9 GHz至63.9 GHz范围内为−6.5 ± 0.5 dB。插入损耗在58.3 GHz至64.1 GHz范围内小于0.36 dB。图3展示了当端口1激励时,耦合区域开始处(z = −l1/2)、中间处(z = 0)和末端处(z = l1/2)的电场分布。在耦合区域的开始,电场主要集中在端口1上。在耦合器的中部,电场分布在耦合区域的整个横截面上。在耦合区域的末端,电场均匀分布到四个端口,这是期望的操作。

图3. 当端口1被激励时,耦合区域 (a) 开始处 (z = −l1/2)、(b) 中间处 (z = 0)、(c) 末端处 (z = l1/2) 的电场分布。

B. 两平面混合耦合器的工作机制
两平面混合耦合器可以通过输入/输出SIW、耦合区域以及它们之间的过渡来表示,如图4所示。耦合区域是一个多模传输线,其传播模式有九种,如下所述。输入/输出SIW与耦合区域之间的过渡可以通过S参数来表示,左侧和右侧端口的数量分别为四个和九个。耦合区域中的特征模式 Eˆi 和 Hˆi 可以通过对耦合区域一个周期的特征模式分析得到,如图5所示。周期性边界应用于耦合区域的横截面,阻抗边界应用于侧墙。

图4. 两平面混合耦合器的简化模型。

图5. 耦合区域的特征模式分析模型。

在58 GHz至66 GHz的频率范围内,有九个传播特征模式,具体见表2。

                   表2. 耦合区域中的固有模态及其截止频率

电场分布类似于矩形波导,每个模式被命名为准TEmn(Q-TEmn)和准TMmn(Q-TMmn)模式。

图6. 输入/输出SIW与耦合区域之间过渡的S参数。

输入/输出SIW与耦合区域之间过渡的S参数如图6所示。来自端口1的入射波主要与Q-TE10、Q-TM11、Q-TE20和Q-TM20模式耦合,并且该耦合具有宽带特性。

图7. 耦合区域中模式系数的频率特性。

为了阐明两平面混合耦合器的工作原理,推导了耦合区域中传播特征模式的模式系数。沿+z方向传播的模式系数如图7所示。模式系数的计算方法在附录中有详细说明。在中心频率61.5 GHz时,四种模式Q-TE10、Q-TM11、Q-TE20和Q-TM20的模式系数都大于−8.0 dB,这四种模式实现了混合操作。此外,模式系数在59 GHz到64 GHz的带宽范围内几乎是恒定的,从而实现了宽带混合操作。然而,Q-TE30模式的模式系数在62 GHz以上急剧增加,这限制了混合操作的上限频率。抑制Q-TE30模式可能会增加操作带宽。

C. WG-SIW过渡
WG-SIW过渡的结构如图8所示。

图8. WG-SIW过渡 (a) 侧视图,(b) L1金属图案,(c) L2金属图案。设计参数为 ap = 2.28 mm, lA = 1.96 mm, wA = 1.71 mm, lB = 3.02 mm, wB = 1.77 mm。

WG直接连接到L1层的表面,D2层中的SIW通过耦合孔1和2进行馈送。WG为标准的WR-15波导。通过耦合孔的尺寸实现阻抗匹配。设计的S参数如图9所示,反射低,传输高。反射带宽范围为S11 < −15.0 dB,从58.2 GHz到64.9 GHz,带宽为10.9%。插入损耗在整个带宽范围内小于0.30 dB。

图9. 设计的WG-SIW过渡的S参数。

III. 制造过程
石英多层基板的制造过程包括五个步骤:晶圆抛光、钻孔、电镀、图案化和层压,如图10所示。

图10. 多层石英基板的制造过程。

使用6英寸的石英晶圆来制造双平面混合耦合器和SIW线路,如图11(a)所示,双平面混合耦合器的详细布局如图11(b)所示。WR-15波导通过夹具固定在晶圆上,且WG-SIW过渡必须分开以避免波导之间的干扰。因此,在WG-SIW过渡和双平面混合耦合器之间级联了两个H形弯头。在同一晶圆中制造了四条长度分别为19.6毫米、39.6毫米、79.6毫米和107.6毫米的直SIW线路。

图11. 双平面混合耦合器和SIW直线路径的6英寸晶圆布局。
(a) 整个晶圆布局,
(b) 双平面混合耦合器的详细布局。

A. 晶圆抛光
第一步是晶圆抛光,通过使用氧化铈和胶体二氧化硅作为磨料来调整石英晶圆的厚度。考虑到下一步的钻孔工艺,晶圆的厚度控制为最终目标值的100微米以上。详细的原因将在下一节中解释。由于最终目标厚度为0.8毫米和0.3毫米,因此在此过程中,晶圆厚度调整为0.9毫米和0.4毫米。

B. 钻孔
接下来的步骤是钻孔过程:通过激光和化学蚀刻形成精细的通孔。激光可以在石英晶圆中创建直径小于2微米的精细通孔。在直径100微米的圆内形成许多精细的通孔,这些通孔的直径小于目标通孔的直径。蚀刻过程通过去除单侧50微米的石英晶圆表面,使得精细的通孔变为直径100微米的通孔。由于该蚀刻过程去除了石英基板表面100微米,因此在之前的工艺中,晶圆厚度比最终目标值厚100微米。

                                      表3. 测量的通孔直径

                                  表4. 测量的通孔位置精度



制造的通孔的直径和位置精度以及石英厚度的测量结果已在表3和表4中总结。通孔的平均直径为198微米和398微米,目标为200微米和400微米,D1、D3、D5层的目标值为200微米、400微米。目标值与平均值之间的差异为2微米,3σ小于或等于2微米。通孔位置的准确度总结在表4中,平均x轴和y轴位置误差为±1微米。测量的厚度总结在表5中,测得的平均厚度分别为302微米和803微米,而目标值分别为300微米和800微米。

                 表5. 钻孔过程后石英的测量厚度(单位:µm)

C. 电镀
电镀过程包括两个步骤:溅射和电镀。首先,通过溅射在包括钻孔的玻璃晶圆上涂覆钛和铜。钛和铜的厚度分别为0.2微米和0.3微米。第二个步骤是通过电镀沉积10微米铜。金属的厚度通过荧光X射线薄膜厚度计进行测量,并总结在表6中。由于钛层的厚度足够小,因此钛层在双平面混合耦合器和WG-SIW过渡的设计中未被考虑。

                    表6. 电镀过程后铜的测量厚度(单位:µm)

D. 图案化
金属图案通过一般的减法方法形成,其过程包括五个步骤:薄膜光刻涂覆、光刻、显影、铜蚀刻和去除光刻胶。

E. 层压
层压是直接铜结合,包括两个过程:铜表面抛光[25][26]和结合[27]。在此过程中,不同基板上的铜层在室温下直接结合,无需使用任何粘合材料或焊料。因此,结合铜的表面必须尽可能平整,并通过化学机械抛光(CMP)进行抛光。

图12. 铜表面在CMP过程前(左)和CMP过程后(右)的照片。

图12展示了铜表面在CMP过程前后的照片,表明表面变得更加平整。表面粗糙度通过原子力显微镜(AFM)测量,测得的算术平均Ra值在CMP过程后为0.21纳米至0.41纳米。最终过程是不同晶圆的铜结合,两个晶圆使用室温扩散结合技术进行结合。此结合过程包括通过氩离子束在真空室中对铜层表面进行激活处理,并在同一真空室中从晶圆到晶圆进行层压。有关铜直接结合方法的更多详细信息,请参见[28]。有研究表明,在铜电镀厚度约为10微米的层压样品中,铜在刀片插入测试中没有剥离,断裂发生在玻璃基板中。这确认了从晶圆到晶圆的结合强度足够强。此结合过程重复进行,直到所有五个晶圆结合完成。最终制造的多层石英基板如图13所示。

图13. 制造的多层石英基板的照片。

IV. 测量
基于石英多层基板制造的直SIW线路和混合耦合器使用带有频率扩展器的双端口矢量网络分析仪(VNA)进行测量,如图14(a)所示。两块铝板夹住石英基板,以连接WR-15波导,如图14(a)和(b)所示。测量系统已通过WR-15波导的末端进行校准,测量结果包括铝板中的线路。未测量的端口通过匹配负载终止,照片中未显示。

图14.
(a) 制造的多层石英基板照片。
(b) 测量 setup的横截面。

A. 直SIW线路
直SIW线路的测量S参数如图15所示。

图15. 直SIW线路的测量S参数。

直线路径的长度分别为19.6毫米、39.6毫米、79.6毫米和107.6毫米。在56.6 GHz到63.9 GHz之间,反射被很好地抑制,低于-10 dB。衰减常数的频率特性通过图16中S21的dB值相对于线路长度的斜率进行计算。

图16. 直SIW线路的测量衰减常数。

即使使用钛作为铜电镀的种子层,也确认了较低的衰减常数,范围为0.012 dB/mm至0.013 dB/mm,频率范围为57 GHz至64 GHz。SIW线路的仿真结果显示,与测量结果良好一致,其中钛在仿真中未被建模。石英的相对介电常数 (ε_r) 为3.75,损耗正切 (tan δ) 为0.00034,是通过平衡圆盘谐振器(BCDR)方法测得的[29][30],铜的电导率 (σ) 为4.0 × 10^7 S/m。通过仿真估算铜的电导率,仿真衰减常数与实际测量结果一致。这些结果表明,钛的影响可以忽略不计,并且实现了较高的有效导电性。在58 GHz至63 GHz的频率范围内,从波导到第二层石英中的SIW的低插入损耗也被确认,最大值为0.12 dB。插入损耗通过S21的dB值与线路长度的截距进行计算。

B. 双平面混合耦合器
双平面混合耦合器的测量S参数如图17所示。

图17. 双平面混合耦合器的测量S参数
(a) 反射,
(b) 传输幅度,
(c) 传输相位。

测量结果包括馈线,因为校准是通过WR-15波导的末端进行的,如图14所示。测量的反射S11在56.5 GHz到64.9 GHz之间低于-7.0 dB,但由于馈线和制造公差,其值高于设计值(如图2所示)。测量的隔离度S21、S31和S41被很好地抑制,低于-12.9 dB,与设计值相似。测量的传输S51、S61、S71和S81比设计值有所下降,幅度不平衡r的定义为

如图18所示,测量的幅度不平衡度在58.7 GHz到63.1 GHz之间小于1.5 dB,但与设计相比,在57.6 GHz到63.8 GHz之间有所下降,如图所示。

图18. 混合耦合器的测量和仿真功率幅度不平衡。

测量与设计之间差异的主要原因是石英的介电常数和铜的厚度。设计中使用了3.75的石英介电常数,该值是通过平衡圆盘谐振器(BCDR)方法测得的[29][30]。通过测量直SIW线路的S21相位,估算出的实际石英介电常数为3.85。接下来,在仿真中调整了铜的厚度,以使仿真结果与测量结果匹配,并且估算的石英介电常数为3.85。结果发现,10微米的铜厚度使得仿真结果与测量结果之间的差异最小。带有估算的石英介电常数和铜厚度的仿真结果如图17和图18所示。仿真结果与测量结果良好匹配,包括反射、传输和幅度不平衡。传输相位差如图17(c)所示,测量值与理想相位之间的最大偏差为10.0度,出现在设计频率处。我们得出的结论是,铜厚度较薄是由于铜在直接结合之前的抛光过程造成的。由于双平面混合耦合器在xy、yz和zx平面上具有对称结构,输入和输出端口的S参数是相同的。具体来说,输出端口的隔离度为S15 = S51,S25 = S61,S35 = S71,S45 = S81,输出端口的回波损耗为S55 = S11,S65 = S21,S75 = S31,S85 = S41。

C. 讨论
本研究显示,与其他基于石英的传输线相比,提出的传输线具有最低的衰减常数,如表7所总结所示。所提出的传输线在双层堆叠配置下实现了0.012 dB/mm的衰减常数。SIW线[8]的衰减常数为0.013 dB/mm,且无堆叠配置。空心波导(WG)[18]的衰减常数估计为0.080 dB/mm,尽管该传输线没有介电损耗,但仍高于SIW。其他基于石英的传输线[9]、[10]、[32]、[33]的损耗均高于本研究。

                          表7. 基于石英的传输线衰减常数



我们提出的双面混合耦合器实现了最低的插入损耗,作为四波束开关电路,在之前的相关研究中[34]、[35]、[36]、[37]、[38]中表现出色,如表8所总结所示。

                        表8. 毫米波频段四波束开关电路比较

所提出的双面混合耦合器的插入损耗为1.1 dB,其中包括过渡损耗和过渡与双面混合耦合器之间的传输线损耗。模拟结果表明,双面混合耦合器本身的插入损耗为0.25 dB。表8中列出的其他插入损耗并不包括过渡损耗和传输损耗,这些损耗是通过TRL标定提取的。所提出的双面混合耦合器的尺寸为0.25 λ3₀,远小于基于SIW的四波束开关电路[34](0.88 λ3₀)和[35](0.88 λ3₀),因为双面混合耦合器通过单一组件实现了四波束开关操作。其尺寸与其他基于GCPW和MSL的四波束开关电路[36](0.29 λ3₀)和[37](0.27 λ3₀)相当。

V. 结论
本文介绍了一种使用铜直接键合方法的熔融石英玻璃(石英)多层基板。通过该方法制作的基于基板集成波导(SIW)的双面混合耦合器,由五层石英构成,在60 GHz频段显示了低损耗特性。石英在高频段仍具有低损耗特性,但多层制造过程中存在一定难度。我们提出了一种铜直接键合方法,以实现低损耗的多层石英基板,并对由五层石英基板组成的直SIW线和双面混合耦合器进行了表征。
直SIW线在57 GHz到64 GHz频段内,显示出最多为0.013 dB/mm的低损耗特性,石英的估算介电常数r为3.75,tan δ为0.00034,铜的电导率σ为4.0 × 10⁷ S/m。位于内部石英层的SIW与外部波导之间的低插入损耗已确认最多为0.12 dB,频率范围为58 GHz到63 GHz。双面混合耦合器显示出低的幅度不平衡(0.75 dB)和低的插入损耗(1.1 dB)。这些结果强烈表明,使用铜直接键合方法的石英多层基板能够实现低损耗的多层微波组件。由于该制造技术可扩展且可增加石英层数,因此它可以应用于具有低损耗和紧凑体积的波束开关电路和馈电电路。

模式分解
在多模波导中,模式系数可以通过特征模的正交性进行分解。电场的切向分量Et和磁场的切向分量Ht可以通过特征模进行如下分解[39]。

其中,ai 和 bi 是−z 和 +z 方向行波的复模系数。ˆ Ei 和 ˆ Hi 是第 i 个本征模的电场和磁场的切向分量,它们满足以下归一化条件。

其中,S 是波导的整个横截面。这些本征模在 i ≠ j 时具有正交性质。

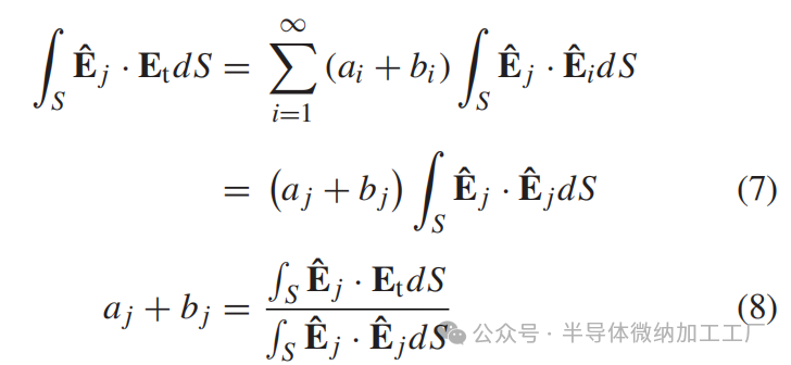
利用上述本征模的特性,可以推导出模式系数 ai 和 bi。将 ˆ Ej 乘以(2)并对耦合区域的横截面进行积分,得到以下方程。

与磁场类似的过程得出以下方程:

同时求解方程 (8) 和 (9),可以推导出模式系数 ai 和 bi,如下所示。

关于我们:

OMeda成立于2021年,由3名在微纳加工行业拥有超过7年经验的工艺,项目人员创立。目前拥有员工15人,在微纳加工(涂层、光刻、蚀刻、双光子印刷、键合)等领域拥有丰富的经验。 同时,我们支持4/6/8英寸晶圆的纳米加工。 部分设备和工艺支持12英寸晶圆工艺。针对MEMS传感器、柔性传感器、微流控、微纳光学等行业。

中国(上海)自由贸易试验区临港新片区业盛路188号450室 电话:+86 188 233 40140 邮箱:jing.chen@omeda-optics.com

来源:OMeda

关于我们

OMeda(上海奥麦达微)成立于2021年,由3名在微纳加工行业拥有超过7年经验的工艺,项目人员创立。在微纳加工(镀膜、光刻、蚀刻、双光子打印、键合,键合)等工艺拥有丰富的经验。 同时,我们支持4/6/8英寸晶圆的纳米加工。部分设备和工艺支持12英寸晶圆工艺。针对MEMS传感器、柔性传感器、微流控、微纳光学,激光器,光子集成电路,Micro LED,功率器件等行业。

姓名:*
邮件:*
公司名称:
电话:*
您的需求: