本研究是首次通过使用连续耦合波导阵列,而非使用分束器网络(如Reck或Clements方案),作为光子量子计算的新架构的概念验证。所展示的设备通过施加电极电压实现子电路的可控操作,从而实现通道解耦。我们在子阵列中实现了高可见度(96%)的双光子量子干涉,这是使用此技术实现量子电路的关键步骤。此外,我们成功地展示了对两个子电路上单量子比特门的并行控制。此项工作在量子信息科学与光子工程之间建立了重要的联系,展示了RWAs精确控制在未来量子技术中的潜力。这些结果为该类设备的设计、制造和控制的进一步研究开辟了新的方向。
-----------------------------------------------------------------------
在过去的十年中,集成量子光子技术作为研究量子现象和实现大规模量子信息处理的平台,展现了巨大的潜力。最近,已有提议利用波导格子实现量子门,这提供了一种比使用定向耦合器和相位移器的离散实现方案更紧凑且稳健的解决方案。我们报告了首次在一个11维连续耦合可编程波导阵列上精确控制单光子态的实验演示。通过电光控制,阵列被划分为解耦子电路,并且芯片上的量子干涉程度可以调节,最大可见度为0.962 ± 0.013。此外,我们还展示了在单个设备上对两个子电路的同时控制。我们的结果展示了将该技术作为量子信息处理应用的构建模块的潜力。
实现量子门的通用集是量子计算标准框架中物理系统的关键要求。线性光学电路提供了一个多功能的平台,用于执行量子计算任务,并且已经从自由空间光学发展到集成光子电路。此类技术的基本要求是能够生成可控的、高可见度的单光子量子干涉,并具有可调的光束分离器。这可以通过由相位移器和两个平衡定向耦合器(DCs)组成的马赫—曾德干涉仪(MZIs)来实现。
在大规模集成系统中,配备额外相位移器的MZIs在操控量子态中起着基础性作用。此外,由多个电调谐MZIs和相位移器组成的大规模光网络是实现量子光子处理器的必要条件,这些处理器能够对光的量子态执行任意线性光学操作。超越量子计算,可编程光子电路是众多新兴技术中的关键组件,包括量子传输模拟、微波光子学和光学神经网络等。
基于MZIs的方案存在与电路深度成正比的弯曲损耗问题,并且对于制造误差不具备鲁棒性。此外,弯曲半径通常远大于耦合长度,这意味着电路区域主要由不参与逻辑操作的波导路线占据。光子波导阵列(WA)已被提出作为一种克服上述挑战的替代方案。WA是由彼此相互耦合的光波导组成的周期性结构。自从首次在一个由21个波导组成的WA上演示了双光子连续量子行走以来,利用WA的量子应用领域已经取得了众多进展,从拓扑保护量子态生成到量子态处理。此外,理论和实验工作还探讨了使用波导阵列实现1和2量子比特门的可行性。这些结构还可以模拟广泛的凝聚态物理效应,并且提供了直接实现三对角哈密顿量的可能性,以直接(模拟)而非数字的方式。最近,我们提供了一个数学证明,表明级联重配置波导阵列(RWA)可以实现任何单位矩阵,即使在有限的控制和有限阵列大小等现实约束下,也能实现,并展示了基于铌酸锂光子平台的RWA,成功实现了多个凝聚态物理模型。
在本文中,我们展示了在一个11波导电光可重构波导阵列(11-RWA)上实现可重构单量子比特门的实验,方法是解耦波导对并在阵列中实现可调定向耦合器(DCs)形式的子电路。此外,我们调节了量子干涉的程度,在子电路中最大可见度为0.962 ± 0.013。最后,我们展示了利用该芯片解耦多个波导对,控制多个单量子比特并行操作的可能性。我们的技术基于可重构的连续耦合波导阵列,实现了大规模光子量子信息处理,提供了一个具有更好制造误差容忍性和更低弯曲损耗的平臺,并能够直接访问和控制哈密顿量项及其演化。
结果
通过电光控制的可重构波导阵列
本文使用的11-RWA是在x面铌酸锂上制造的,设计的连续耦合区域为24毫米。通过在波导顶部放置电极,跨越阵列的横截面施加电场,从而实现设备的可重构性。有关该设备的更多细节可以在方法部分找到。
*销售超窄带滤光片,可定制
目前已做项目
634-半高1nm,660-半高3nm,780-半高0.3nm,795.1-半高1nm,905-半高1nm,920-半高1nm,1030-半高1nm,1030-半高0.3nm,1064.5-半高1nm,1064.5-半高0.5nm,1064.5-半高0.3nm,1270-半高0.3nm,1550-半高0.7nm,1560-半高0.3nm
划重点--销售晶圆和加工
ALOOI晶圆;--氧化铝薄膜晶圆,键合工艺和镀膜工艺
TAOOI晶圆--氧化钽薄膜晶圆,镀膜工艺
SINOI晶圆;--超低损耗氮化硅薄膜晶圆,
SICOI晶圆;新型量子光学平台
6寸LTOI晶圆批量供应;铌酸锂的有力的竞争对手,薄膜钽酸锂晶圆
8寸LNOI晶圆;8寸LNOI助力更大规模薄膜铌酸锂产品量产
LN/LT-SOI/Si/SIN W2W&D2W异质集成
EBL和6寸 150nmDUV加工微纳结构
我们为客户提供晶圆(硅晶圆,玻璃晶圆,SOI晶圆,GaAs,蓝宝石,碳化硅(导电,非绝缘),Ga2O3,金刚石,GaN(外延片/衬底)),镀膜方式(PVD,cvd,Ald,PLD)和材料(Au Cu Ag Pt Al Cr Ti Ni Sio2 Tio2 Ti3O5,Ta2O5,ZrO2,TiN,ALN镀膜刻蚀,ZnO,HfO2。al2o3。更多材料),键合(石英石英键合,蓝宝石蓝宝石键合)光刻,高精度掩模版,外延,掺杂,电子束直写等产品及加工服务(请找小编领取我们晶圆标品库存列表,为您的科学实验加速。
请联系小编免费获取原文

图1a所示的理想11-RWA设备可以通过电压依赖的三对角哈密顿量进行建模。

传播常数βn和相邻波导(WG)之间的耦合常数Cn,n+1(n表示波导标签)可以通过由22个电极生成的电场来控制,该电场为!v = [V1, V2, ..., V22],通过Pockels效应改变材料的折射率。设备的单位变换由以下公式给出:

其中L是设备的有效耦合长度。我们使用了一个光纤耦合的808 nm偏振激光二极管来进行设备的经典特性表征,控制设备的设置如方法部分所示。电压对应于非偏置方波脉冲的幅度。更多细节可以在补充材料中找到。
实际上,这个模型并不完全适用于实际设备。由于制造质量的限制,某些电极的性能不尽如人意。为此实验选择了表现最好的电极,以展示我们协议在隔离电路特定部分中的潜力。为了控制设备,可以使用基于模型的机器学习方法或无模型方法。在本文中,我们通过使用无模型方法获得控制电压,在该方法中为不同配置构建了基于测量的查找映射,然后使用这些映射搜索满足给定标准(例如,具有最小泄漏的目标反射率)的所需控制电压。更多细节可以在补充材料中找到。
在RWA中的子电路控制
使用RWA实现通用多端口干涉仪的一个关键要求是,能够将RWA分解为解耦的子电路,如图1所示(即将目标子电路的波导子集与其余部分解耦,并能够独立控制该子集),并且能够实现任意的2 × 2单位操作。
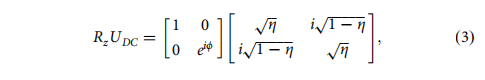
为了解耦子电路,需要将目标子电路边界波导与其余RWA之间的耦合常数减少到零。这将导致一个由三个子电路组成的结构,其哈密顿量被简化为如下形式的块对角矩阵:H11×11 = H1 ⊕ H2 ⊕ H3。因此,结果的单位变换也将是块对角形式:U11×11 = U1 ⊕ U2 ⊕ U3。这里,我们展示了一个2 × 2子电路的解耦,它为量子比特操作提供了基础,并且是高维单位分解方法的主要构建块。一个通用的2 × 2单位可以表示为:

其中UDC是可调定向耦合器(DC)的单位变换,η表示其反射率,Rz是相位移器的单位变换,ϕ定义为相位。在我们的技术中,η和ϕ都依赖于电压,在本文中,我们将测量限制在η上。
实际上,由于电压范围有限,达到零耦合常数可能是困难的。这会导致解耦不完全,并且光功率从目标子电路泄漏到其余波导中。泄漏可以通过以下定义来量化:

其中Pi是WGi处的标准化测量输出功率的百分比,k是感兴趣的子电路索引,N是波导的总数。在本文中,我们展示了由WG1和WG2组成的子电路的解耦(如图1所示)。由于这是一个边缘子电路,RWA将被分割成两个子电路,而不是三个。我们通过将7V电压施加到RWA上的电极4(V4 = 7 V)来实验证明,减少了方程(1)中C2,3的值。具体来说,对于WG1中的光输入,泄漏从63%减少到33%,对于WG2中的光输入,泄漏从81%减少到35%,与施加0电压到电极4(V4 = 0 V)时的情况相比(见图1b和补充材料)。我们通过将V1从-10V调节到10V(见图1b和补充材料)来控制DC1,2的反射率η,进一步实现了在11-RWA内实现可调DC的子电路。

图1 | 11-RWA的示意图和独立控制子电路DC1,2和DC8,9的协议。
a 11-RWA具有11个波导(黑色),通过施加在电极(橙色)上的电场编程,实施一个电压依赖的单位变换U11 × 11(!v)。
b 为了实现本文中的实验,电极配置,RWA的横截面,以及子电路DC1,2和DC8,9的示意图。通过将光学模式1和2从电路的其他模式中解耦,WG1和WG2作为独立耦合系统DC1,2起作用。本文使用路径编码,即,0j i = 0T被编码为光学模式1中的光子,1j i = 1T被编码为光学模式2中的光子。c 通过解耦和后选,单光子输入态∣ψ1和∣ψ2分别由两个2 × 2单位变换独立处理,有效地实施两个单量子比特量子门操作。

图2 | 子电路DC1,2的解耦与控制。
a 输入波导1(上)和2(下)中光在芯片内传播的数值仿真,其中DC1,2被解耦,V1 = 0 V。
b 实验测量的RWA的光学输出功率,分别为输入波导1(上)和2(下),作为电极1上的电压函数,基于图1c中的配置。
图2a报告了光通过RWA传播的仿真,当光被注入WG1和WG2时,施加了解耦电压到电极4。在这些仿真中,哈密顿量随设备长度演化,概率分布通过参考文献38中的模型计算,没有电压幅度限制。这些结果与图2b中显示的测量反射率很好地对齐。在限制解耦电压以避免对设备造成物理损坏的情况下,部分光会在传播过程中泄漏到其余的RWA中。关于泄漏与解耦电压关系的仿真可以在补充材料中找到。在图2b中,我们报告了来自11-RWA的实验测量,分别为WG1和WG2中的光输入的电压依赖输出功率。
可重构量子干涉
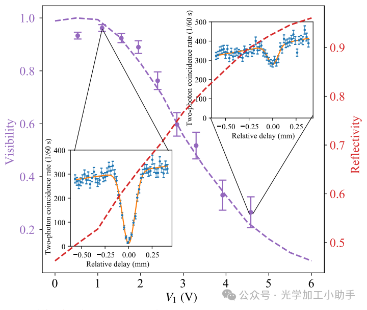
生成高可见度的双光子量子干涉的能力对于光子量子技术至关重要。我们在子电路DC1,2中进行了可重构量子干涉实验,为连续耦合集成光子系统提供了概念验证。由自发参量下转换源(见方法)产生的波长为807.5nm的光子对被注入WG1和WG2,并且输入态为1/√2(∣01i + ∣10i),如图1a所示(编码方案在图1的说明中解释)。我们在扫描其中一个光子束的物理延迟线时,测量了双光子重合率,并且在不同的DC1,2反射率下进行测量。理想情况下,当η=0.5时,两个光子从同一波导出来,输出态为1/√2(∣00i + e^iψ∣11i),由于“光子聚集”效应,输出概率为1,导致两个波导输出之间的重合计数为零。
可见度是量子干涉实验中HOM“深谷”对比度的度量。每个实验通过测量双光子重合计数,作为双光子路径之间的相对延迟函数,在固定电压配置下进行,如图3中的插图所示(蓝色数据点)。使用带有线性项的高斯函数拟合测量结果,以提取可见度(以橙色线条表示)。关于拟合过程的详细信息提供在补充材料中。插图展示了在两个不同电压下的两个实验示例,对应于两个不同的反射率。反射率η = 0.496(V1 = 0.5 V)时的可见度为V = 0.962 ± 0.013。反射率η = 0.897(V1 = 4.5 V)时的可见度为V = 0.265 ± 0.058。反射率η作为电压的函数是通过图2b中的功率测量计算的,并以红色虚线表示。然后,重复该过程,以扫描可见度测量(以紫色数据点表示),并在电压范围内进行扫描,该范围对应于反射率从0.5到1。最后,理想的可见度作为电压的函数从相同电压下的反射率计算得到,并以紫色虚线表示。计算过程可以在补充材料中找到。结果表明,测量到的可见度与理想计算的可见度一致。
并行量子门
控制多量子比特系统对于先进的量子技术至关重要。我们通过在RWA内同时对两个独立量子比特执行单量子比特操作来展示这一能力。我们实现了第二个子电路DC8,9,如图1c和图4a所示,电极配置如图1b所示。在V13和V20上施加解耦电压,V16 = −4.5V用于移动反射率曲线,从而获得更大的可调反射率范围。
为了展示在DC1,2和DC8,9上并行实现单量子比特门的能力,我们将两束平衡激光束分别发射到两个子电路中,通过50/50 808 nm光纤耦合分束器将激光分成两束,并测量4种不同输入组合的输出功率。我们通过同时调节两个电极来构建查找映射(见补充材料)。实现单量子比特X、H和I门所需的反射率分别为η = 0、0.5和1。我们基于测量的查找映射,通过对每个DC的反射率曲线进行线性拟合,找到了相应的电压,从而运行并行量子门。在图4b中,我们报告了基于后选结果的理想和测量真值表,以及所有两单量子比特门组合的保真度,忽略了泄漏。
并行操作的后选平均保真度(输入态i ∈ {0, 1, 2, 3} × {∣00i, ∣01i, ∣10i, ∣11i})由以下公式给出:F = 1/4 Σ(i=1 to 4) Fi,其中Fi = Σ(j=1 to 4) √(PTi,j / PMi,j),Fi是输入态i的目标与测量输出功率分布之间的保真度,求和是对输出态j ∈ {0, 1, 2, 3} × {∣00i, ∣01i, ∣10i, ∣11i}进行的。标准化功率分布计算为PMi,j = MI(j) Σ(k=1,2,8,9) Mk,其中I(j): {0, 1, 2, 3} → {1, 2, 8, 9}是状态编码j与波导索引之间的索引映射,Mk是输出波导k的测量功率。
所有并行量子门实验的后选平均保真度为88.5%。它们相对较好,除了在某些情况下DC8,9上的I和X门涉及时较差。这是因为基于有限控制创建的查找映射并未完全覆盖设备可以实现的单位阵列空间,且缺乏实现DC8,9上高保真I和X门的解决方案。
在所有并行量子门实验中,跨11个波导的整体平均保真度为74%,比后选平均值低约14.5%,这是由于受限可控性导致的泄漏。整体保真度f计算为f = 1/4 Σ(i=1 to 4) fi,其中fi = Σ(m=1 to 11) √(pTi,m / pMi,m)是整个设备中输入态i的目标与测量输出功率分布之间的保真度。标准化功率分布计算为pMi,m = Mi(m) / Σ(m=1 to 11) Mi(m)。
需要注意的是,这里仅使用了可用控制电极的一小部分,我们的仿真(见补充材料)表明,增加电极数量并扩大电压范围可以增强可控性,从而提高整体保真度。尽管还需要进一步优化以找到更好的控制电压,但我们的结果证明了概念的可行性。

图3 | 作为V1函数的Hong-Ou-Mandel (HOM)干涉测量。插图显示了在施加于电极1的两个不同电压下进行的双光子干涉实验,其中蓝色点代表作为相对延迟函数的测量双光子重合率,数据积分时间为60秒,橙色线为拟合结果。误差条表示基于泊松光子统计假设的标准差。左侧插图展示了高可见度配置,右侧插图展示了低可见度配置。可见度从拟合中估计,并作为电压的函数绘制,显示为紫色点。可见度的误差条基于补充材料中的详细计算。红线是根据图2b中该配置的反射率与电压的关系测得的反射率。紫色虚线显示了从相同电压下的反射率计算的理论可见度与电压的关系。
讨论
在本文中,我们展示了在大规模RWA上实现的可重构量子干涉和并行单量子比特操作,这是相较于以往静态光子WA(如文献35、36所示)或不能直接和完全可控的光子WA(如文献47所示)的一大进步。虽然热光效应目前是可重构光子电路的主要方法,但由于热光效应在材料中的扩散传播会导致串扰,它无法用于构建完全可控的波导阵列设备48。相比之下,在本研究中我们使用了电场,该电场由于邻近电极的屏蔽效应而被限制在材料内,从而实现了电光设备中的稳定和精确控制49。
我们的协议展示了在不同配置下隔离子电路的明显潜力。然而,制造缺陷影响了几个电极的性能,限制了实验中可测试的波导对的数量。未来的努力应集中在改善制造方法,以确保更可靠的电极性能,从而允许更广泛地测试不同波导对组合。
除了改进制造之外,增强对整个芯片的全局控制有两个主要方向。首先,延长设备长度可以增强电光重构能力,同时增加活跃控制电极的数量并扩展电压范围,可以减少泄漏,扩大反射率范围,并提高整体保真度,如补充材料中所示。对于这个更复杂的设置,仍需要进行实验验证,未来的研究应探索更多种类的波导对,以加深对设备控制能力的理解。其次,尽管RWA的单个部分实现了有限的一组N × N单位变换,但级联多个设备可以实现任意的N × N单位变换。这在文献37中已被理论和数值证明,即使在有限控制和有限阵列大小等约束下也是如此。例如,大约20个RWA部分可以实现11维Haar随机单位矩阵,且平均保真度超过99.9%。因此,增强全局控制或级联额外部分预计能支持包含n > 2个波导的电路操作。
本文中使用的基于测量的查找映射方法解决了为制造的设备建立精确数学模型的挑战。我们在本文中主要集中于通过功率测量构建反射率和泄漏的映射。该方法可以扩展到同时提供相位信息的设置。这将允许更好地表征子电路之间的泄漏和光功率串扰。相位信息可以通过经典光39,50,51或通过HOM测量52–54获得。在本研究中,我们固定了施加于两个电极的电压步进,在映射范围内创建了均匀的分辨率。随着更大电路和改进控制的需要增加控制电极的数量,构建查找表的复杂性也随之增加。为了解决这一计算挑战,可以使用非均匀或自适应采样来有效地优化分辨率。此外,机器学习方法(如贝叶斯优化55)可以同时自动化构建查找映射和优化过程。
为了扩展该设备在量子计算应用中的能力,实现一个两量子比特的CNOT门至关重要。有几种潜在的途径可以实现这一目标。一种方法是通过遍历其控制参数或使用其他机器学习方法,直接在查找映射中定位两量子比特门的目标单位阵列39,40,55。另一种选择是设计一个自然实现CNOT门的设备,而不需要任何应用的控制30,31。然而,这种方法在增加可调性时会面临可控性问题。此外,CNOT门可以分解为三个部分,每个部分仅实现单量子比特门56。通过级联三个RWA部分来实现这一点,每个RWA都需要实现单量子比特门。
为了进一步提高此类设备的性能和可扩展性,需要在设备设计和制造方面付出更多努力。例如,新开发的z切薄膜铌酸锂平台57允许不同的电极模式,并减少占地面积,同时提供片上单光子源58,59和探测器60的能力。本研究中使用的建模方法基于文献38,假设实值的三对角哈密顿量和线性电压-哈密顿量依赖关系。尽管该理想模型提供了有用的见解,但已证明它与实际设备的行为有所偏离40。将FDTD传播仿真61与电场仿真结合,可以提供更准确的设备表示。然而,这种方法需要大量的计算资源,更适用于尺寸较小的设备。
这里展示的结果突显了该设备作为任意单位变换17,20的基本构建模块的潜力,或者作为实现离散方案9,10的另一种方法,具有减少弯曲损耗(见补充材料)和对制造误差的鲁棒性等优点。除本文所展示的应用外,其他潜在应用包括高维量子计算62和拓扑量子计算63。值得注意的是,波导阵列已广泛用于展示拓扑效应。这些效应可以用于生成拓扑保护的量子态并构建拓扑稳健的量子门25,27,64,65,提供了一种实现通用门集的替代方法。我们的结果表明,构建集成的线性光学量子电路,通过连续耦合的方式操作光子态,具有潜在的应用于量子计量学、量子模拟66和量子信息处理的前景。
总结
本研究是首次通过使用连续耦合波导阵列,而非使用分束器网络(如Reck或Clements方案),作为光子量子计算的新架构的概念验证。所展示的设备通过施加电极电压实现子电路的可控操作,从而实现通道解耦。我们在子阵列中实现了高可见度(96%)的双光子量子干涉,这是使用此技术实现量子电路的关键步骤。此外,我们成功地展示了对两个子电路上单量子比特门的并行控制。此项工作在量子信息科学与光子工程之间建立了重要的联系,展示了RWAs精确控制在未来量子技术中的潜力。这些结果为该类设备的设计、制造和控制的进一步研究开辟了新的方向。
方法
实验设置
使用偏振808 nm激光和多通道光纤耦合高速光功率计与示波器进行经典特性表征。多通道AWG用于生成脉冲,并将其应用于电极以编程11-RWA。RWA每个输入波导的静态经典特性功率分布是通过CCD相机在RWA输出面测量的功率强度提取的。在并行门测量中,808 nm激光通过50/50 808 nm光纤耦合分束器分成两束光。
量子干涉测量设置的示意图如图5所示。使用类型1自由空间自发参量下转换(SPDC)单光子源(紫色虚线框)和单光子计数模块(SPCMs)生成和探测光子对。SPCMs来自Excelitas Technologies(SPCM-800-12-FC),其测量的暗计数率约为30/s。每个通道的计数率约为8000/s,预计偶然计数率每分钟少于1次。传输损失主要归因于光纤到芯片的耦合,这是由光纤和波导模式之间的不匹配导致的。总传输损失为9.8 dB(90%),设备的总长度为62 mm。通过数值仿真,我们估计波导支持的模式与光纤模式之间有80%的重叠,并且由于电极的存在,金属引起的传播损失可忽略不计。考虑到我们设备的测量传输,这对应于1.3 dB/cm的传播损失系数。请注意,这个值是实际传播损失系数的上限,因为该估计没有考虑可能导致光纤到芯片耦合效率降低的其他损失因素。一个1mm的BiBO晶体被403.75 nm,80 mW的连续激光泵浦。生成的两个光子具有3°的开角,通过两个棱镜镜子分开,经过带宽为3.1 nm的窄带滤光片,然后耦合到两个PMF中。一个偏振保持光纤(PMF)安装在电机控制的舞台上,实现可调延迟。光子的偏振从水平旋转到垂直,然后耦合到PMF中。单模光纤(SMF)用于耦合芯片输出。单光子实验的积分时间为60秒。
设备制造
11-RWA采用退火和反向质子交换技术,通过x-cut铌酸锂制造。设计的波导模式直径为5 μm,波导间距为5 μm。金电极宽度为2.5 μm,电极间距为2.5 μm38。铌酸锂和金电极之间放置了200 nm的二氧化硅缓冲层。更多设计和制造方法可以在文献40,67,68中找到。
控制脉冲
在电极上施加控制电压会导致铌酸锂的直流漂移,这是由于电荷积累引起的,这会导致芯片的光输出态漂移69。通过AWGs生成的100 Hz调制的非偏置方波脉冲用于稳定光输出态70。每个电极独立连接到一个任意波形发生器(AWG)的通道。外部触发器用于同步多个AWG。经典特性表征中的电压依赖输出功率分布是通过方波脉冲的20个周期后选部分的平均值获得的。在量子干涉测量中,方波脉冲被连续施加,直到实现足够的双光子重合计数积分。经过数十小时的长期漂移测试,发现通过持续应用此控制方法并测量芯片输出态,漂移可以忽略不计。此外,经典光特性表征在与HOM实验不同的日子进行,确认了实验的可重复性。
文章名称:“”Programmable quantum circuits in a large-scale photonic waveguide array“”
作者:Yang Yang1, Robert J. Chapman1,2, Akram Youssry1, Ben Haylock3,4, Francesco Lenzini3,5,Mirko Lobino3,6,7 & Alberto Peruzzo
单位:Quantum Photonics Laboratory and Centre for Quantum Computation and Communication Technology, RMIT University,
