上海奥麦达微电子有限公司

专业高效
微纳加工公司

LiNbO3-SiC+SAW器件--用于 5G n77 和 n78 频段应用的铌酸锂 / 碳化硅异质结构声表面波滤波器

许慧平,付苏磊,苏荣轩,刘培森,张帅,卢增田,肖博源,王睿,宋成(IEEE会员),曾飞,王卫彪,以及冯(这里“Feng”可能是一个人的姓,但由于没有全名不太好准确翻译具体指代哪位,可能是常见的“冯”姓对应的拼音写法)
摘要——5G通信系统的频谱大幅扩展,这对射频(RF)滤波器在提高其工作频率和带宽方面提出了更高的要求。为此,本研究致力于解决具有挑战性的5G n77和n78频段的滤波方案,并基于X切铌酸锂(LN)/碳化硅(SiC)异质结构,利用大耦合水平剪切(SH)模式成功实现了相应的无杂散声表面波(SAW)滤波器。在此,我们首先从理论和实验两方面研究了杂散模式的抑制方法,并总结出一个有效的归一化铌酸锂厚度(hLN/λ)范围为0.15 - 0.30,用于抑制瑞利模式和高阶模式,以及将叉指换能器(IDT)倾斜约24°以消除横向模式。我们还制作了波长(λ)从0.95到2微米的谐振器,其在2.48到4.21吉赫兹范围内呈现出可扩展的谐振,且通带内无任何波纹。最终构建了两款完全满足5G n77和n78全频段要求的滤波器,其中心频率(fc)分别为3763兆赫兹和3560兆赫兹,3分贝分数带宽(FBW)分别为24.8%和15.6%,带外抑制(OoB)分别为18.7分贝和28.1分贝。这项工作表明,X - LN/SiC异质结构是声表面波(SAW)滤波器在5G商业应用中一种很有前景的基础材料。 关键词——铌酸锂(LN),n77频段,n78频段,碳化硅(SiC),杂散模式抑制,声表面波(SAW)滤波器。
划重点
XYZ切 POI wafer,LN/LT-SIC/Si/热氧片供应,
膜厚均匀性+-5nm

我们常见的键合技术 有硅玻璃键合 金金键合,金锡键合,金硅键合,临时键合等等 。但是当我们遇到一些需要低温键合,或者一些特殊材料时,或者应用场景时,上述键合方式很难满足一些特殊场景的应用,

因此科学家提出了表面活化键合技术,这种技术 使键合技术所覆盖的材料范围更加广泛,比如

GaAs-SiC,InP-Diamond, LN-SiC,Si-Si,GaN-Dlamond,Sl-Diamond,蓝宝石-蓝宝石,金刚石-sic, sic-inp,sic-LN, ic-ga2o3,glass--glass,Si-SiC,Si-GaAs、GaAs- SiC、Si–SiC、SiC–SiC、Ge–Ge  、Al 2 O 3 -Al 2 O 3 ,GaP-InP, GaN-Si、LiNbO 3 -Al 2 O 3 、LiTaO 3 -Si and more(晶体,陶瓷,等等)

扩展的多材料的体系,将键合技术扩大了应用范围

*MEMS传感器             *光子集成电路                   *半导体激光器

*功率器件                        *3D封装                        *异质集成

微信图片_20241205091355

划重点--代工,代工,代工,卖设备

我们为客户提供晶圆(硅晶圆,玻璃晶圆,SOI晶圆,GaAs,蓝宝石,碳化硅(导电,非绝缘),Ga2O3,金刚石GaN(外延片/衬底)),镀膜方式(PVD,cvd,Ald,PLD)和材料(Au Cu Ag Pt Al Cr Ti Ni Sio2 Tio2 Ti3O5,Ta2O5,ZrO2,TiN,ALN,ZnO,HfO2。。更多材料),键合(石英石英键合,蓝宝石蓝宝石键合)光刻,高精度掩模版,外延,掺杂,电子束直写等产品及加工服务(请找小编领取我们晶圆标品库存列表,为您的科学实验加速

激光器芯片/探测器芯片/PIC芯片封装耦合服务"

请联系小编免费获取原文,也欢迎交流半导体行业,工艺,技术,市场发展

微信图片_20241205091402
一、引言
近年来,5G无线通信蓬勃发展,其最新成果推动了物联网(IoT)和认知无线电(CR)等应用的发展[1]、[2]、[3]、[4]。5G新空口(NR)的关键特征之一是在频谱频率范围和频段数量方面有了大幅扩展[5]、[6]、[7]。4G长期演进(LTE)的频谱分配在3吉赫兹以下,而5G系统在纳入这些频段的同时,将频率范围扩展到了6吉赫兹以下(3 - 6吉赫兹)和毫米波(mmWave)频段[8]、[9]、[10]。为了推动5G应用的规模化发展,移动终端中射频前端(RFFE)模块的声学滤波器应跟上5G新空口(NR)提出的新要求。也就是说,声学滤波器应获得更高的频率和更大的带宽,以适应全球漫游中不断出现的频段[10]、[11]、[12]、[13]。特别是对于n77(3300 - 4200兆赫兹)和n78(3300 - 3800兆赫兹)频段,它们的工作频率超过3.5吉赫兹,且具有高达24%的超大分数带宽(FBW),这些都是需要解决的典型问题[14]。 论文手稿于2023年5月15日收到;于2023年7月25日被接收。发表日期为2023年7月28日;当前版本日期为2023年8月29日。 本研究工作部分得到了中国国家重点研发计划(项目编号:2022YFB3606700)的支持,部分得到了中国国家自然科学基金(项目编号:52002205)的支持,部分得到了广东省重点研发计划(项目编号:2020B0101040002)的支持,部分得到了北京市自然科学基金(项目编号:JQ20010)的支持。(通讯作者:付苏磊;潘峰。) 许慧平、付苏磊、苏荣轩、刘培森、肖博源、王睿、宋成、曾飞和潘峰就职于清华大学材料科学与工程学院先进材料教育部重点实验室,中国北京100084(电子邮箱:suleifu@163.com;panf@mail.tsinghua.edu.cn)。 张帅就职于江南大学物联网工程学院,中国无锡214000。 卢增田就职于东南大学机械工程学院,中国南京211189。 王卫彪就职于无锡先导电子有限公司,中国无锡214124。 数字对象标识符:10.1109/TUFFC.2023.3299635声表面波(SAW)滤波器长期以来一直是移动通信的主流滤波方案,因其具有制造简单、性能稳定、尺寸小巧以及成本低廉等优点[15]、[16]。在4G - LTE系统中,商用的块状铌酸锂(LN)和钽酸锂(LT)晶片被用作声表面波(SAW)滤波器的压电基板,但由于它们的相速度(Vp)和机电耦合系数(K²)不足,无法完全满足现有的5G频段要求。最近,薄膜转移技术取得了进展,为这些传统的声表面波(SAW)材料开辟了新的前景[17]。使用钽酸锂(LT)薄膜的声表面波(SAW)器件表现出优异的品质因数(Q)值和良好的功率处理能力;然而,其分数带宽(FBW)原则上小于5%[18]、[19],无法满足5G宽带器件的要求。相比之下,得益于其优越的本征耦合系数,铌酸锂(LN)薄膜在提供大带宽方面颇具优势[20]。在制造固态安装器件时,高速的硅(Si)和碳化硅(SiC)是与铌酸锂(LN)薄膜相结合的常见基底处理材料,而二氧化硅(SiO₂)和多晶硅(p - Si)是可选的中间层,用于减少温度漂移或提供更好的能量限制[21]、[22]、[23]。 据广泛报道,基于X - LN薄膜异质结构的声表面波(SAW)滤波器能够呈现出超过3吉赫兹的中心频率(fc)和大于10%的大分数带宽(FBW),这利用了具有适中相速度(约4000米/秒)和大机电耦合系数(K²)的水平剪切(SH)模式[24]、[25]。然而,诸如瑞利模式和横向模式等杂散模式并未得到充分抑制,这导致通带内出现严重波动[26]。结果,相应滤波器的通带性能变差,影响了它们在行业内的认可度。因此,寻求纯净且无杂散的滤波器响应成为亟待解决的问题。 我们团队在32°Y - LN/SiO₂/p - Si/Si方面的最新实验结果确实实现了覆盖5G n77和n78全频段且通带相当平滑的声表面波(SAW)滤波器[27]。这一成果依赖于一些不可或缺的环节,包括多晶硅(p - Si)层以防止寄生表面传导(PSC)效应[18]、[28],铝/铜双层电极以降低欧姆损耗,以及两步光刻方案以区分串联和并联电极厚度。然而,这种多层结构存在工艺复杂以及电极制造公差小的问题,不利于大规模生产。因此,从材料设计的角度探索一种简单且易于制备的声表面波(SAW)结构来实现无杂散的5G n77和n78滤波器具有重要意义,这有望为制造具有成本效益的6吉赫兹以下滤波器奠定基础。 为了将声表面波(SAW)技术应用于5G新频段,声表面波(SAW)异质结构经历了快速发展[29]。在材料体系的演变过程中,第三代半导体碳化硅(SiC)由于具有大相速度、宽带隙和良好的散热性能,有很大潜力替代传统半导体硅(Si)材料[30]、[31]。 在这项工作中,对X - LN/SiC异质结构进行了理论和实验研究,以构建用于5G通信的滤波器。通过调节归一化铌酸锂(LN)薄膜厚度(hLN/λ),可在0.15 - 0.30的范围内消除瑞利模式,同时高阶模式也能得到很好的抑制。随后,通过优化倾斜换能器方法对横向模式的抑制进行了研究,并验证了最佳倾斜角(β)值约为24°。此外,在X - LN/SiC上制备了波长(λ)在0.95至2微米之间的无杂散声表面波(SAW)谐振器,其在2.48至4.21吉赫兹范围内呈现出可扩展的谐振。基于所展示的谐振器,最终实现了两款滤波器,其中心频率(fc)分别为3763兆赫兹和3560兆赫兹,3分贝分数带宽(FBW)分别为24.8%和15.6%,最小插入损耗(ILmin)分别为1.53分贝和1.24分贝,能够以基本平坦的通带覆盖n77和n78全频段。值得注意的是,这些滤波器是在通过直接键合和研磨技术制造的简单双层异质结构上进行加工的,而叉指换能器(IDT)电极是通过标准的一步光刻方案进行图案化的,电极材料采用常用的铝。 到目前为止,在实现5G n77和n78频段方面已经提出了几种方案,由于声表面波(SAW)解决方案具有成本低、重复性好以及平面工艺良好等优点,无疑是最受期待的[14]、[27]、[32]。这项工作成功地利用简单的异质结构X - LN/SiC实现了高性能的n77和n78声表面波(SAW)滤波器,有望在5G系统中得到推广。尽管目前由于成本高,碳化硅(SiC)尚未得到广泛应用,但随着其在商业应用中的成熟,通过展示其在性能提升和实现研究突破方面不可或缺的功能,其采用和部署在未来可能对成本的敏感度会降低。 本文的结构如下。第二节通过有限元模拟对谐振器进行理论研究,并提出杂散模式的抑制方法。第三节描述异质结构材料的制造工艺以及基于该材料的相应声表面波(SAW)器件,然后分析声表面波(SAW)谐振器和滤波器的特性,并与模拟结果进行比较。第四节给出结论。
二、理论分析与设计方案
A. 谐振器的基本结构与模拟模型 基于X - LN/衬底双层异质结构的单端口谐振器的主视图示意图如图1(a)所示,图中标注了关键尺寸和设计参数的符号。X - LN薄膜安装在处理衬底上,铌酸锂(LN)薄膜顶部设有铝制光栅。图1(b)展示了谐振器的俯视图示意图,并指出了所激发声波的传播方向。为了有效激发水平剪切(SH)模式,选择了 - 10°Y的传播方向[33]、[34]。为了探究谐振器的声学特性,在商业有限元软件COMSOL Multiphysics 6.0中建立了其单元块的三维模型,如图1(c)所示。沿x和y方向的边界设置为周期性条件,衬底和完美匹配层(PML)的厚度分别设置为5λ和1λ。设置完美匹配层(PML)的目的是减小模型尺寸并消除底部边界反射的声波[35]。电极(a)的宽度设置为λ/4。
B. 瑞利模式与高阶模式分析
作为基于水平剪切(SH)模式的谐振器中常见的问题,瑞利模式很可能存在于水平剪切(SH)模式的谐振频率(fr)和反谐振频率(fa)附近,这会对声表面波(SAW)滤波器的通带性能和带外(OoB)抑制产生不利影响[36]。因此,在设计高性能滤波器的目标下,这个问题值得关注。在此,对瑞利模式在X - LN/SiC和X - LN/Si上出现的规律进行了比较。为了解决杂散瑞利模式的问题,同时提高主水平剪切(SH)模式的工作频率和耦合度,通过有限元方法(FEM)广泛研究了衬底类型和铌酸锂(LN)厚度(hLN)对水平剪切(SH)模式和瑞利模式的影响。在模拟中,λ取值为1微米,铝电极(he)的厚度设置为8%λ。用于X切且沿 - 10°Y传播的铌酸锂(LN)薄膜的欧拉角为(90°,90°, - 10°)。图1(d)和(e)分别总结了基于X - LN/SiC和X - LN/Si平台的两种模式的相速度(Vp)和机电耦合系数(K²)特性。为了清晰地识别瑞利模式的机电耦合系数(KRayleigh²)的趋势,图1(d)和(e)中的KRayleigh²曲线是使用原始KRayleigh²值的五倍绘制的。在此,相速度(Vp)根据fr和fa通过以下公式计算: vp = (fr + fa) × λ / 2 。(1) 机电耦合系数(K²)按照IEEE标准定义计算: K² = π fr /(2 fa) / tan[π fr /(2 fa)] 。(2) 如图1(d)所示,在X - LN/SiC中,两种模式的相速度(Vp)随着hLN/λ的增加而降低,因为当hLN/λ较小时,声波会更深地穿透到高速的碳化硅(SiC)衬底中[24]。水平剪切(SH)模式的机电耦合系数(KSH²)随着hLN/λ的升高而持续增加,直至hLN/λ达到0.48,但当hLN/λ超过0.40时,瑞利模式的幅度将急剧增强。当hLN/λ在0.15到0.30之间时,如灰色区域所示,由于KRayleigh² = 0,瑞利模式得到了充分抑制,而KSH²从21.2%变化到29.0%,水平剪切(SH)模式的相速度(Vp)从4628米/秒下降到4217米/秒。至于X - LN/Si平台上的水平剪切(SH)模式和瑞利模式,它们的速度也随着hLN/λ的增加而逐渐降低,如图1(e)所示。当hLN/λ相同时,X - LN/Si上水平剪切(SH)模式的相速度(Vp)比X - LN/SiC上的要小,这是由于碳化硅(SiC)的声速更高。需要注意的是,无论hLN/λ如何变化,在X - LN/Si上瑞利模式都无法得到缓解,这给基于X - LN/Si结构设计滤波器带来了障碍。此外,与X - LN/Si相比,X - LN/SiC中的瑞利模式对hLN/λ的敏感度更高,这也可以归因于碳化硅(SiC)的声速高于硅(Si),因为目标模式的机械能限制与特定衬底中纵波和横波的相速度密切相关[37]。图1(f)和(g)展示了X - LN/SiC和X - LN/Si平台上单端口谐振器的模拟导纳曲线,为了便于更好地比较,这些曲线依次手动偏移了100分贝。由于碳化硅(SiC)和硅(Si)衬底中的体声波(BAW)速度大于铌酸锂(LN)的速度,一些高阶模式可能会在铌酸锂(LN)薄膜中产生,这可能会降低带外(OoB)抑制或给在更高频率下工作的载波聚合(CA)频段带来额外的损耗[38]、[39]。如图1(f)和(g)所示,当hLN/λ小于0.25时,在X - LN/SiC上低于7吉赫兹未观察到高阶模式,而在X - LN/Si上,直到hLN/λ超过0.3,在低于8吉赫兹范围内也未观察到高阶模式。上述结果表明,较薄的X - LN薄膜有利于消除高阶模式,因为当压电薄膜太薄时,会发生严重的能量泄漏到非压电衬底中[40]。此外,根据体声波(BAW)截止频率的观点[38],体声波(BAW)截止频率与hLN无关且保持稳定,高阶模式的相速度(Vp)随着hLN/λ的增加而降低,所以大多数高阶模式随着hLN/λ的增长而增强。总体而言,只要hLN/λ保持相对较低,X - LN/SiC结构就能够在抑制瑞利模式和高阶模式的同时,保持水平剪切(SH)模式显著的机电耦合系数(K²)和相速度(Vp)。因此,后续关于制造5G宽带滤波器的研究重点放在了X - LN/SiC结构上。
微信图片_20241205091405
图1. (a)基于X - LN/衬底异质结构的单端口声表面波谐振器的主视图和(b)俯视图示意图。(c)用于有限元模拟的单元胞三维模型。基于不同异质结构,模拟得到的水平剪切(SH)模式和瑞利模式的相速度(Vp)和机电耦合系数(K²)值随hLN/λ变化的情况:(d)X - LN/SiC以及(e)X - LN/Si。基于(f)X - LN/SiC和(g)X - LN/Si结构、具有不同hLN/λ值的谐振器的模拟导纳(Y)曲线。
微信图片_20241205091407
图2. (a)X - LN/SiC结构在水平剪切(SH)谐振条件下计算得出的慢度曲线。(b)用于模拟横向模式的单元胞三维模型。(c)在波长(λ)= 1.2微米且铌酸锂(LN)厚度(hLN)= 250纳米时模拟得到的导纳曲线。(d)在所提出的主模式和横向模式的谐振频率下的位移分布示意图。
微信图片_20241205091410
图3. (a)常规叉指换能器、(b)活塞模式叉指换能器、(c)余弦加权叉指换能器和(d)倾斜叉指换能器的概念示意图。
C. 横向模式分析
多层声表面波(SAW)中通常面临的另一个问题是横向模式,它与沿叉指换能器(IDT)孔径的波导效应有关,并且可以在孔径方向的速度分布上反映出来[41]。为了分析X - LN/SiC结构中的横向模式,绘制了水平剪切(SH)谐振条件下的慢度曲线。慢度曲线是由频散曲线推导而来的,频散曲线是通过有限元方法(FEM)计算不同横向波数下水平剪切(SH)模式的本征频率得到的[42]、[43]。 如图2(a)所示,X - LN/SiC的慢度曲线呈凸形,这表明存在横向模式的产生[44]。为了进一步分析横向模式,针对X - LN/SiC结构上波长(λ)= 1.2微米、铝电极厚度(he)= 80纳米的叉指换能器(IDT)建立了一个三维无限周期模型,如图2(b)所示,并且将铌酸锂(LN)厚度(hLN)设置为250纳米。上述模型模拟得到的导纳和电导(G)情况如图2(c)所示,在主谐振之后观察到了许多横向模式,这与凸形的慢度曲线是相符的。图2(c)导纳曲线中蓝色箭头所标记的主模式和横向模式在谐振频率下的位移分布示意图如图2(d)所示,这清楚地揭示了它们的横向振动特性。 为了满足商业高性能滤波器的严格要求,必须消除横向模式[45]。到目前为止,已经报道了许多抑制横向模式的方法,包括活塞模式技术[46]、变迹加权法[47]和倾斜换能器法[48],它们具有代表性的概念示意图如图3所示。在此,变迹加权法和活塞模式技术虽然表现出良好的抑制能力,但也会导致品质因数下降或增加叉指换能器(IDT)的制造难度。相比之下,一种巧妙的倾斜换能器法已被证明在多层声表面波(SAW)中抑制横向模式是简单且有效的[49]。倾斜角β是倾斜换能器法中需要优化的主要参数,其定义如图3(d)所示,即连接具有相同电位的电极指端的直线与垂直于电极指的直线之间的夹角。对于特定的多层结构,最佳β值是不同的。例如,在30°Y - LN/SiO₂/Si结构中已确定β = 16°是有效的[50],并且在LT/SiO₂/4H - SiC结构中β = 10°时也能实现有效抑制[48]。X - LN/SiC结构的倾斜换能器法仍有待在本文后续部分进行研究。
微信图片_20241205091414
图4. (a)(110)晶面的X射线衍射(XRD)摇摆曲线和(b)X - LN薄膜的原子力显微镜(AFM)图像。(c)4H - SiC衬底上X - LN薄膜的横截面透射电子显微镜(TEM)图像和(d)高分辨率透射电子显微镜(HRTEM)图像。
微信图片_20241205091416
图5. (a)和(b)波长(λ)= 1.2微米且倾斜角(β)= 24°的谐振器的光学显微镜图像。(c)和(d)波长(λ)= 1.0微米且倾斜角(β)= 24°的谐振器在不同放大倍数下的扫描电子显微镜(SEM)图像。
三、材料与器件制造
A. 异质结构材料的制造与分析 关于异质结构材料的制备,采用表面活化键合(SAB)方法将一片4英寸的单晶X - LN薄膜转移到4英寸的4H - SiC衬底上[51]、[52],4英寸的单晶X - LN晶片和4英寸的高绝缘4H - SiC晶片均可在市场上购得。更具体地说,首先通过离子束轰击对X - LN块状晶片和4H - SiC晶片的表面进行活化处理。然后,将这两个活化后的表面在无额外负载和加热的情况下直接键合在一起。最后,通过研磨工艺将X - LN薄膜减薄至接近目标厚度,再利用化学机械抛光(CMP)进行抛光,以获得光滑表面并精细调整铌酸锂(LN)的厚度。 为详细了解这种异质结构的特性,还对具有不同hLN值(包括250、350、450和550纳米)的X - LN/SiC衬底进行了研究。 hLN = 350纳米的双层衬底的典型材料特性如图4所示。图4(a)展示了通过高分辨率X射线衍射(HRXRD)测试的X - LN(110)晶面(x平面)的摇摆曲线。X - LN薄膜的半峰全宽(FWHM)为136弧秒,这证明了其高单晶质量。如图4(b)所示,通过原子力显微镜(AFM)表征可知,X - LN薄膜的均方根表面粗糙度(RMS)为0.281纳米。较低的均方根表面粗糙度表明X - LN薄膜表面非常光滑,因此可以在其上构建叉指换能器(IDT)。双层衬底横截面的透射电子显微镜(TEM)图像如图4(c)所示。X - LN薄膜上的铂(Pt)层用作粘结剂,有助于制备透射电子显微镜(TEM)样品。铌酸锂(LN)薄膜的厚度与预设值相符,并且X - LN与SiC之间的界面笔直清晰,无孔洞和裂纹。如图4(d)所示,界面的高分辨率透射电子显微镜(HRTEM)图像展示了更多细节,X - LN和SiC清晰的晶格条纹进一步证实了它们的高质量晶体特性。此外,在键合界面处可以观察到一层厚度约为6纳米的非晶层,这是表面活化键合(SAB)技术的常见现象[52]、[53]。
微信图片_20241205091419
图6. 波长(λ)= 1.2微米、铌酸锂(LN)厚度(hLN)= 250纳米且倾斜角(β)不同的倾斜叉指换能器(tilted-IDT)谐振器的实测导纳和电导曲线:(a)0°,(b)4°,(c)8°,(d)12°,(e)16°,(f)20°,(g)24°。(h)不同倾斜角下的实测史密斯圆图。
微信图片_20241205091422
图7. (a)波长(λ)= 1.2微米且铌酸锂(LN)厚度(hLN)= 250纳米的余弦加权谐振器的实测导纳和电导曲线。(b)具有不同叉指换能器(IDT)配置的谐振器的波特Q值结果。(c)具有不同叉指换能器(IDT)配置的实测史密斯圆图。
微信图片_20241205091424
图8. 波长(λ)= 1微米且铌酸锂(LN)厚度不同的谐振器的模拟及实测导纳和电导曲线:(a)和(b)hLN = 250纳米,(c)和(d)hLN = 350纳米,(e)和(f)hLN = 450纳米,以及(g)和(h)hLN = 550纳米。
微信图片_20241205091427
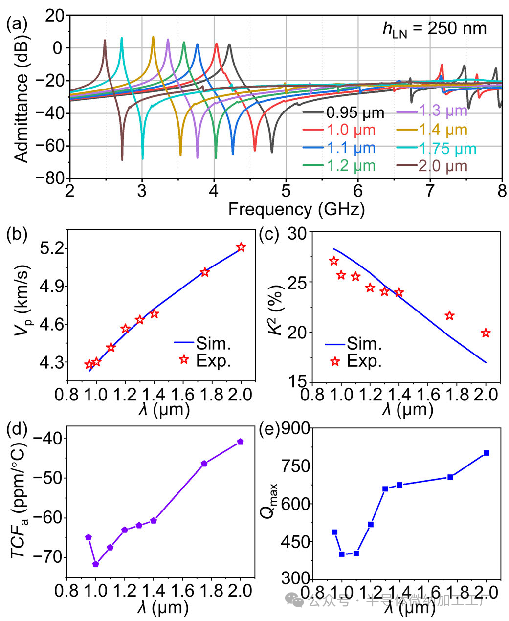
图9. (a)不同波长谐振器的实验导纳曲线。不同波长谐振器水平剪切(SH)模式的相速度(Vp)(b)和机电耦合系数(K²)(c)的计算(线)与测量(点)结果。上述谐振器的实验(d)温度系数(TCFa)和(e)最大品质因数(Qmax)值。
B. 谐振器的制造与分析
设计并制造了不同波长和倾斜角的谐振器。电极材料为铝,其厚度设定为80纳米。叉指换能器(IDT)图案通过标准光刻技术形成,而电极则通过电子束蒸发和剥离工艺制造。图5展示了波长(λ)= 1.2微米且倾斜角(β)= 24°的谐振器的光学显微镜图像,以及波长(λ)= 1.0微米且倾斜角(β)= 24°的谐振器的扫描电子显微镜(SEM)图像。规则排列的电极指形状良好,这证实了它们制造精良。对于所有谐振器,叉指换能器(IDT)孔径设定为30λ。电极指数量(Ni)和反射指数量(Nr)分别为200和20。 为了探究倾斜角β对横向模式抑制的影响,设计并制造了不同倾斜角的谐振器,其导纳和电导响应如图6(a) - (g)所示。这里,谐振器是在铌酸锂(LN)厚度(hLN)= 250纳米的X - LN/SiC上制备的。这些谐振器通过地 - 信号 - 地(G - S - G)探头和安捷伦E5071C矢量网络分析仪进行测量,信号与地探头之间的距离为150微米。当β = 0°,即采用常规叉指换能器(IDT)时,谐振器对横向模式缺乏抑制作用。随着β的增大,通带内的横向模式逐渐受到抑制。在史密斯圆图上绘制的阻抗曲线中也能观察到类似结果,如图6(h)所示。代表杂散模式的波纹随着β的增大而逐渐消失。当β = 24°时,低阶横向模式被成功消除,高阶横向模式几乎不可见。因此,24°是抑制横向模式的最佳倾斜角,这对设计无杂散且低损耗的滤波器具有指导意义。在接下来的内容中,如果没有特别说明,倾斜叉指换能器(tilted IDTs)特指β = 24°的倾斜叉指换能器。 作为一种常见的变迹方法,余弦加权叉指换能器(IDT)在抑制横向模式方面应用广泛[47]、[54]。图7(a)展示了波长(λ)= 1.2微米且铌酸锂(LN)厚度(hLN)= 250纳米的余弦加权谐振器的传输响应,与倾斜(24°)谐振器相比,它在抑制高阶横向模式方面表现略好,因为电导曲线中高阶横向模式产生的尖峰几乎不可见。进一步研究了不同叉指换能器(IDT)配置的波特Q值结果,如图7(b)所示。在此,波特Q值通过以下公式计算[55]: \(Q=\frac{\omega|S_{11}|\tau_{G}}{1 - |S_{11}|^{2}}\) (3) 其中,\(\omega\)是角频率,\(\tau_{G}\)和\(|S_{11}|\)分别是群延迟和反射系数\(S_{11}\)的幅值。在这方面,采用常规、余弦加权和倾斜(24°)叉指换能器(IDT)的谐振器的直接读出最大波特Q值(\(Q_{max}\))分别为714、486和591。具有明显横向模式的常规谐振器的波特Q值比其他两种配置的要高,因为变迹和倾斜换能器方法都会削弱Q值[56]。具体来说,倾斜谐振器的Q值下降可归因于结构中双向性的丧失以及相对较弱的电极反射[41],而余弦加权谐振器的Q值下降原因可能是谐振器中水平剪切(SH)波的辐射[47]。倾斜谐振器的Q值比余弦加权谐振器高。此外,如图7(c)所示的史密斯圆图中,余弦加权谐振器在谐振频率(\(f_{r}\))处表现出比倾斜谐振器更高的阻抗,这表明前者存在更大的欧姆损耗。因此,倾斜谐振器更有利于构建具有更陡峭滚降和更小插入损耗的高性能滤波器。 在解决了横向模式抑制问题之后,还研究了谐振器响应随铌酸锂(LN)厚度的变化情况,以详细了解X - LN/SiC异质结构上瑞利模式和高阶模式的变化。在此,我们研究了波长(λ)= 1微米、采用倾斜叉指换能器(IDT)且铌酸锂(LN)厚度不同的谐振器的实测导纳和电导曲线,并将其与相应的模拟导纳曲线进行了比较。如图8所示,实验和模拟导纳曲线基本吻合良好。实验得到的水平剪切(SH)模式的机电耦合系数(\(K_{SH}^{2}\))略小,这可能是由于在晶片转移过程中铌酸锂(LN)薄膜的晶体质量略有受损,导致刚度常数出现偏差[57]。同时,除了铌酸锂(LN)厚度(hLN)= 250纳米的情况外,瑞利模式都会导致不可避免的杂散响应,这验证了之前关于抑制瑞利模式的有利hLN/λ范围的模拟结果。对于铌酸锂(LN)厚度(hLN)= 250纳米的高阶模式,在7吉赫兹以下存在一个微弱的杂散信号,在一定程度上可忽略不计。随着铌酸锂(LN)厚度(hLN)的增加,高阶模式增强并向主水平剪切(SH)模式移动。总体而言,基于X - LN/SiC结构、铌酸锂(LN)厚度(hLN)= 250纳米且采用倾斜叉指换能器(IDT)的谐振器表现出全面的杂散模式抑制能力,是构建满足5G无线系统严格性能要求的滤波器的有希望的候选方案。 为了进一步研究基于铌酸锂(LN)厚度(hLN)= 250纳米的X - LN/SiC的声表面波(SAW)器件的特性,制造了波长从0.95到2微米、采用倾斜叉指换能器(IDT)的单端口谐振器,并对其特性进行了分析,结果如图9所示。图9(a)展示了它们的实测导纳曲线。谐振器在2.48到4.21吉赫兹范围内呈现出可扩展的谐振,并且在所有谐振器的水平剪切(SH)模式的谐振频率(\(f_{r}\))和反谐振频率(\(f_{a}\))之间均未观察到瑞利模式或横向模式,这表明这种异质结构能够实现服务于6吉赫兹以下大部分频段的无杂散滤波器。需要注意的是,在反谐振频率(\(f_{a}\))附近会出现一些轻微的波纹,这应该是测量中有限长度光栅导致的阻带谐振[58]、[59]。这些谐振器中6.5吉赫兹以下的所有高阶模式几乎都可以忽略不计,因为它们之间的最大导纳比(AR)甚至低于6分贝。在此,AR通过以下公式估算: \(AR = 20\log_{10}\left(\frac{Y_{r}}{Y_{a}}\right)\) (4) 在该公式中,\(Y_{r}\)和\(Y_{a}\)分别表示最大和最小导纳值。AR可被视为表征声波响应强度的指标。图9(b)和(c)展示了上述谐振器中水平剪切(SH)模式的相速度(\(V_{p}\))和机电耦合系数(\(K^{2}\))的计算和测量结果。随着波长(λ)的增加,测量得到的相速度(\(V_{p}\))从4281米/秒单调递增到5209米/秒,因为随着波长(λ)增大,声波会更深地穿透到高速的碳化硅(SiC)衬底中。测量得到的机电耦合系数(\(K^{2}\))呈现出从27.1%到19.9%的下降趋势。总体而言,相速度(\(V_{p}\))和机电耦合系数(\(K^{2}\))的实验结果与模拟值吻合良好。 随着频谱变得日益拥挤,需要具有陡峭裙边和良好温度稳定性的滤波器。因此,还研究了谐振器的反谐振频率温度系数(TCFa)和波特Q值。反谐振频率温度系数(TCFa)通过以下公式评估: \(TCFa = \frac{1}{f_{a,T}}\frac{\partial f_{a,T}}{\partial T}\) (5) 在此,\(f_{a,T}\)表示在每个测试温度下的反谐振频率[60]。反谐振频率温度系数(TCFa)的变化情况如图9(d)所示,一般来说,反谐振频率温度系数(TCFa)随着波长(λ)的增加而降低。在波长(λ)= 2.0微米时,反谐振频率温度系数(TCFa)达到最小值,最小值为 - 40.9 ppm/°C。由于碳化硅(SiC)衬底的热膨胀系数(TEC)较低,基于X - LN/SiC结构的声表面波(SAW)谐振器表现出比块状铌酸锂(LN)晶片更低的频率温度系数(TCF)[34]、[61]。此外,这些谐振器的最大波特Q值(\(Q_{max}\))基本上随着波长(λ)的增加而上升,如图9(e)所示。在此,引入了修正的巴特沃斯 - 范戴克(mBVD)等效电路来准确提取最大波特Q值(\(Q_{max}\))[55]。以波长为1.2微米和2.0微米的谐振器为例,它们的实测和拟合导纳及相位曲线分别如图10(a)和(c)所示。修正的巴特沃斯 - 范戴克(mBVD)模型的示意图如图10(b)所示。基于修正的巴特沃斯 - 范戴克(mBVD)模型提取的这两个谐振器的参数列于表I。这两个谐振器的AR值都超过70分贝,表明响应质量较高。实测和拟合结果相互吻合良好,这证实了拟合结果的可靠性。通过修正的巴特沃斯 - 范戴克(mBVD)拟合方法,提取出波长为1.2微米和2.0微米的谐振器的最大波特Q值(\(Q_{max}\)),如图10(b)和(d)所示,分别达到518和801。
微信图片_20241205091430
图10. 分别对应(a)和(b)波长(λ)= 1.2微米以及(c)和(d)波长(λ)= 2.0微米的谐振器的修正巴特沃斯 - 范戴克(mBVD)拟合及实测相位和导纳曲线以及波特Q值结果。插图描绘了mBVD模型。
微信图片_20241205091432
图11. 针对(a)n77频段和(b)n78频段的滤波器的模拟S参数。
表一 谐振器的提取参数
微信图片_20241205091436
微信图片_20241205091438
图12. (a)n77滤波器的光学图像和(b)实测S参数。 (c)n77滤波器在较宽频率范围内实测的S21曲线。
微信图片_20241205091441
图13. (a)n78滤波器的光学图像和(b)实测的S参数。 (c)n78滤波器在较宽频率范围内实测的S21曲线。
C. 滤波器的制造与分析
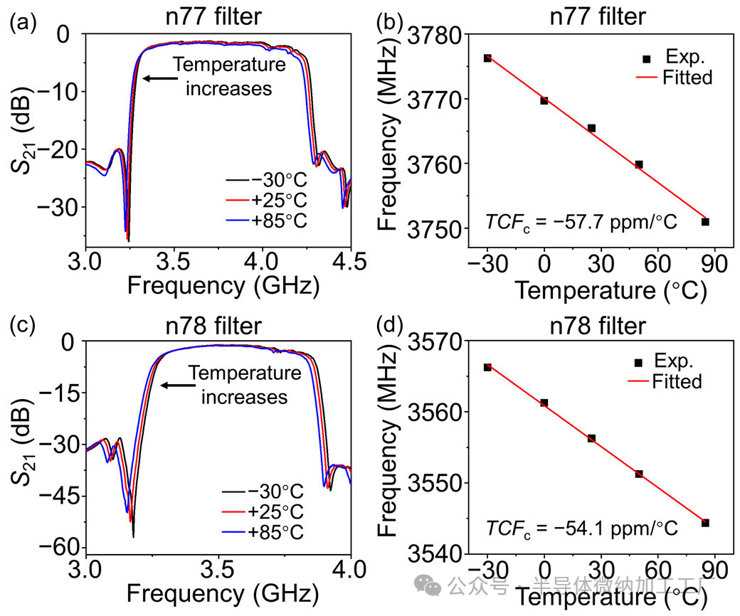
基于上述系统性研究,对采用铌酸锂(LN)厚度(hLN)= 250纳米的X - LN/SiC异质结构的n77和n78频段滤波器进行了理论设计,其模拟S参数如图11所示。模拟结果显示出良好的通带平坦度以及陡峭的带外衰减特性。 在模拟设计参数的指导下,成功制备出了相应的n77和n78滤波器,展现出了足够的带宽和基本平坦的通带,如图12和图13所示。构成n77和n78滤波器的谐振器的谐振及电容参数列于表II。n77和n78滤波器的光学图像分别如图12(a)和图13(a)所示,其组成的谐振器倾斜了24°以抑制横向模式。n77滤波器由四个串联谐振器和四个并联谐振器组成,n78滤波器由五个串联谐振器和六个并联谐振器组成。 图12(b)展示了n77滤波器实测S参数的特性。实测的S21曲线与图11(a)所示的模拟曲线在定性上相似,这表明模拟过程相当可靠。S11曲线显示整个通带内的回波损耗大于15分贝。图12(c)绘制了n77滤波器在较宽频率范围内实测的S21曲线。n77滤波器的中心频率(fc)为3763兆赫兹,其3分贝分数带宽(FBW)达到24.8%。同时,该滤波器在低频侧表现出1.53分贝的较小最小插入损耗(ILmin)和18.7分贝的良好带外抑制特性。此外,如图12(c)所示,由于对hLN/λ的恰当选择,在4.5 - 8吉赫兹的频率范围内高阶模式得到了很好的抑制,这有利于减少高频载波聚合(CA)频段的不利损耗。 如图13(b)所示,n78滤波器的S11曲线显示在中心频率(fc)处的回波损耗约为19分贝。n78滤波器的中心频率(fc)和3分贝分数带宽(FBW)分别为3560兆赫兹和15.6%,其最小插入损耗(ILmin)为1.24分贝。n78滤波器响应的宽频图像展示了28.1分贝的出色带外抑制特性、陡峭的抑制斜率以及对高阶模式的良好抑制效果。 本工作中的滤波器能够完美覆盖5G n77和n78频段,具有适中的通带平坦度和低损耗,这证明了声表面波(SAW)技术在制造高性能、宽带5G滤波器方面的可行性。 对这两个滤波器的温度漂移特性进行了测量,结果如图14所示。如图14(a)和(c)所示,对于这两个滤波器,随着温度升高,S21曲线向低频方向移动,这表明它们具有负的频率温度系数(TCF)。图14(b)和(d)绘制了它们在不同温度下的中心频率(fc),并从线性拟合曲线中提取出中心频率的频率温度系数(TCFc)。n77和n78滤波器的中心频率频率温度系数(TCFc)分别为 - 57.7 ppm/°C和 - 54.1 ppm/°C,这比基于块状铌酸锂(LN)晶片的滤波器的频率温度系数(TCF)值(约 - 80 ppm/°C)要小,原因是碳化硅(SiC)衬底较低的热膨胀系数(TEC)抵消了铌酸锂(LN)晶片较大的热膨胀系数(TEC)。
表二 构成N77和N78滤波器的谐振器的谐振及电容参数
微信图片_20241205091443
微信图片_20241205091446
图14. (a)和(c)n77和n78滤波器在不同温度下实测的S21曲线,以及(b)和(d)相应的中心频率(fc)变化及其线性拟合曲线。

表三 最先进的水平剪切声表面波(SH - SAW)谐振器的对比

微信图片_20241205091449

表四 最先进的吉赫兹声学滤波器对比

微信图片_20241205091451
D. 讨论与未来研究方向
表III对本工作中的谐振器性能与其他最先进的水平剪切声表面波(SH - SAW)谐振器进行了对比。为了公平比较,这些工作中的相速度(Vp)和机电耦合系数(K²)均使用公式(1)和(2)统一计算。 由于通信系统长期以来一直需要具有低插入损耗和平坦通带的高性能滤波器,学术界和工业界对带内无杂散谐振器的追求从未停止。早期报道的基于X - LN薄膜的谐振器已实现了约1000的良好品质因数(Q)和约20%的高机电耦合系数(K²),但这些工作中的横向杂散模式在通带内仍然很严重,这阻碍了它们在商业应用中的发展[25]、[63]。我们团队曾报道过,在旋转的Y - LN薄膜上传播的水平剪切(SH)波也表现出良好的机电耦合系数(K²)[27]、[57]。同时,用p - Si/Si衬底替代SiC衬底已使品质因数(Q)显著提高到1889。然而,由于额外的功能层意味着额外的加工不确定性和成本,在实现相同目标的前提下,通常更倾向于采用更简单的结构。相比之下,本工作中基于X - LN/SiC的水平剪切(SH)模式谐振器显示出高达5209米/秒的高相速度(Vp)和高达24.4%的大机电耦合系数(K²),这对于构建用于5G无线系统的高频宽带滤波器很有前景。不过,与文献[27]相比,其最大品质因数(Qmax)值相对较小,有待提高。 表IV展示了本工作中的滤波器与其他最先进的声学滤波器的对比。一般来说,体声波(BAW)滤波器在制造频率高于3.5 GHz的滤波器方面具有优势,因为它们的工作频率取决于压电薄膜的厚度[32]、[64]、[65]。同时,其带外抑制和通带平坦度也较好,尽管分数带宽(FBW)可能会受到氮化铝(AlN)有限的机电耦合系数(K²)的限制[32]、[64]。此外,悬膜结构相对脆弱,且增加了散热方面的挑战[65]。因此,由于声表面波(SAW)解决方案具有高稳定性、良好的热传导性和有利的平面工艺,其在高频应用方面备受期待。 就声表面波(SAW)滤波器而言,本工作中提出的n77和n78滤波器基于简单的X - LN/SiC结构,表现出较小的最小插入损耗(ILmin)和适中的频率温度系数(TCF)。与基于相同双层结构的滤波器相比,它们在分数带宽(FBW)方面表现更优,并且由于对杂散模式的彻底抑制,通带更加平滑[25]。我们团队之前的工作也曾实现了在分数带宽(FBW)更大、插入损耗更小和频率温度系数(TCF)更好方面性能出色的n77和n78滤波器,但它依赖于一个更为复杂的多层结构,不仅需要沉积p - Si和SiO₂层,还需要采用两步光刻以及制备双层铝/铜电极[27]。相比之下,本工作的制造工艺简单直接,仅涉及直接键合衬底、基本光刻和单层铝电极沉积。此外,改进还体现在n77滤波器的带外抑制方面,其已提高了70%。而且,SiC具有较大的热导率(490 W·m⁻¹·K⁻¹),这有利于散热,从而有望提高滤波器的功率处理能力[57]。 然而,本工作也存在一些挑战和局限性需要考虑。首先,获得厚度能精确控制在几百纳米的单晶压电薄膜并非易事。由于压电薄膜的均匀性是色散波的一个重要参数,所以这是未来滤波器大规模生产需要克服的一个具有挑战性的技术问题。此外,本工作中谐振器的品质因数(Q)有待提高,这可能是由于制备过程中电极和铌酸锂(LN)薄膜存在轻微缺陷所致。提高品质因数(Q)有助于进一步提高滤波器的带外抑制能力并降低其插入损耗。而且,基于X - LN/SiC可实现的频率温度系数(TCF)存在一定限制,采用SiO₂覆盖层或中间层进行温度补偿可能是努力的方向[66]。总体而言,本工作提供了一种覆盖n77和n77全频段的声表面波(SAW)滤波器的简单制造解决方案,但在品质因数(Q)和温度漂移方面有所牺牲。
四、结论
综上所述,本工作介绍了利用X - LN/SiC异质结构设计和制造用于5G n77和n78频段的无杂散声表面波(SAW)滤波器的过程。通过有限元法(FEM)从理论上对杂散模式的抑制方法进行了研究,并通过实验进行了探索。模拟结果表明,抑制瑞利模式和高阶模式的合适的铌酸锂(LN)厚度与波长比值(hLN/λ)范围为0.15 - 0.30,实验结果验证了叉指换能器(IDT)约24°的最佳倾斜角可消除横向模式。随后,制造了具有不同铌酸锂(LN)厚度与波长比值(hLN/λ)和波长的谐振器,这不仅证实了模拟结果,还展示了在2.48至4.21 GHz范围内可扩展的谐振以及在2.48 GHz处达到801的最大品质因数(Qmax)值。 利用上述优化结果,最终实现了两个具有基本平坦通带和大带宽的声表面波(SAW)滤波器。它们的中心频率(fc)分别为3763 MHz和3560 MHz,3 dB分数带宽(FBW)分别为24.8%和15.6%,最小插入损耗(ILmin)分别为1.53 dB和1.24 dB,能够分别成功覆盖5G n77和n78全频段。与现有的关于5G n77和n78频段滤波方案的报道相比,本工作采用了一种简单且易于制造的双层异质结构,可通过一步光刻实现,这能大幅降低制造难度并提高大规模生产的可行性。因此,借助X - LN/SiC平台来解决高性能宽带滤波问题,声表面波(SAW)技术有望在5G高端滤波领域保持竞争优势。

关于我们:

OMeda成立于2021年,由3名在微纳加工行业拥有超过7年经验的工艺,项目人员创立。目前拥有员工15人,在微纳加工(涂层、光刻、蚀刻、双光子印刷、键合)等领域拥有丰富的经验。 同时,我们支持4/6/8英寸晶圆的纳米加工。 部分设备和工艺支持12英寸晶圆工艺。针对MEMS传感器、柔性传感器、微流控、微纳光学等行业。

中国(上海)自由贸易试验区临港新片区业盛路188号450室 电话:+86 188 233 40140 邮箱:jing.chen@omeda-optics.com

来源:OMeda

关于我们

OMeda(上海奥麦达微)成立于2021年,由3名在微纳加工行业拥有超过7年经验的工艺,项目人员创立。在微纳加工(镀膜、光刻、蚀刻、双光子打印、键合,键合)等工艺拥有丰富的经验。 同时,我们支持4/6/8英寸晶圆的纳米加工。部分设备和工艺支持12英寸晶圆工艺。针对MEMS传感器、柔性传感器、微流控、微纳光学,激光器,光子集成电路,Micro LED,功率器件等行业。

姓名:*
邮件:*
公司名称:
电话:*
您的需求: