摘要:全球量子互联网将需要长期稳定的通信波段光子-物质接口,并能够大规模制造【1】。基于光子-物质接口的初步量子网络,满足这些需求的子集,正在鼓励人们寻找新的高性能替代方案【2】。硅是商业规模固态量子技术的理想载体。它已经是全球集成光子学和微电子工业中的先进平台,并且是创纪录的长寿命自旋量子比特的宿主【3】。尽管硅量子平台具有巨大的潜力,但在硅中光学检测可单独寻址的光子-自旋接口一直未能实现。在本研究中,我们将可单独寻址的“T中心”光子-自旋量子比特集成到硅光子结构中,并表征其自旋相关的通信波段光学跃迁。这些结果为构建硅集成通信波段量子信息网络开辟了即刻的机会。SOI晶圆:--220nm薄膜/ 3um厚膜-3umSIO2-675um薄膜硅光:常见厚度220nmSi-3umSiO2-675umSi(有库存),可以定做其他厚度,同时也有单高阻SOI晶圆用于异质集成(异质集成PD),双高阻SOI晶圆用于CPO
厚膜硅光:常见厚度3000nmSi-3umSiO2-675umSi(有库存),该工艺为芬兰VTT公司提出,与OKEMTIC公司合作开发,目前我单位在6寸上可以达到与OKemetic同样器件层厚度精度+-100nm

ALOOI晶圆;--氧化铝薄膜晶圆,键合工艺和镀膜工艺
TAOOI晶圆--氧化钽薄膜晶圆,镀膜工艺
SINOI晶圆--超低损耗氮化硅薄膜晶圆,160nm-180nm-200nm-300nm-350nm-400nm-800nm
SICOI晶圆;新型量子光学平台500nm-700nm-1um
8寸LTOI晶圆批量供应;铌酸锂的有力的竞争对手,薄膜钽酸锂晶300600
8寸LNOI晶圆;8寸LNOI助力更大规模薄膜铌酸锂产品量产
流片: 6寸 氮化硅 铌酸锂 硅光 超高性价比流片, 1个BLOCK的价格买一整片晶圆
划重点--全国产-超高性价比-6 寸硅光-氮化硅-铌酸锂流片白皮书
我们为客户提供晶圆(硅晶圆,玻璃晶圆,SOI晶圆,GaAs,蓝宝石,碳化硅(导电,非绝缘),Ga2O3,金刚石,GaN(外延片/衬底)),镀膜(PVD,cvd,Ald,PLD)和材料(Au Cu Ag Pt Al Cr Ti Ni Sio2 Tio2 Ti3O5,Ta2O5,ZrO2,TiN,ALN,ZnO,HfO2。。更多材料),键合(石英石英键合,蓝宝石蓝宝石键合)光刻,高精度掩模版,外延,掺杂,电子束光刻等产品及加工服务(请找小编领取我们晶圆标品库存列表,为您的科学实验加速。
请联系小编免费获取原文
文章名:Optical observation of single spins in silicon作者:Daniel B. Higginbottom1,4, Alexander T. K. Kurkjian1,2,4, Camille Chartrand1,2, Moein Kazemi1, Nicholas A. Brunelle1, Evan R. MacQuarrie1,2, James R. Klein1, Nicholas R. Lee-Hone1,2, Jakub Stacho1, Myles Ruether1, Camille Bowness1,2, Laurent Bergeron1, Adam DeAbreu1, Stephen R. Harrigan1, Joshua Kanaganayagam1, Danica W. Marsden1, Timothy S. Richards1, Leea A. Stott1, Sjoerd Roorda3, Kevin J. Morse1,2, Michael L. W. Thewalt1 & Stephanie Simmons1,2
1、Department of Physics, Simon Fraser University, Burnaby, British Columbia, Canada.
2、Photonic Inc., Coquitlam, British Columbia, Canada.
3、Department of Physics, University of Montréal, Montréal, Quebec, Canada.
4、These authors contributed equally: D. B. Higginbottom, A. T. K. Kurkjian
现代量子科学的一项巅峰成就就是孤立、控制并利用单个量子粒子,如单一电荷、单光子和单自旋。固态中的单个原子中心已成为多种科学突破的基础,包括纠缠生成【2,4,5】、远距离传送【6】、无漏洞的贝尔不等式检验【7】以及增强记忆的量子通信【8】。这些成就的核心是“光子-自旋中心”:具有自旋和自旋依赖光学跃迁的固态中心。这些自旋可以通过光子远程纠缠,从而形成量子计算和通信网络【2】。更多的突破正等待着大规模的光子-自旋网络。
一种有前景的方法是通过集成光子学来生成大规模纠缠的光子-自旋网络。不幸的是,最成熟的集成光子学平台,如硅(Si)和磷化铟(InP),并不是最广泛研究的光子-自旋中心的宿主材料,例如YSO【9】、YVO【10】、hBN【11,12】以及最著名的钻石【2,4,6,7,13,14】。目前正在进行工程化集成钻石光子学的工作【15】,并且在SiC等宿主材料中正在开发有前景的中心【16,17】,同时SiC集成光子学的开发也在同步进行【18】。相比之下,硅集成光子学平台拥有几十年的成熟经验,包括世界领先的集成单光子探测器【19】、丰富的量子光学组件库【20】以及能够直接利用全球半导体微电子产业的能力。
硅光子网络中光子-自旋中心的吸引力促进了混合平台的开发,这些平台将非硅光子-自旋宿主材料与硅光子学结合【21】。然而,迄今为止,测得的最长自旋相干时间出现在硅宿主中【3,22】,硅可以通过同位素纯化去除由自旋1/2的29Si核自旋引起的磁噪声。确定适合单独寻址的光子-自旋中心在硅中可能避免了在一个全新的、更具挑战性的材料平台中复制集成光子学的开发。
尽管有这一机会,但单个自旋在硅中一直未能通过光学方式检测到。没有光学访问的单个自旋已经在硅中通过电学方式被检测到【23-30】,单个自旋也已经被光学驱动并通过电学方式检测到【31】,并且没有电子自旋的单个中心最近也已被观察到【32】。然而,成像单个自旋的关键目标在硅中仍未实现。不幸的是,最广泛研究的硅光子-自旋中心,如磷【33】、硒【34】和铒【31,35】,并不发光。最近,T中心【36,37】被确定为硅中的光子-自旋接口,它结合了长寿命的电子(>2 ms)和核(>1.1 s)自旋以及尖锐的、自旋依赖的通信波段光学跃迁。这种组合在目前所有研究过的光子-自旋中心中是极为罕见的【38】。
在这项工作中,我们在商业硅基光子集成电路(SOI)晶圆上生成了成千上万的可单独寻址的“微型小 puck”,并通过低温共聚焦显微镜确认每个测量的微型小 puck 都有少量可单独寻址的T中心。我们解决了这些T中心中个别自旋的自旋依赖跃迁,并在小磁场下进行测量。我们初始化并测量了单个自旋状态,并进行全光学自旋寿命测量。这代表了硅中单个自旋的光学识别,并直接为开发通信波段的硅集成全球量子技术网络铺平了道路。
T中心
T中心【36,39】是硅中的一种辐射损伤中心,由两个碳原子、一个氢原子和一个未配对电子组成(见图1a)。
图1 | 集成和光学耦合T中心
a, T中心的化学结构。
b, T中心的电子能级结构【36】。两个最低能量的束缚激子态为TX0和TX1。在磁场中,TX0和基态之间的光学跃迁分裂为四个自旋依赖的光学跃迁,分别为A、B、C和D,这取决于中心的方向。
c, T中心在大块自然浮区(FZ)硅(蓝色)、自然Czochralski(CZ)硅基光子集成电路(SOI)晶圆(橙色)和图案化SOI中测得的光致发光(PL)光谱(绿色,仪器分辨率限制)。光谱已标准化(norm.)为ZPL区域。FTIR,傅里叶变换红外光谱。
d, 模拟的T中心在305 nm半径微型小puck中心的发射轮廓,其中箭头表示偶极子方向。标准化的发射强度(颜色轴)显示在两个垂直的横截面平面上。
T中心的光学跃迁在935.1 meV(1,326 nm)处具有零声子线(ZPL),是硅辐射损伤中心的一类,已知能在近红外通信波段发射光【40】。在同位素富集的28Si中对T中心集群的测量发现其激发态寿命为940 ns,集群跃迁线宽可低至33 MHz(参考文献【36】)。
T中心的基态具有未配对的电子自旋和超精细耦合的氢核自旋。基态的电子自旋和氢核自旋都具有长寿命,在28Si中分别具有大于2.1 ms和1.1 s的相干时间(参考文献【36】)。在束缚激子光学激发态中,两个电子形成一个自旋单重态,缺陷的对称性降低将孔态分裂成两个自旋双重态,分别标记为TX0和TX1(图1b)。在静态磁场下,TX0的ZPL分裂成四个自旋依赖的跃迁。每个T中心属于12个不同的方向子集,每个子集都有其自己的有效孔自旋Landé因子gH,决定了能级的分裂。各向异性孔g张量使得有效gH值在0.85和3.50之间变化,具体取决于磁场【36,39】。
光子集成
我们首先在行业标准的SOI芯片中生成T中心【37】。如图1c所示,T中心的光致发光(PL)主导了样品的光谱。为了空间分辨单个T中心,实验在一个自建的低温共聚焦显微镜中进行,测量温度为4.3(3) K,在SOI器件层中(方法部分)。
TX0的ZPL均匀线宽具有温度相关的下限,由TX0和TX1之间的热激发给出(参考文献【36】)。在1.5 K时这种宽化是可以忽略的,但在4.3 K时,单个发射源的线宽上限为255 MHz。此外,我们预计该材料中的光谱扩散约为1 GHz,并且有共振光学驱动带来的功率扩展。我们观察到的大量非均匀宽化(超过37 GHz)表明,如果能够在空间上足够隔离低浓度的单个T中心,它们的光谱可以进行寻址。在这项工作中,我们使用可调单频激光共振激发单个T中心,并收集发射到声子侧带(PSB)的光子,这种技术称为PL激发(PLE),具有光谱分辨率小于1 GHz(方法部分)。
SOI成为一个领先的光子平台,部分原因在于硅的高折射率(n ≅ 3.5,在1,326 nm处)能够通过全内反射有效地将光束束缚在器件层内。这对未图案化SOI的显微镜学造成了挑战,其中光提取效率大约为0.5%。然而,利用共聚焦显微镜分离出的单个G中心的光致发光(PL)可达到16千计数/秒(kcps)【41】。对于像T这样的长寿命中心,借助光子设计增强其光致发光是非常有利的。固态发射器的光致发光可以通过纳米光子结构来增强,例如平面靶心光栅【42】和垂直柱形腔体【43】。我们采用了类似的方法,在芯片上制造了150,000个“微型小 puck”。与未图案化的SOI相比,微型小puck通过Purcell效应增强发射,并通过塑造发射轮廓来提高光收集效率,从而增加了从发射源提取光的效率。图1d显示了在微型小puck中心的偶极子发射器场的模拟,箭头表示偶极子方向。我们估计,与未图案化SOI中的中心相比,ZPL强度提高了最多58倍。
单个中心的共振激发
共聚焦PL激发(PLE)揭示了可寻址的单个T中心的证据。我们选择了一组305 nm半径的微型小puck(图2a),然后对每个微型小puck测量了在TX0 ZPL周围的776 μeV范围内的PLE光谱。图2b显示了三个示例单个小puck的PLE光谱。每个PLE光谱包含少量(平均1.1个)狭窄的共振峰,这些共振峰是从更大的非均匀分布中采样的。每个微型小puck中稀疏且可分辨的T中心,其中一些的线宽比非均匀线宽窄40倍,为该样品提供了强有力的证据,表明它提供了成千上万的可单独寻址的T中心供研究。通过离散的T PLE共振的发生,我们推断出中心浓度的下限为1.7 × 10¹³ cm⁻³。
图2 | 硅中的单个中心
a, 305 nm半径微型小puck的光致发光(PL)光栅扫描图。比例尺,10 μm。
b, 来自a中标记圆圈的单个微型小puck的特征性PL激发光谱(PLE),显示出离散的T中心共振。荧光收集在T中心的声子侧带(PSB)。
c, 来自a中144个微型小puck的T中心ZPL能量(顶部)和线宽(右)散点图及直方图。为了比较,图1c中的预图案化PL光谱被包括在内(顶部,黑线)。
我们从最亮的微型小puck耦合的T中心检测到最多325 cps的侧带荧光,经过测量的检测损耗后为2.1 kcps(扩展数据表2)。这与硅中著名的通信光子-自旋中心的荧光速率相比表现良好。例如,Er³⁺的荧光速率仅为500 cps,假设完美耦合且没有任何损耗【35】。根据T中心的940 ns寿命、305 nm半径的侧带相对强度、λ > 1.35 μm的光谱收集范围以及相同的测量检测损耗(扩展数据表2),我们预计一个最佳耦合、饱和的单位辐射效率T中心的荧光速率为11.6 kcps。这剩余的36倍差异可由一些组合因素解释,包括未完全饱和、未表征的损耗(例如,单模耦合)、对微型小puck的亚优化耦合(例如,T中心位置和方向)以及可能的非辐射衰减。
图2c显示了图2a中144个微型小puck内的T中心ZPL峰值位置和线宽。ZPL峰值分布来自每个缺陷附近的同位素和应力环境的变化。这个非均匀分布比未图案化SOI的ZPL更宽且略有偏移(图1c,叠加显示)。从此散点图中绘制的单个线宽的直方图如图2c(右)所示,并且与我们在此温度下对SOI中单个中心的预期相符。我们预计,在饱和功率下,典型的线宽将从热下限(255 MHz)扩展到361 MHz,如果没有光谱扩散。包括该材料的特征光谱扩散(1 GHz),我们预期的典型功率扩展线宽为1.41 GHz,这基本上解释了我们测量到的分布线宽的中位数1.68 GHz。
在846 nm半径的微型小puck中,我们测量到低功率T中心的ZPL线宽最窄为660 MHz,从中我们得出结论,一些中心在这种损伤严重且未优化的材料中经历了不到400 MHz的总光谱扩散。如参考文献【37】所述,表面优化【44】、静电控制【45】和更低水平的植入损伤【46,47】已被证明能显著减少环境噪声和光谱扩散,类似的技术可能也适用于本系统。
硅中的单个自旋
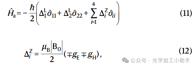
我们观察并表征了在静态磁场下,几个可单独地址化的T中心自旋的特征自旋选择性光学跃迁。磁场B0将基态各向同性电子自旋状态↑E、↓E以及激发态束缚激子各向异性孔自旋状态↑H、↓H分裂。在这些条件下,图1b中显示的四个自旋选择性跃迁A、B、C和D相对于零场零位移(ZPL)由Δ偏移,具体如下:
其中,μB是玻尔磁子,gE,i和gH,i分别是特定磁场B0方向下的电子和孔的Landé g因子。由于gH的各向异性,12个取向的T中心子集在低对称性磁场方向上会有不同的分裂。
我们将样品安装在一个永久的SmCo磁铁上,使得磁场的边缘场强度和方向随位置变化。通过模拟,我们估计芯片的设备层上,磁场B0的范围是40 mT < B0 < 160 mT。在零场ZPL线宽为660 MHz的情况下,这个磁场足以分裂并解析所有四个自旋选择性光学跃迁A、B、C和D,适用于某些T中心的取向。
与之前的体材料实验相似,在磁场中进行单频PLE光谱测量时,由于电子自旋的超极化,激光扫描A、B、C和D跃迁时几乎没有信号。剩余的PLE信号来自于B和C跃迁重叠的自旋子集,在这些子集中没有自旋棚状态可用,因此不会发生超极化。在参考文献36中,通过使用磁共振去极化自旋,可以恢复来自超极化(暗)子集的PLE信号。在本工作中,我们通过执行双色PLE去极化电子自旋。具体来说,我们扫描两台单频激光器,分别作用于一个T中心的ZPL跃迁能量,并观察荧光信号,当激光器同时作用于与两个电子自旋状态相对应的光学跃迁时。
图3 | 单自旋光学初始化和读取。a–c,三个T中心的双色PLE光谱,显示了不同程度的分裂。d,扫描单个探针激光器通过T中心2,仅在B和C跃迁重叠处产生微弱荧光(黑色)。当泵浦自旋选择性跃迁(标注的箭头)时,相应的探针光谱(彩色)显示来自未泵浦自旋状态的两个跃迁。虚线为拟合的四能级模型。e,双色PLE荧光的背景校正自相关测量(蓝色)确认每个自旋为单自旋。四能级模型(黑色)再现了相关函数。f,荧光瞬态随等待时间twait的衰减。f的插图显示,对于每个延迟时间,瞬态面积是通过两条荧光曲线之间的差异来确定的。g,使用的脉冲激发序列。
在图3a–c中,我们展示了来自不同305 nm半径微型托盘的三个T中心的双色PLE光谱。每个TX0的ZPL分裂不同,反映了不同的取向。T中心1的B和C跃迁几乎简并,每个激光器独立驱动连续的荧光。相比之下,T中心2的B和C跃迁分裂为1 GHz。最亮的荧光是由双色组合产生的,在这些组合中,激光器彼此失谐,并分别与B和C跃迁共振。额外的峰值显示了A和D跃迁(如图3b所示)。T中心3的B–C分裂仅为0.7 GHz,但A–D共振仍然保持良好的分辨率。
我们通过固定一个“泵浦”激光器在自旋选择性跃迁处,扫描第二个“探针”激光器的频率,进行T中心2的泵探PLE测量。图3d中的彩色线是每个A、B、C和D跃迁泵浦下的探针光谱,文本标签和同色箭头指示每个泵浦频率。对于每个泵浦频率,能看到两个共振,分别对应未被泵浦激光器作用的电子自旋状态的两个光学跃迁。黑色的单频PLE扫描作为参考,显示了B和C跃迁重叠处的微弱单激光共振。
将公式(1)拟合到峰值位置和顺序,得到B = 0.88(7) mT(与这些芯片坐标的模拟磁场一致),gH = 2.76(2)。我们假设电子自旋的体积值为gE = 2.005(8)(参考文献36)。我们进一步拟合了一个四能级光学Bloch哈密顿量到泵探光谱,热线宽为255 MHz,对应4.3 K,800(40) MHz的高斯谱扩散,以及激光1和激光2的光学Rabi频率分别为10(1)和14(1) MHz。
通过可调磁场的泵探测量,证明了TX0的分裂是可调的(详见补充信息),并确认了电子配置(图1b)。
使用Hanbury Brown–Twiss探测器进行的光子自相关测量确认这些自旋是单个自旋。在双色激发B和C跃迁下记录侧带荧光。图3e展示了经过背景去除的相关函数g2(τ),以及同样拟合的四能级光学Bloch模型。零延迟重合率为g2(0) = 0.20(6),明显低于单光子见证水平g2(0) < 0.5。
在确认这些是单个自旋后,我们接下来通过光学方法初始化并读取自旋状态,并进行自旋寿命(T1)测量。T中心3的B和C跃迁通过图3f所示的光学脉冲序列进行调制。B(C)脉冲通过光学泵浦准备自旋的向上(向下)极化状态。对于tT待1 ≪ ,脉冲1和脉冲3通过TX0将自旋泵浦到对立的自旋状态,并产生伴随的光致发光瞬态,等于连续B(C)脉冲之间的面积差,见图3f的插图。当等待时间twait接近并超过T1时,准备好的自旋有时间在脉冲之间放松到混合的平衡状态,光致发光瞬态消失。由于光脉冲的消光效应,残余的光场会在等待期间慢慢泵浦自旋到混合状态,并将T1缩短,低于体积电子自旋寿命T1E≫1 s(参考文献36)。这一效应在等待时间接近1 ms时可见,导致B(橙色)和C(蓝色)读出脉冲分别有0.85(6)和1.2(1) ms的非对称瞬态寿命。更多的光脉冲消光将在未来的工作中延长可测量的自旋寿命。
结论与展望
我们在硅中光学检测了单个自旋。我们创建了成千上万的硅光子器件,每个器件集成了少数几个光谱可分辨且可光学访问的T中心自旋量子比特,利用了行业标准的光子SOI晶圆和加工技术。
这些器件显示单中心T跃迁的线宽是非均匀加宽跃迁的40倍,且g2(0) = 0.20(6) < 0.5。
当置于磁场中时,T中心自旋量子比特提供电信O波段中的自旋选择性光学跃迁,我们使用双色共振激发光谱技术,在温度高于4.2 K的情况下,表征了这些跃迁在单个中心子集中的特性。我们光学初始化并测量了硅中的单个电子自旋,并使用光学脉冲序列测量了自旋寿命。
我们测量了集成器件中T中心的长时间光学线宽,在2.5 K以下,具有低于400 MHz的长时间光学线宽。通过制造工艺开发、电气工程和动态控制,许多发射器的长时间光学线宽得到了改善。然而,即便是目前的线宽也适用于使用已建立的硅光子学的量子器件。在这一平台上,硅光子腔体可以以(λ/n)³的模式体积和超过百万的Q因子可重复制造,但仅需要1-2 × 10⁵的腔体Q因子即可普塞尔增强这些中心,使得它们的零场跃迁(ZPL)发射速率超过1 GHz。这些腔体增强的T器件将能够以接近单位效率产生自旋纠缠的O波段光子,并且在芯片上无需过滤即可达到60%的不可区分性。它们能够立即利用集成的硅光子网络,具备低损耗的无源和有源组件、高效率(95%)与行业标准电信光纤的耦合,并能与芯片上的单光子探测器(效率99%)连接。
综合来看,本研究表明硅T中心是商业规模、与电信网络连接的近期期量子计算和通信网络的合适技术基础。
方法
植入与退火工艺
我们的样品是商业化的SOI,具有220 nm厚的P型Czochralski natSi器件层和3 μm厚的埋氧层。通过分别植入碳-13和氢,在器件层中创建高浓度的T中心,并在每次植入后进行退火。植入工作由Cutting Edge Ions公司完成。碳(38 keV)和氢(9 keV)的植入能量在器件层中心(110 nm深度)产生重叠的植入剖面。选择了来自参考文献37中植入优化研究的相等剂量7 × 10¹² cm⁻²。植入后的二次离子质谱测量确认碳的引入超出了碳的溶解极限。在初步的碳植入后,我们将样品在氩气气氛下快速热退火至1000°C,持续20秒,以修复晶格损伤并替代植入的碳。在氢植入后,样品在去离子水中煮沸1小时,最后在420°C下快速热退火3分钟。
傅里叶变换红外光谱
通过傅里叶变换红外光谱仪测量预图案化SOI和体natSi样品的PL光谱。样品被安装在液氦浸泡低温平台中,并使用532 nm的二极管激光(光斑大小为3 mm)在带隙上方激发。荧光通过Bruker IFS 125HR光谱仪分析,具有62 μeV的光谱分辨率。
光子图案化
植入后的SOI芯片随后通过电子束光刻在Applied Nanotools集成光子学工厂进行图案化,采用负性氢硅倍半氧烷工艺。芯片设计包括15万个微型托盘,半径在0.25到1.1 μm之间,以及更大的未图案化硅块,宽度可达数百μm。
共聚焦显微镜
样品被安装在一个低噪声、高光学通量的低温平台(Montana Instruments s100)中,基温为2.7 K。平台内的闭环压电定位器(Attocube,两个ANPx101和一个ANPz102)在三个运动轴上定位样品,范围为5 mm,精度约为1–2 μm。数值孔径(NA)为0.71的显微镜物镜(SEIWA PE IR 2000HR)安装在熔融石英低温平台窗口上方。通过两个常温压电定位器(Physik Instrumente P517)进一步提供精确的横向移动,这些定位器最多可将物镜移动100 μm,精度为10 nm。共聚焦显微镜将图像采集到单模光纤中,计算分辨率为1 μm。
在共聚焦设置中,PL是由978 nm二极管激光(QPhotonics QFBGLD-980-5)产生的。这种带隙上方的光产生自由载流子,这些载流子在硅中传播并随后结合到中心,重新组合时发光。显微镜收集的荧光信号被导向光谱仪或探测器。PL光谱通过光纤耦合的衍射光栅光谱仪(Princeton SpectraPro HRS-300)测量,光谱分辨率为1 nm,并通过一台超低噪声LN冷却的InGaAs相机(Princeton NIRvana-LN)成像。在使用共聚焦显微镜进行成像或记录PLE光谱时,荧光被导向光纤耦合的雪崩光电二极管(IDQuantique ID230,量子效率为15%)或光纤耦合的超导纳米线单光子探测器(SNSPD)(IDQuantique ID281,效率为70%)。光子到达时间通过IDQuantique ID900时间控制器记录。PL图像通过λ > 1.35 μm(932 meV)长通滤光片进行拍摄,用于隔离T中心的PSB。
样品温度测量
样品的温度通过T中心的共聚焦PL光谱在原位估算。来自200 × 200 μm² SOI块部分(在芯片设计中作为“体”SOI参考)产生的PL被导入单光子光谱仪。由热激发的TX0和TX1能级上的ZPL的集成发光比率(如图1c所示)揭示了4.3(3) K的温度(参考文献49)。
微型托盘
微型托盘的半径决定了其中任何发射源的波长相关的“相对强度”。在这里,相对强度(Ir(λ))与同质硅环境中的发射源相比,由其收集效率(ηobj(λ))和普塞尔因子(PF(λ))的乘积给出。扩展数据图1b显示了根据模拟的微型托盘半径r与NA 0.7物镜的收集强度的关系。类似的模拟揭示了一个适度的单波长普塞尔增强,范围从0.8到3.5,约为2nr/λ的周期性。通过这些信息,我们确定了用于PL和PLE测量的最佳微型托盘半径,用于单个优化位置的T中心。例如,在520 nm半径时,位于微型托盘中心的平面T中心与未图案化SOI中类似位置的T中心相比,ZPL强度提高了最大58倍。
扩展数据图 1 | 微圆盘的共聚焦显微成像。
(A) 共聚焦显微镜图像,显示了微圆盘,半径从 250 nm(左上角)到 850 nm(右下角)逐渐增大,PL 信号的积分波长范围为 λ > 1.33。
(B) 模拟的相对强度(颜色轴),由 NA = 0.7 的显微镜物镜从微圆盘中心的平面发射源收集,作为波长和微圆盘半径的函数。
(C) 模拟(实线)与实测(点状)T ZPL 区域(蓝色)和积分侧带强度(红色)的强度,作为微圆盘半径的函数。模拟数据绘制为相对强度进入物镜(右轴),实测数据则为峰值标准化(左轴)。
扩展数据图1c中的实线蓝色线是根据模拟得出的收集到的ZPL强度。它是Ir对体T中心ZPL的积分,或者等效地,是Ir(λ=1,326 nm)与T中心Debye–Waller因子0.23的乘积(参考文献36)。扩展数据图1c中的实线红色线是收集到的T中心PSB强度,我们通过对体T中心PSB光谱(具体为1,330到1,600 nm)进行积分,得出了该强度。
有限差分时域(FDTD)模拟
使用Lumerical FDTD进行三维FDTD模拟,以比较在未刻蚀的SOI器件层和硅微型托盘中,平面偶极发射器的收集效率ηobj(λ)和普塞尔因子PF(λ)通过NA 0.7物镜的收集效率。
对于这些参数(Ir、ηobj 和 PF),我们可以推导出对应于强度、普塞尔因子或效率的光谱加权积分,这些积分涵盖了一个有用的波长范围。该积分的加权函数是面积归一化的体T中心光谱 IT(参考文献36)。例如,我们可以计算T中心PSB的相对强度:
在扩展数据图2中,我们提供了未刻蚀SOI和微型托盘中模拟的收集效率、普塞尔因子和相对强度的比较。
扩展数据图 2 | FDTD 模拟的微圆盘发射。
收集效率(A 和 B)、Purcell 因子(C 和 D)以及相对强度(E 和 F),对于 SOI 中的平面偶极子(左列)和不同半径的微圆盘(右列)。
扩展数据表 1 | 模拟相对强度的总结
扩展数据表1中提供了305 nm微型托盘的加权相对强度(Ir),涵盖了五个光谱区域,分别对应于T ZPL、PL检测范围、PLE检测范围、双色PLE检测范围和完整的T中心光谱。
微型托盘PL光谱
我们使用超低光谱仪测量微型托盘的PL光谱,如方法部分所述。在扩展数据图3中,我们展示了多个不同大小的微型托盘的PL光谱。935 meV处明显的TX0 ZPL峰值确认了这些结构中大多数含有T中心。除了T中心,我们还观察到969 meV处的G中心ZPL。T和G ZPL峰的振幅对微型托盘半径非常敏感,因为相对强度增强带会随着半径的变化而变化,如扩展数据图1b所示。还可以看出,特定的微型托盘半径会增强T PSB的发射,这对于PLE测量非常有利。完整数据集的T ZPL面积和集成PSB随半径的变化情况展示在扩展数据图1c中。
扩展数据图 3 | 单个微盘的光致发光谱。每个微盘的半径已标出。插图显示了关于T和G中心零纵向光谱线的放大图。
PLE计数率分析
从单个T中心的预期最大(饱和)计数率是均匀衰减速率(对于饱和共振激发衰减速率减半)、普塞尔因子以及各种发射和收集效率的乘积,其中一些效率仍然未知。这些未知中最重要的是T中心的辐射效率,即衰变事件中辐射性事件的比例,预计接近1 。与305 nm微型托盘PLE测量相关的测量效率列在扩展数据表2中。微型托盘效应同时考虑了普塞尔因子和收集效率,其由相对强度Ir给出,相关值在扩展数据表1中已给出。
扩展数据表 2 | 测量损耗的总结
PLE线宽分析
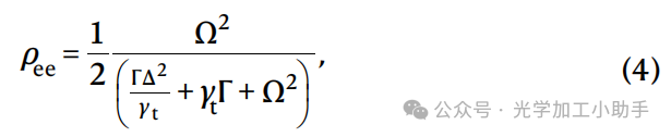
我们进行零场PLE线宽分析的起点是经典场中二能级原子的Bloch方程 。稳态激发态的粒子数为:
其中,Ω = d⋅E是激发拉比频率,Δ是场与跃迁的失谐,Γ是激发态衰减速率,γt = γ + Γ/2,其中γ是跃迁去相干速率。在此处研究的温度下,γ ≫ Γ,且γt ≅ γ。此外,ρee < 1/2,并在高功率极限下趋近于1/2;ρee在场失谐Δ下呈洛伦兹分布,其半高宽(FWHM)为:
其中,和的最左部分是低功率下的线宽,而和的最右部分是功率展宽对线宽的贡献。
我们定义饱和功率为Ωs,使得ρee(Ω = Ωs, Δ = 0) = max(ρee) = 1/2,得出Ωs = Γγt。我们预期在4.3 K温度下,T中心在没有光谱扩散的情况下的饱和拉比频率为Ωs = 4.64 × 2π MHz。
因此,饱和功率下的线宽为:
或者,饱和线宽是零功率线宽的2倍。根据这一关系,我们得到估算的饱和功率线宽为361 MHz,来自热去相干γt = 127.5 × 2π MHz,或者热线宽为255 MHz。
为了考虑光谱扩散,我们可以遵循相同的过程,但首先需要将方程(4)与一个面积归一化的高斯光谱扩散函数G(Δ)卷积,其中半高宽(HWHM)为γs.d.(为与γt保持符号一致,定义为HWHM):
我们通过数值方法执行这个卷积,找到饱和功率Ω′_s,使得ρ′(ee, Ω, Δ′ = 0) = 1/2,然后通过数值求解ρ′(ee, Ω = Ω′_s, Δ′) = 1/8来得到光谱扩散后的线宽的半高宽(FWHM)。通过这种方法,我们得到功率展宽线宽为1.41 GHz,适用于γt = 127.5 × 2π MHz(255 MHz的热线宽)和γs.d. = 500 × 2π MHz(1 GHz的光谱扩散)。相应的饱和拉比频率为Ω′_s = 11.4 × 2π MHz。
激发态寿命
我们通过脉冲共振激发测量了微型托盘集成T中心的激发态寿命。通过PLE在305 nm微型托盘上识别出单个T中心的共振,如图2b所示。然后将激光锁定到这个频率,并使用电光幅度调制器(EOM)(Jenoptik AM1310b,带宽1 GHz,消光比40 dB)对激光进行脉冲调制。激光脉冲的持续时间为2 μs,间隔时间为3 μs,测得的光学上升/下降时间为10 ns。光子到达时间通过IDQuantique ID900时间控制器进行标记。
扩展数据图 4 | 单个T中心激发态寿命。共振激发后测得的荧光瞬态。指数拟合结果给出寿命为 802(7) 纳秒。
瞬态荧光衰减(见扩展数据图4)可以很好地拟合为一个指数衰减,时间常数为τ = 802(7) ns,比28Si中测得的940 ns的体同质寿命τH短1.17(1)倍(参考文献36)。微型托盘的普塞尔增强是激发态寿命变化的一个机制。
扩展数据图 5 | FDTD 模拟的微盘中 T 中心的光谱加权 Purcell 因子。
(A) 单波长 Purcell 因子,对于位于微盘中心的平面偶极子,随着微盘半径变化的结果,参照扩展数据图 2(D) 进行重现。
(B) T 中心光谱上平均的 Purcell 因子,作为微盘半径的函数。
扩展数据图5a展示了单个偶极子在微型托盘中心(与器件平面定向)时的普塞尔因子Pf与波长和微型托盘半径的关系,通过Lumerical FDTD模拟得到。为了得到T中心的总普塞尔因子,我们对T光谱上的单波长普塞尔因子进行加权平均。总的加权普塞尔因子如扩展数据图5b所示。对于305 nm的微型托盘,预计微型托盘中心的普塞尔因子为Pf_w = 1.15。
激发态寿命根据如下变化:
其中,ηR是辐射效率,每一个辐射路径都已被包含在平均普塞尔因子Pf中。
所测得的寿命变化与单位辐射效率ηR的模拟结果一致,但我们无法明确将寿命变化归因于普塞尔因子,也无法得出关于辐射效率的强结论。中心的确切位置和定向仍然未知,并且存在其他可能的解释。特别是,来自SOI和微型托盘界面的应变可能会产生能量本征态,这些本征态包含不同的动量状态,即混合了TX0和TX1能级。
四能级自旋光学哈密顿量
我们为B场分裂的T PLE光谱的泵浦-探针测量拟合了一个四能级的半经典原子-光模型。为了便于符号表示,我们标记自旋状态(gH > gE):↓E, ↑E, ↓H, ↑H → 1, 2, 3, 4。我们根据主方程50,求解在一个或两个经典场的激发下,简化的原子密度矩阵ρˆ的演化。
我们将哈密顿量 H^ 分解为原子(H^a)和相互作用(H^i)分量,以便在相互作用图像中进行处理。我们进一步做了旋转波近似,将电偶极相互作用哈密顿量简化为
其中,σij = i j 是从状态 i 到 j 的原子升算符,Ωij = dij ⋅ Eij 是相应的拉比频率,由跃迁偶极矩 dij 和共振电场幅度 Eij 决定,而 h.c. 表示厄米共轭。原子哈密顿量为其中,ΔiZ 是能级 i 的齐曼分裂(主文中的方程(1)),ΔiL 是激光与基态 i = 1, 2 的去共振频率,与零场跃迁能量的偏移量。系统的非单位演化通过包含所有耗散系统动力学的 Liouvillian 超算符来描述。该 Liouvillian 具有 Lindblad 形式。
其中,Σ 是对以下塌缩算符 Cˆ 的求和。自发衰变(辐射性或其他形式)通过原子跃迁塌缩算符 Cˆijr = Γij σˆij 来建模,其中 Γij 是跃迁衰变率。光学去相位通过添加额外的塌缩算符 Cˆijd = ( γ/2 ) ( σˆii − σˆjj ) 来考虑,其中 γ 是一个常数去相位速率,低功率线宽为 (Γ + 2γ) / (2π) GHz。对于每个算符,i = 3, 4 和 j = 1, 2。
我们使用 QuTiP(Python 的量子工具包)求解主方程的演化 。荧光率通过方程(9)中的稳态激发态人口 σˆ22 + σˆ33 来建模。用于拟合的激发态人口数据是通过标准化到饱和荧光值的检测荧光来确定的。图 3e 中的五组泵浦探针数据集使用单一模型同时拟合。激发态衰减率和电子自旋 Landé 因子被固定为它们的硅体积值 ,Γ = 1/τH = 169 × 2π MHz 和 gE = 2.005。该模型不考虑由 Purcell 效应或应变效应引起的寿命变化。这里 γ 固定为 4.3 K 时的热去相位速率,γ = 255 / 2 × 2π = 127.5 × 2π MHz。
同样,谱扩散通过标准化的高斯谱扩散函数 G(Δ′) 卷积来纳入。我们对 Ha 进行数值积分。
光谱扩散的半高宽 γsd、B0 和 gH 是自由拟合参数。我们进一步定义了探针和重激发激光功率的自由拟合参数 Ωp 和 Ωr(以拉比频率表示)。
跃迁拉比频率 Ωij 和激光去共振频率 ΔL1,2 是根据扫描配置为每个泵浦-探针数据集单独确定的。ΔL1,2 中的一个根据探针扫描范围变化,另一个则固定在泵浦值。拉比频率 Ωi,j 根据固定的激光功率 Ωp 或 Ωr 进行设置,具体取决于哪个激光是固定的,哪个是扫描的。单频 PLE 数据集通过使用单一场处理两个跃迁 B 和 C 来进行类似的模拟。
跃迁衰变率 Γi,j 通过一个自由分支比参数 r 进行缩放,该参数描述了自旋保持跃迁 B 和 C 相对于自旋变化跃迁 A 和 D 的相对偶极矩强度。
跃迁拉比频率是 Ωi,j,按 r 进行缩放,同时还有一个自由的相对跃迁偶极矩/极化重叠参数 p,假设跃迁 A、D(B、C)具有相同的偶极矩方向。我们拟合得 r = 1.2(2) 和 p = 2.9(3),以及文中给出的其他值。
在自由去相位速率 γ 的条件下,拟合过程得到 γ = 185(20) × 2π(370 MHz FWHM),γsd = 230(80) × 2π MHz(460 MHz FWHM),Ωp = 9(1) × 2π MHz,Ωr = 11(1) × 2π MHz,r = 1.6(2),p = 2.6(2)。这表示温度为 4.7 K,略高于我们 TX0/TX1 PL 比率温度估算的 4.3(3) K 不确定范围。由于应变引起的 TX0 和 TX1 能级的偏移,任何给定的中心可能具有比此模型所考虑的更多或更少的去相位。给定温度下的去相位速率与 TX0-TX1 分裂成反比变化。自由拟合通过将光谱扩散减少到 460 MHz 来补偿这种增加的去相位速率,接近我们目前为止观察到的下限。实际上,这种做法是将高斯线宽贡献交换为洛伦兹线宽贡献,可能反映了光谱扩散过程并不严格遵循高斯分布。
光子自相关
我们通过汉伯里·布朗–特威斯强度相关仪器测量强度自相关,通过使用 50:50 光纤耦合的分束器将共聚焦显微镜的侧带发光输出分成两个 SNSPD 来进行。背景计数率是在两激光器都打开且远离中心的去共振位置测量的,并在收集相关数据时通过每日测量进行平均。所呈现的测量是在对内跃迁 B 和 C 进行共振双色激发下收集的,我们测量到典型的单光子场的反聚束特性。
扩展数据图 6 | 侧带荧光自相关测量。
(A) 未进行背景扣除的原始相关直方图,已归一化至探测率。
(B) 扣除背景后的相关直方图,包含三种拟合模型。
对于这次测量,我们选择了我们所测量的最亮的 T 中心,且该中心在场下有解析的 ZPL 分裂,以最大化相关信号,信号按计数率的平方进行缩放。扩展数据图 6a 显示了背景减除前的原始相关直方图。原始相关函数显示了明显的光子反聚束,未经修正的 g2(0) = C(0) = 0.55(4),比 g2(0) = 1 低超过 11 个标准差,因此与经典(相干)光场不一致,但略低于典型的单光子见证阈值 g2(0) ≤ 0.5。这个阈值是多光子 Fock 态的零延迟相关边界(g2N(0) = 1 − 1/N,对于 N 光子 Fock 态),表示两个独立发射源可能达到的最大反聚束。多光子压缩态可以任意反聚束,但对于假设不产生压缩的发射源,通常会忽略这一点。
由于在本实验中背景计数率与检测到的荧光率相当,因此必须减去背景贡献,以评估荧光场的真实相关函数。背景修正后的 g2(τ) 是通过考虑失败的相关(涉及一个或两个背景计数的相关)来从标准化的重合率 C(τ)、信号率 S 和背景率 B 计算的,方法参见参考文献 52。
背景去除后的相关函数已在主文中作为图 3e 展示,并在此作为扩展数据图 6b 展示。从零延迟时间区间,背景修正后的 g2(0) 为 0.20(6),比双发射源极限低 5 个标准差。这略高于理想单光子场 g2(0) = 0,因为在这些低重合率下,为了统计显著性所需的时间区间大小。根据这次测量,我们得出结论,这是来自单一光学跃迁的荧光,发射源是单一中心,正如预期的那样,符合光谱和磁场行为。由于我们同时测量到同一中心的 ZPL 分裂,我们可以确信这是硅中单一孤立自旋的测量。
自相关函数的时间形状包含了更多关于发射源光动力学的信息。在这种情况下,g2(τ) 的反聚束凹槽比光学寿命更窄,这与饱和功率区间一致,表明光学激发主导于发射,即 Ω > Γ。我们拟合了上述三个光学布洛赫模型变体,并将它们与背景修正后的数据一起绘制在扩展数据图 6b 中。自相关函数在 τ ≅ 500 ns 时非常轻微地聚束,即 g2(τ) > 1。这种动态通常出现在具有竞争速率的发射源中,例如具有来自每个基态的非对称拉比频率的三能级 Λ 系统,实际上具有对称拉比频率 Ω13 = Ω24 的四能级模型(橙色)未能捕捉到这种行为。通过自由拉比频率拟合(黑色)与数据非常吻合,并且需要 B 和 C 跃迁之间的拉比频率不对称因子为 1.7,这在此多周的 g2 测量的不平衡实验不确定性范围内。这个拟合已包含在主文中(图 3e)。无自旋系统不能具有这种不对称性,在这些情况下,聚束行为表示存在竞争衰变路径,例如通过亚稳态的非辐射衰变。为了完整起见,我们包括了一个修改版的五能级四能级光学布洛赫模型,额外加入了一个亚稳态基态(绿色)。激发态非辐射地对称衰变到这个第五能级,随后该能级对称地衰变到基态。在这个拟合中,我们再次将光学拉比频率设置为相等,并拟合非辐射衰变速率和亚稳态寿命作为自由参数。通过这种方法返回的辐射效率为 0.91(1),亚稳态寿命为 3.3(1) μs。在这些数值模型中,假设光场与跃迁 B 和 C 共振,所有其余参数固定为泵浦-探针光谱中的拟合值(图 3c)。与仅从零延迟时间区间计算的 g2(0) 相比,拟合包括了反聚束凹槽中的每个时间区间,并返回 g2(0) = 0.1900(1),表明多发射源概率非常小。
光学脉冲方案
自旋 T1 脉冲序列是通过分别脉冲两个配备光纤耦合 EOM 的 Nanoplus 激光器实现的,EOM 来自 Jenoptik。脉冲序列由 IDQ ID900 时间控制器生成。EOM 偏置通过 EOM 控制器(Thorlabs MX10A)每 2 分钟动态调整一次,以减少漂移并最大化光学脉冲消光。通过 SNSPD 对光学脉冲进行表征,揭示了 10 ns 的光学上升/下降时间和每个通道的典型光学消光值分别为 30 和 28 dB。
自旋瞬态是“读取”脉冲(脉冲一和三)与“准备”脉冲(二和四)之间的荧光差异。由于 B 和 C 跃迁未完美解析,甚至零延迟准备脉冲也会伴随一些荧光。通过将瞬态标准化为准备脉冲的荧光,可以考虑到激发和收集效率随时间的变化。具有较大 twait 的脉冲序列需要几个小时来测量。对于分析,瞬态比率进一步标准化为参考脉冲序列,该序列的 twait = 2 μs,每日测量两次。